3.10. Вращение астероидов
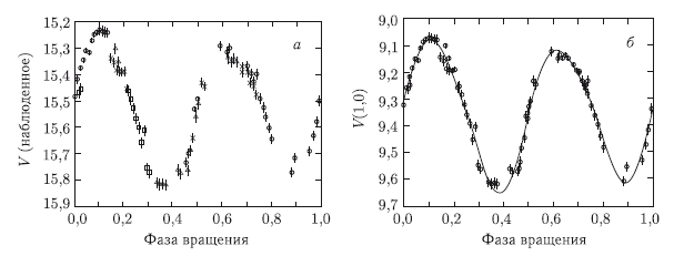
Помимо вариации блеска, связанной с изменением расстояний от Солнца, Земли и угла фазы, все астероиды обнаруживают колебания блеска большей или меньшей амплитуды, в большинстве случаев с периодами от нескольких часов до одних суток. Соответствующий график изменения блеска называется световой кривой или кривой блеска (рис. 3.18)

Рис. 3.18. а) Изменения видимого блеска астероида (1173) Anchises. Наблюдения, выполненные 2–3 июля, 3–4 июля, 4–5 июля и 9–10 июля 1986 г., обозначены разными символами. Вертикальными черточками различной длины показаны вероятные ошибки наблюдений. б) Световая кривая (1173) Anchises, приведенная к единичным расстояниям от Солнца и Земли и нулевому углу фазы [French, 1987]
Обычно невозможно пронаблюдать весь цикл изменения блеска астероида в течение одной ночи, но в этом нет необходимости. На график наносятся точки, полученные в разные ночи, и по ним строится световая кривая. Если при этом периоды наблюдений разделены достаточно продолжительными интервалами времени, то при построении световой кривой учитывается изменение блеска, связанное с вариацией взаимных расстояний и взаимных положений Солнца, Земли и астероида за время между сериями наблюдений [Harris and Lupishko, 1989]. Световая кривая, полученная таким образом, называется композиционной (рис. 3.18 б) [French, 1987].
Характерной особенностью световых кривых астероидов является наличие двух максимумов и двух минимумов за период, причем очень часто оба максимума и оба минимума различаются по величине. Световые кривые некоторых астероидов имеют аномальное число экстремумов. Амплитуда колебаний блеска для разных астероидов меняется в пределах от нескольких сотых долей звездной величины ((1) Ceres) до двух звездных величин ((1628) Geographos, (1865) Cerberus). Причиной короткопериодических колебаний блеска является вращение астероида вокруг оси, проходящей через центр инерции тела. При этом изменяется видимая с Земли часть поверхности астероида и, возможно, альбедо видимой части. Последнее, правда, не играет заметной роли, как о том свидетельствует постоянство цветовых характеристик при вращении астероидов.
То, что вращение громадного большинства астероидов совершается вокруг единственной оси, сохраняющей свое направление в пространстве, подтверждается наблюдениями: световые кривые, как правило, являются строго периодическими с единственным и притом неизменным периодом. Такие кривые соответствуют вращению астероидов вокруг оси наибольшего момента инерции тела. Если представить фигуру астероида в виде трехосного эллипсоида, то вращение происходит вокруг его самой короткой главной оси. При отсутствии сил, не проходящих через центр инерции астероида, такой характер вращения может продолжаться произвольно долго. Если в результате нецентрального столкновения с другим телом ось вращения астероида будет выведена из этого состояния, движение астероида относительно его центра инерции приобретет характер кувыркания: ось вращения с течением времени не сохраняет свое положение в теле астероида и в зависимости от его формы (эллипсоида инерции) и величины полученного импульса перемещается более или менее сложным образом. Наблюдатель отмечает, что кривая блеска меняется сложным образом в соответствии с изменениями ориентации оси вращения. Такое вращение астероида сопряжено с постоянным изменением центробежных сил и сил сцепления между частицами вещества, что приводит для неупругого тела к потере энергии вращения и постепенному возвращению к состоянию вращения вокруг оси наибольшего момента инерции. В работе [Burns and Safronov, 1973] было показано, что процесс затухания сложного вращения астероидов протекает весьма быстро и практически все астероиды должны наблюдаться в состоянии вращения вокруг оси наибольшего момента инерции. Впоследствии А. Харрис пересмотрел этот вывод [Harris, 1994]. Согласно последней работе, для ряда небольших по величине и медленно вращающихся астероидов время затухания сложного вращения может превышать 108 лет, а для некоторых – даже превосходить время существования Солнечной системы.
На рис. 3.19 представлены данные о вращении 750 астероидов. Верхняя из двух нанесенных на этот рисунок прямых отделяет от основного массива те астероиды, для которых, согласно работе [Harris, 1994], время затухания сложного вращения превышает 108 лет, а в промежутке между двумя прямыми располагаются астероиды, для которых это время лежит в интервале 108 – 4,5·109 лет. Среди тел с очень большим временем затухания находятся астероиды (288) Glauke, (887) Alinda, (1220) Crocus, (1689) Floris-Jan, (3102)
Krok, (3288) Seleucus, (3691) Bede, (4179) Toutatis, (4486) Mithra, (13651) 1997 BR. Эти астероиды демонстрируют либо сложный характер кривых блеска, либо наблюдательные данные недостаточны, чтобы исключить для них возможность вращения не вокруг оси наибольшего момента инерции. Особенно интересен случай (4179) Toutatis. Этот потенциально опасный астероид был открыт в 1989 г. Он интенсивно наблюдался с помощью оптических средств и радиолокаторов в периоды его сближений с Землей в 1992, 1996 и 2000 гг. С помощью радиолокационных наблюдений удалось определить весьма причудливую форму астероида и сложный характер его вращения (рис. 3.20).
Размеры астероида составляют 4,60 ? 2,40 ? 1,92 км. Его ось вращения постоянно меняет свое направление как в теле астероида, так и относительно неподвижной системы координат. Кувыркания астероида могут быть приближенно описаны как вращение его тела вокруг длинной оси с периодом 5,367 ± 0,01 суток и равномерной прецессией этой оси вокруг постоянного направления в пространстве – направления вектора момента количества движения астероида относительно его центра инерции – с периодом 7,420 ± 0,05 суток [Ostro et al., 1999].

