47. Два шара
1. При решении этой задачи нередко делают существенную ошибку: не принимают во внимание, что отвесно падающий шар движется только поступательно, между тем как шар, скатывающийся по плоскости, совершает, кроме поступательного движения, также и вращательное. Не свободны от этого недосмотра даже некоторые школьные учебники.
Какое влияние оказывает отмеченное обстоятельство на скорость скатывающегося тела, видно из следующего вычисления.
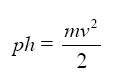
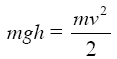
Потенциальная энергия шара, обусловленная его положением вверху наклонной плоскости, превращается при отвесном падении целиком в энергию поступательного движения, и из уравнения

или (после замены веса р шара произведением его массы m на ускорение g тяжести) из равенства

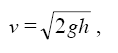
легко получается скорость v такого шара в конце пути

где h – высота наклонной плоскости.
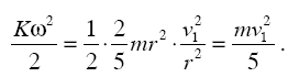
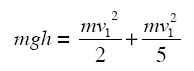
Иначе обстоит дело с шаром, скатывающимся по наклонной плоскости. В этом случае та же потенциальная энергия ph преобразуется в сумму двух кинетических энергий – в энергию поступательного движения со скоростью v1 и вращательного – с угловою скоростью ?. Величина первой энергии равна

Вторая равна полупроизведению момента инерции K шара на квадрат его угловой скорости ?:

Имеем, следовательно, уравнение:

Из курса механики известно, что момент инерции K однородного шара массы т и радиуса r относительно оси, проходящей через центр, равен 2/5 тr2. Далее, легко сообразить, что угловая скорость ? этого шара, катящегося с поступательною скоростью v1, равна
. Поэтому энергия вращательного движения

Заменив в нашем уравнении, кроме того, вес р шара равным ему выражением mg, получаем:

или, после упрощения,
gh = 0,7v12.
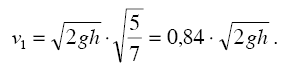
Отсюда поступательная скорость

Сопоставляя эту скорость со скоростью в конце отвесного падения (
), видим, что они заметно различаются: скатившийся шар (любого радиуса и любой массы) в конце пути, да и в каждой его точке, движется вперед со скоростью на 16 % меньшею, чем шар, свободно упавший с той же высоты.
Сравнивая шар, скатывающийся по наклонной плоскости, с телом, скользящим по той же плоскости с равной высоты, легко установить, что скорость первого в каждой точке пути на 16 % меньше скорости второго.
Скользящий шар при отсутствии трения достигает конца наклонного пути раньше (на 16 %), нежели катящийся. То же верно и для тела, падающего отвесно: оно должно опередить скатывающийся шар на 16 %.
Кто знаком с историей физики, тому известно, что Галилей установил законы падения тел, производя опыты с шарами, которые он пускал по наклонному желобу (длина – 12 локтей, возвышение одного конца 1–2 локтя). После сказанного выше может возникнуть сомнение в правильности пути, избранного Галилеем. Сомнение, однако, отпадает, если вспомним, что скатывающийся шар в своем поступательном перемещении движется равноускоренно, так как в каждой точке наклонного желоба скорость его составляет одну и ту же долю (0,84) скорости отвесно падающего шара на том же уровне. Форма
Более 800 000 книг и аудиокниг! 📚
Получи 2 месяца Литрес Подписки в подарок и наслаждайся неограниченным чтением
ПОЛУЧИТЬ ПОДАРОКДанный текст является ознакомительным фрагментом.