4. Случайная величина. Закон распределения
Определение случайной величины. Многие случайные события могут быть оценены количественно как случайные величины. Случайной называют такую величину, которая принимает значения в зависимости от стечения случайных обстоятельств. Различают дискретные и непрерывные случайные величины.
Распределение дискретной случайной величины. Дискретная величина считается заданной, если указаны возможные ее значения и соответствующие им вероятности. Обозначим дискретную случайную величину х, ее значения х1, х2…, в вероятности: Р (х1) =р2, Р (х2) = р2 и т. д.
Совокупность х и Р называется распределением дискретной случайной величины.
Так как все возможные значения дискретной случайной величины представляют полную систему, то сумма вероятностей равна единице:

Здесь предполагается, что дискретная случайная величина имеет n значений. Выражение называется условием нормировки.
Во многих случаях наряду с распределением случайной величины или вместо него информацию об этих величинах могут дать числовые параметры, получившие название числовых характеристик случайной величины. Наиболее употребительные из них: 1) математическое ожидание (среднее значение) случайной величины есть сумма произведений всех возможных ее значений на вероятности этих значений;
2) дисперсией случайной величины называют математическое ожидание квадрата отклонения случайной величины от ее математического ожидания.
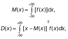
Для непрерывной случайной величины математическое ожидание и дисперсия записываются в виде:

где f(x) – плотность вероятности или функция распределения вероятностей. Она показывает, как изменяется вероятность отнесения к интервалу dx случайной величины в зависимости от значения самой этой величины. Нормальный закон распределения. В теориях вероятностей и математической статистики, в различных приложениях важную роль играет нормальный закон распределения (закон Гаусса). Случайная величина распределена по этому закону, если плотность ее вероятности имеет вид:

где а = М(х) – математическое ожидание случайной величины;
? – среднее квадратное отклонение; следовательно;
?2– дисперсия случайной величины. Кривая нормального закона распределения имеет колоколообразную форму, симметричную относительно прямой х = а (центр рассеивания).
Более 800 000 книг и аудиокниг! 📚
Получи 2 месяца Литрес Подписки в подарок и наслаждайся неограниченным чтением
ПОЛУЧИТЬ ПОДАРОКДанный текст является ознакомительным фрагментом.