Рис. 3.19. Скорости вращений астероидов [Pravec et al., 2000]

Рис. 3.20. Последовательные фазы вращения астероида (4179) Toutatis [Hudson and Ostro, 1995]
Наблюдения различных астероидов в разных оппозициях показывают, что у одних астероидов амплитуда колебаний блеска за ротационный цикл остается неизменной или слабо меняется от оппозиции к оппозиции, в то время как у других эти изменения весьма заметны. Например, амплитуда колебаний блеска (16) Psyche в разных оппозициях меняется от 0,03m до 0,42m. Причина этих различий заключается в том, что ось вращения, сохраняющая неизменное направление в пространстве, в разных оппозициях образует с лучом зрения различный угол (так называемый угол аспекта). Если угол аспекта составляет 90° (в момент наблюдения ось вращения лежит в картинной плоскости), колебания блеска, связанные с вращением, оказываются максимальными. Напротив, если ось вращения почти параллельна лучу зрения (угол аспекта близок к нулю), наблюдаемая площадь поверхности остается неизменной и колебания блеска отсутствуют (при больших фазовых углах колебания могут наблюдаться в результате попадания в тень разных участков поверхности). На этих соображениях основываются методы определения направления оси вращения в пространстве. Для этого требуется сопоставить кривые блеска, полученные в разных оппозициях при различных углах аспекта. Наблюдения показывают, что ось вращения астероида (16) Psyche слабо наклонена к плоскости эклиптики: учитывая геометрию ее орбиты, только при этом условии данный астероид можно наблюдать при малых углах аспекта, когда колебания блеска оказываются минимальными. Тем не менее, методы определения оси вращения (координат полюса) являются весьма трудоемкими и сопряжены с большими ошибками. Поэтому направления осей вращения известны только для небольшого числа астероидов (см. http://vesta.astro.amu.edu.pl/Science/Asteroids, http://astro.troja.mff.cuni.cz/projects/asteroids3D).
Амплитуда колебаний блеска за один ротационный цикл дает некоторое представление о форме астероида. Так, если тело астероида аппроксимировать трехосным эллипсоидом с полуосями a > b > c и если вращение происходит вокруг оси c, что, как мы видели, является общим случаем, то величина амплитуды колебаний блеска выражается формулой [Binzel et al., 1989]
A(?) = 2,5 lg(a/b) – 1,25 lg((a2 cos2 ? + c2 sin2 ?)/(b2 cos2 ? + c2 sin2 ?)), (3.9)
где ? – угол аспекта.
При ? = 90° амплитуда A = 2,5 lg(a/b). Если ? = 0°, то колебания блеска отсутствуют. Задав определенные значения амплитуды A и угла ?, можно по формуле вычислить отношение полуосей фигуры астероида. Если световая кривая получена по наблюдениям в одной оппозиции, то угол аспекта не известен. Чтобы получать статистически правильные выводы, следует применять формулу при каком-то определенном значении угла аспекта. Если допустить, что оси вращения астероидов не имеют какого-либо преимущественного направления (направлений) в пространстве (изотропное распределение), то ожидаемое среднее значение угла аспекта, как не трудно видеть, равно 60°.
Его и следует использовать в формуле (3.9). В тех случаях, когда имеются кривые блеска в разных оппозициях, может быть предложена другая, более сложная процедура, учитывающая всю имеющуюся информацию [Binzel and Sauter, 1992].
Формула (3.9) требует осторожности при ее использовании в тех случаях, когда световая кривая получена при значительных углах фазы, как о том свидетельствует пример астероида (1620) Geographos. Максимальная амплитуда колебаний его блеска, равная 2,03m, была найдена при угле фазы, равном 53°. По формуле (3.9) находим, положив угол аспекта равным 90°, что a/b = 6,5. Более аккуратная обработка всех имеющихся кривых блеска позволила оценить отношение осей астероида величиной 2,54–2,6 (см., напр., [Kwiatkowski, 1994; Magnusson et al., 1996]). Эти результаты хорошо согласуются с радиолокационными наблюдениями астероида (рис. 3.21 [Ostro et al., 1995]). Наибольший размер астероида, силуэт которого представлен на рис. 3.21, оценивается величиной 5,11 ± 0,15 км, а в поперечном направлении – 1,85 ± 0,15 км (отношение размеров равно 2,76 ± 0,21). Трехосная эллипсоидальная модель астероида по наземным фотометрическим наблюдениям дает a/b = 2,58 ± 0,16, b/c = 1,00 ± 0,15 [Magnusson et al.,1996].
Возвратимся снова к рис. 3.19. В нижней части рисунка располагаются медленно вращающиеся астероиды, к числу которых можно отнести тела с периодами вращения, большими 30 ч. Особенно велик процент таких астероидов среди тел с диаметрами, меньшими 10 км. В рассматриваемой выборке из 750 астероидов преобладают АСЗ. Мы уже видели, что многие из этих медленно вращающихся астероидов имеют кривые блеска, свидельтельствующие об их возможном вращении не вокруг оси наибольшего момента инерции. Наибольшие периоды вращения в среднем имеют астероиды диаметром около 100 км.

