12. Механические колебания
Повторяющиеся движения (или изменения состояния) называют колебаниями (переменный электрический ток, явление маятника, работа сердца и т. п.). Различают:
1) свободные, или собственные, колебания – такие колебания, которые происходят в отсутствие переменных внешних воздействий на колебательную систему и возникают вследствие какого-либо начального отклонения этой системы от состояния ее устойчивого равновесия;
2) вынужденные колебания – колебания, в процессе которых колеблющаяся система подвергается воздействию внешней периодически меняющейся силы;
3) гармонические колебания – это колебания, при которых смещение изменяется по закону синуса или косинуса в зависимости от времени. Скорость и ускорение точки вдоль оси Х равны соответственно:

где u0 = Aw – амплитуда скорости;
a0 = Aw2 =u0w – амплитуда ускорения;
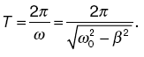
4) затухающие колебания – колебания с уменьшающимися во времени значениями амплитуды колебаний, обусловленные потерей колебательной системой энергии на преодоление силы сопротивления.
Период затухающих колебаний зависит от коэффициента трения и определяется формулой:

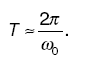
При очень малом трении (?2 <<?02) период затухаю щего колебания близок к периоду незатухающего свободного колебания

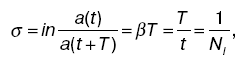
На практике степень затухания часто характеризуют логарифмическим декрементом затухания s:

где Nl – число колебаний, в течение которых амплитуда колебаний уменьшается в l раз. Коэффициент затухания и логарифмический декремент затухания связаны достаточно простой зависимостью:
l = bT;
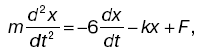
5) вынужденные колебания – колебания, которые возникают в системе при участии внешней силы. Уравнение движения вынужденных колебаний имеет вид:

где F – вынуждающая сила.
Вынуждающая сила изменяется по гармоническому закону F = F0 coswt.
Более 800 000 книг и аудиокниг! 📚
Получи 2 месяца Литрес Подписки в подарок и наслаждайся неограниченным чтением
ПОЛУЧИТЬ ПОДАРОКДанный текст является ознакомительным фрагментом.