6. Математическая статистика и корреляционная зависимость
Математическая статистика – наука о математических методах систематизации и использования статистических данных для решения научных и практических задач. Математическая статистика тесно примыкает к теории вероятностей и базируется на ее понятиях. Однако главным в математической статистике является не распределение случайных величин, а анализ статистических данных и выяснение, какому распределению они соответствуют. Большая статистическая совокупность, из которой отбирается часть объектов для исследования, называется генеральной совокупностью, а множество объектов, собранных из нее, – выборочной совокупностью, или выборкой. Статистическое распределение – это совокупность вариант и соответствующих им частот (или относительных частот).
Для наглядности статистические распределения изображают графически в виде полигона и гистограммы.
Полигон частот – ломаная линия, отрезки которой соединяют точки с координатами (х1; п1), (х2; п2)…. или для полигона относительных частот – с координатами(х1;р1),(х2;р2)….
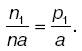
Гистограмма частот – совокупность смежных прямоугольников, построенных на одной прямой линии, основания прямоугольников одинаковы и равны а, а высоты равны отношению частоты (или относительной частоты) к а:

Наиболее распространенными характеристиками статистического распределения являются средние величины: мода, медиана и средняя арифметическая (или выборочная средняя). Мода (Мо) равна варианте, которой соответствует наибольшая частота. Медиана (Ме) равна варианте, которая расположена в середине статистического распределения. Она делит статистический (вариационный) ряд на две равные части. Выборочная средняя (ХВ) определяется как среднее арифметическое значение вариант статистического ряда.
Корреляционная зависимость. Функциональные зависимости можно выразить аналитически. Так, например, площадь круга зависит от радиуса (S = pr2), ускорение F тела – от силы и массы (a = F/m0). Однако имеются зависимости, которые не слишком очевидны и не выражаются простыми и однозначными формулами. Так, например, прослеживается связь между ростом людей и массой их тела, изменение погодных условий влияет на число простудных заболеваний населения и т. д. Такая более сложная, чем функциональная, вероятностная зависимость является корреляционной (или просто – корреляцией). В этом случае изменение одной их величин влияет на среднее значение другой. Предположим, что изучается связь между случайной величиной Х и случайной величиной Y Каждому конкретному значению Х будет соответствовать несколько значений Y: у1, у2 и т. д.
Условным средним Yх назовем среднее арифметическое значение Y, соответствующее значению Х = х. Корреляционной зависимостью, или корреляцией Y от Х, называют функцию Y x = f(x). Равенство называют уравнением регрессии Y на Х, а график функции – линией регрессии Y на Х.
Более 800 000 книг и аудиокниг! 📚
Получи 2 месяца Литрес Подписки в подарок и наслаждайся неограниченным чтением
ПОЛУЧИТЬ ПОДАРОКДанный текст является ознакомительным фрагментом.