Рис. 3.21. Радарное изображение астероида (1620) Geographos [Ostro et al., 1995]. Форма астероида уникальна по своей вытянутости и, по-видимому, свидетельствует о его образовании в результате разрушения более крупного тела
Обращает на себя внимание существование отчетливо выраженной границы угловой скорости вращения астероидов, равной примерно 11 оборотам в сутки, или одному обороту за 2,2 ч. К этой границе вплотную расположен ряд астероидов с диаметрами в интервале от одного до десяти километров. Для астероидов от 40 км и более граница отодвигается в сторону меньших угловых скоростей. На рисунке имеется только пять точек, расположенных выше указанной границы. Все они соответствуют астероидам с диаметрами, меньшими 200 м. Нет никакого сомнения в том, что существование верхней границы угловой скорости астероидов с диаметрами, большими 200 м, связано с достижением при достаточно большой скорости предела устойчивости – равенства силы тяжести и центробежной силы инерции на экваторе вращающегося тела. Действительно, из условия равенства сил, действующих на частицу вещества, находим
Gm/r2 = ?2r,
где G – гравитационная постоянная, m – масса сферического тела радиуса r, ? – его угловая скорость.
Из этого условия вытекает формула для периода вращения тела, выраженного в часах, при котором достигается равенство сил:
Pc = 3,3/??,
где ? – средняя плотность тела, выраженная в г/см3.
Подставляя в последнюю формулу значение плотности, равное 2,25 г/см3, находим Pc = 2,2 ч. При большей скорости вращения частицы, находящиеся на экваторе, будут отделяться от тела, если их не удерживает сила сцепления с другими частицами.
Критическое значение скорости может быть уточнено, если учесть форму тела. В случае эллипсоидальной формы тела, вращающегося вокруг самой короткой оси, критический по величине период вращения оказывается приближенно равным [Pravec and Harris, 2000]:

где ?V – полная амплитуда колебаний блеска за период вращения астероида.
На рис. 3.22 приведено распределение скоростей вращения АСЗ в зависимости от полной вариации блеска за период. Штриховые линии представляют критические значения скорости вращения при различных значениях плотности, отмеченных на рисунке. Как видно из рисунка, все астероиды с диаметрами больше 200 м имеют скорости вращения, качественно согласующиеся с формулой (3.10). Концентрация точек к линиям, соответствующим критическим скоростям вращения при различных плотностях, является свидетельством того, что тела, большие по размеру, чем несколько сотен метров, являются гравитационно связанными агрегатами, состоящими из отдельных фрагментов («rubble piles», буквально переводится как «груда булыжников»).

