8. Вес паутинной нити
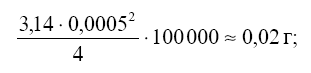
Не сделав расчета, трудно дать правдоподобный ответ на этот вопрос. Расчет несложен: при диаметре паутинной нити 0,0005 см и плотности = 1 (г/см2), километр ее должен весить

а нить в 400 000 км (округленное расстояние от Земли до Луны) —
0,02 · 400 000 = 8 кг.
Такой груз можно удержать в руках.
Более 800 000 книг и аудиокниг! 📚
Получи 2 месяца Литрес Подписки в подарок и наслаждайся неограниченным чтением
ПОЛУЧИТЬ ПОДАРОКДанный текст является ознакомительным фрагментом.
Содержание
История
История
Loading ...
Failed to load data.
{{name}} | {{author}}