4. Вычисление напряжений по площадкам, перпендикулярным к оси стержня
Рассмотрим небольшую площадку сечения некоторого тела, действующую на нее; внутреннюю силу обозначим ?F. Отношение внутренней силы к единице площадки определяет среднее значение интенсивности на площадке ?A.

Если бесконечно уменьшать площадку ?A, напряжение стремится к своему предельному значению и называется истинным напряжением.

Разложим вектор полного напряжения p на две составляющие: нормальное напряжение ?, направленное по нормали к сечению, и касательное напряжением ?, направленное по касательной к сечению. Между величинами p, ?, ? существует зависимость, которая выражается формулой:

Нормальные напряжения возникают, когда под действием внешних сил частицы стремятся приблизиться или отдалиться. Когда частицы стремятся сдвинуться относительно друг друга в плоскости сечения. Касательное напряжение можно разложить на две составляющие: ?zx и ?zy. Первый индекс показывает, какая ось перпендикулярна сечению, второй – параллельно какой оси действует напряжение.

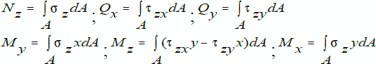
Напряжения в поперечных сечениях связаны с внутренними силовыми факторами, определенными зависимостями.
dNz = ?zdA; dQx = ?zxdA; dQy = ?zydA
Соответствующие элементарные моменты относительно координатных осей имеют вид:
dMz = (?zxdA)y – (?zydA)x; dMx = (?zdA)y;dMy =(?zdA)x
Просуммировав бесконечно малые силы и моменты, действующие в сечении, получим выражения, связывающие внутренние силовые факторы с напряжениями.

Полученные выражения можно рассматривать как определения, выражающие физическую сущность внутренних силовых факторов. Также, при определенных методах сечения внутренних факторов, эти формулы могут использоваться для вычисления напряжений, если известны законы, по которым эти напряжения распределяются по сечению.
Более 800 000 книг и аудиокниг! 📚
Получи 2 месяца Литрес Подписки в подарок и наслаждайся неограниченным чтением
ПОЛУЧИТЬ ПОДАРОКДанный текст является ознакомительным фрагментом.