Рис. 3.22. Распределение скоростей вращения АСЗ в зависимости от полной вариации блеска за период [Pravec and Harris, 2000]
Справа от линий критических скоростей на рисунке располагаются только два астероида. С учетом данных [Pravec et al., 2000] их пять. Размеры всех пяти астероидов лежат в пределах от 30 до 130 м, а периоды обращения – в пределах от 2,5 мин до 97,2 мин. Такие скорости вращения означают, что эти тела представляют собой монолитные образования, которые сохраняют целостность при быстром вращении за счет сцепления между частицами вещества.
Еще одной примечательной особенностью АСЗ с размерами от нескольких сотен метров до 10 км является корреляция между амплитудой колебаний блеска и скоростью вращения. На рис. 3.23 представлено среднее значение амплитуды колебаний блеска для таких астероидов в зависимости от скорости вращения. Вертикальными черточками отмечены средние ошибки отложенных значений величины средней амплитуды. Начиная со значения 5 оборотов в сутки намечается устойчивая тенденция к уменьшению средней амплитуды колебаний блеска. Эта тенденция, как и ранее рассмотренные особенности, свидетельствует в пользу того, что быстро вращающиеся астероиды представляют собой агрегаты слабо связанных обломков. Можно думать, что по мере увеличения скорости вращения сила, прижимающая обломки друг к другу, уменьшается, что ведет к их большей подвижности и постепенному уменьшению отношения самой большой из полуосей фигуры астероида к двум другим.

Рис. 3.23. Среднее значение амплитуды колебаний блеска АСЗ с размерами от нескольких сотен метров до 10 км в зависимости от скорости вращения [Pravec and Harris, 2000]
Наконец, в данном разделе следует упомянуть о том, что ряд АСЗ, в том числе потенциально опасных астероидов, обнаруживает такие особенности световых кривых, которые не могут быть объяснены иначе, как явлениями затмений и покрытий в двойных системах (рис. 3.24). Глубокие минимумы на кривой блеска обусловлены прохождениями спутника и/или его тени по диску главного компонента двойного астероида, а менее глубокие плоские минимумы – прохождением спутника за диском астероида или попаданием его в тень, отбрасываемую главным компонентом. Изучение кривых блеска позволяет определить параметры двойной системы, такие как диаметр главного компонента, отношение диаметра спутника к диаметру главного компонента, большую полуось орбиты спутника, период вращения главного компонента и период обращения спутника и т. д. К настоящему времени среди АСЗ найдено около 35 двойных систем (http://www.johnstonsarchive.net/astro/asteroidmoons.html).

Рис. 3.24. Долгопериодическая составляющая кривой блеска АСЗ 1996 F G3 [Pravec et al., 2000]. По вертикальной оси отложен блеск в лучах R, приведенный к единичным расстояниям от Земли и Солнца и углу фазы, равному 17°
Количество двойных астероидов среди АСЗ оценивается как 17 % [Pravec et al., 1999]. Примерно такой же процент двойных АСЗ был определен в работе [Bottke and Melosh, 1996] на основе статистики двойных кратеров на поверхностях Венеры и Земли. Это очень большой процент, который нуждается в объяснении. В нескольких работах ([Bottke and Melosh, 1996] и др.) был предложен механизм, согласно которому двойные АСЗ образуются в результате приливного распада «rubble piles» во время их тесных сближений с планетами земной группы. Быстрое вращение астероидов может способствовать эффективности подобного механизма. Действительно, главные компоненты обнаруженных двойных АСЗ в большинстве случаев очень быстро вращаются. Многие двойные АСЗ имеют малую объемную плотность, что характерно для «rubble piles».
Более 800 000 книг и аудиокниг! 📚
Получи 2 месяца Литрес Подписки в подарок и наслаждайся неограниченным чтением
ПОЛУЧИТЬ ПОДАРОКДанный текст является ознакомительным фрагментом.