36. По воздуху и по льду
Можно думать, что так как сопротивление воздуха слабее, чем трение о лед, то тело, летящее через воздух, достигает дальше, чем скользящее по льду. Заключение это неправильно: оно не учитывает того, что сила тяжести пригибает вниз путь брошенного тела, которое вследствие этого и не может быть далеко закинуто. Сделаем расчет, причем ради упрощения выкладок будем считать сопротивление воздуха равным нулю. Оно, впрочем, и действительно крайне ничтожно для тех скоростей, какие можно сообщить телу рукой человека.
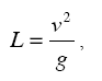
Для тел, брошенных в пустоте под углом к горизонту, наибольшая дальность достигается тогда, когда угол равен 45°. При этом, как выводится в курсах механики, дальность бросания определяется формулой:

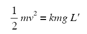
=, где v – начальная скорость; g – ускорение тяжести. Если же тело скользит по поверхности другого тела (в данном случае лед по льду), то сообщенная ему кинетическая энергия
расходуется на преодоление работы силы трения f, равной kmg, где k – коэффициент трения, а mg (произведение массы тела на ускорение тяжести) – вес тела. Работа трения на пути L? равна
kmgL?.
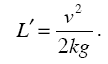
Из уравнения

находим величину L? пробега льдинки

Принимая коэффициент трения льда о лед равным 0,02, имеем

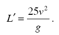
Между тем дальность бросания равна всего
, в 25 раз меньше.
Итак, заставив льдинку скользить по льду, мы можем закинуть ее раз в 25 дальше, чем бросив в воздух.
Если принять во внимание, что брошенная льдинка может продолжать двигаться и после падения, то дальность скольжения будет превышать дальность бросания уже не столь значительно; но и в таком случае преимущество на стороне скользящей, а не брошенной льдинки.
Более 800 000 книг и аудиокниг! 📚
Получи 2 месяца Литрес Подписки в подарок и наслаждайся неограниченным чтением
ПОЛУЧИТЬ ПОДАРОКДанный текст является ознакомительным фрагментом.