10. Основные понятия механики
Момент силы. Моментом силы относительно оси вращения называют векторное произведение радиус-вектора на силу:
Mi = ri ? Fi,
где ri и Fi – векторы.
Момент инерции. Мерой инерции тел при поступательном движении является масса. Инертность тел при вращательном движении зависит не только от массы, но и от распределения ее в пространстве относительно оси.
Моментом инерции тела относительно оси называют сумму моментов инерции материальных точек, из которых состоит тело:

Момент инерции сплошного тела обычно определяют интегрированием:

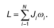
Момент импульсов тела относительно оси равен сумме моментов импульсов точек, из которых состоит данное тело:

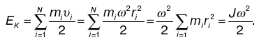
Кинетическая энергия вращающего тела. При вращении тела его кинетическая энергия складывается
10б из кинетических энергий отдельных его точек. Для твердого тела:

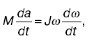
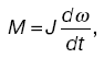
Приравняем элементарную работу всех внешних сил при таком повороте к элементарному изменению кинетической энергии:
Mda = Jwdw,
откуда

сокращаем это равенство на ?:

откуда

Закон сохранения момента импульса. Если суммарный момент всех внешних сил, действующих на тело, равен нулю, то момент импульса этого тела остается постоянным. Этот закон справедлив не только для абсолютно твердого тела. Так, для системы, состоящей из N тел, вращающихся вокруг общей оси, закон сохранения момента импульса можно записать в форме:
Более 800 000 книг и аудиокниг! 📚
Получи 2 месяца Литрес Подписки в подарок и наслаждайся неограниченным чтением
ПОЛУЧИТЬ ПОДАРОКДанный текст является ознакомительным фрагментом.