26. Маятник Максвелла
Расчет приводит к довольно парадоксальному результату, который, однако, подтверждается опытом. А именно: в то время, когда маховик идет вниз, нити не подвержены натяжению с силою полного его веса, и указатель безмена поднимается; он сохраняет неизменным определенное приподнятое положение в течение всего времени, пока маховик опускается. Такое же положение сохраняет указатель и во время подъема маховика и да – же в момент достижения им высшей точки, где он на мгновение словно останавливается. Только в самой низ – кой точке пути маховик заставляет указатель рвануться вниз, чтобы в следующий момент вернуть его опять к прежнему повышенному положению.
«Этот опыт, – пишет проф. Р. Поль, – даже на искушенного в физике производит часто поразительное впечатление».
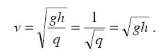
Подтвердим сказанное вычислением. Прежде всего покажем, что движение маховика вниз есть движение равноускоренное, с постоянным ускорением, меньшим, нежели ускорение свободного падения. Исходя из закона сохранения энергии, составляем уравнение:

где т – масса маховика; g – ускорение свободного падения; h – высота, с какой опустился маховик; mgh – потеря потенциальной энергии, превратившейся в кинетическую энергию поступательного
и вращательного
движений; v – скорость поступательного движения; ? – угловая скорость вращательного движения; K – момент инерции маховика. Так как энергия вращательного движения маховика составляет некоторую долю энергии его поступательного движения, то правую часть уравнения можем заменить некоторой величиной qmv2, где q – отвлеченное число (большее единицы), зависящее только от момента инерции K маховика; следовательно, q во время движения маховика не меняется. Итак,
mgh = qmv2,
откуда

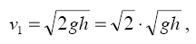
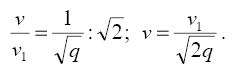
Сравнивая полученное выражение с формулой для свободного падения:

, видим, что скорость опускания маховика в каждой точке составляет всегда одинаковую долю скорости свободного падения:

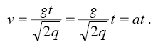
С другой стороны, мы знаем, что скорость v1 свободного падения связана с его продолжительностью t следующей зависимостью:
v1 = gt.
Значит,

Это показывает, что маховик опускается равноускоренным движением с ускорением а, равным
. Так как q >1, то a< g.
Сходным образом можно доказать, что подъем маховика совершается равнозамедленным движением с тем же (по величине и направлению) ускорением а.
Установив величину ускорения, определим натяжение нитей маятника при нисходящем и восходящем движении маховика. Так как маховик увлекается вниз с силою, меньшею его веса, то очевидно, что его тянет вверх некоторая сила f, которая равна разности между весом mg маховика и силой та, увлекающей его в движение:
f = mg – ma.
Это и есть натяжение нитей. Отсюда следует, что указатель безмена должен во все время падения маховика стоять выше деления, отвечающего весу маховика.
Для случая, когда маховик идет вверх, натяжение нитей выражается тем же уравнением, какое мы вывели для движения нисходящего:
f = mg – ma.
Значит, положение указателя безмена должно при подъеме маховика быть то же, что и при его опускании.
Уравнение f = mg – та остается в силе и в момент достижения маховиком высшей точки пути: смена восходящего движения нисходящим не влияет на положение указателя.
Напротив, при достижении низшей точки пути маховик резким рывком нитей сдвигает на мгновение указатель вниз. Причина рывка та, что в этот момент маховик, размотав нити до конца, переходит с одной их стороны на другую. Маховик висит тогда на вытянутых нитях, пере – давая точкам их прикрепления не только свой полный вес, но и центробежный эффект движения оси маховика по дуге малого радиуса. Указатель безмена опускается ниже деления, отвечающего полному весу маховика.
Более 800 000 книг и аудиокниг! 📚
Получи 2 месяца Литрес Подписки в подарок и наслаждайся неограниченным чтением
ПОЛУЧИТЬ ПОДАРОКДанный текст является ознакомительным фрагментом.