7. Статически неопределимые задачи при растяжении и сжатии
Статистически неопределимые задачи – это задачи, в которых число неизвестных превышает число уравнений статистики. Недостающие уравнения составляются исходя из условия совместности деформаций. Для примера рассмотрим систему, представленную на Рис. 2.1.

Рис. 2.1
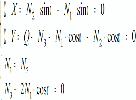
Пусть крайние стержни, имеющие равные площади поперечных сечений (F1 = F2) – стальные, средний стержень площадью F3 – медный. Длина среднего стержня – ?3, крайних – ?1 = ?2; допускаемые напряжения для стали – [?c], для меди – [?м]. Определить размеры поперечных сечений стержней под действием подвешенного груза Q. Установим силы, действующие на каждый из трех стержней. Считаем их растягивающими. Для их определения рассмотрим равновесие точки А. Схема действия сил на рисунке 2.2.

Рис. 2.2

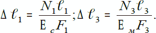
Точка А в результате деформации переместится в точку А1. Отрезок АА1 – удлинение среднего стержня ??3. Отрезки АВ2 и АС2 – удлинения первого стержня ??1 и второго – ??2 соответственно. Определим удлинения стержней ??1, ?? 2, ??3 по закону Гука

Найдя из чертежа зависимость между этими удлинениями, получим дополнительное уравнение совместности деформаций. Из треугольника А1АВ2 имеем:
АВ2 = АА1cos? или ??1 = ??3cos?
Подставляя значения ??1 и ??3 в это уравнение, получим:

Из треугольника АВД получаем ?3 = ?1cos?, тогда

Подставляем значение N1 в уравнение равновесия и получаем:

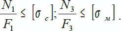
По величинам этих усилий и допускаемым напряжениям определим F1 и F3 из условий:
Более 800 000 книг и аудиокниг! 📚
Получи 2 месяца Литрес Подписки в подарок и наслаждайся неограниченным чтением
ПОЛУЧИТЬ ПОДАРОКДанный текст является ознакомительным фрагментом.