8. Напряжения, возникающие при изменении температуры
В статически неопределимых системах возникают напряжения при отсутствии внешних нагрузок не только от неточности изготовления и сборки, но и от изменения температуры. Возьмем стержень, защемленный неподвижно концами при температуре t1. Длина стержня ?, площадь поперечного сечения F, модуль упругости Е. Определить напряжения при изменении температуры до t2. Выясним, какие силы будут действовать на стержень, если температура повысится от t1 до t2. Стержень стремится удлиниться и будет распирать опоры А и В. Со стороны этих опор будут действовать реакции, они и вызовут сжатие стержня. Их величины нельзя найти из уравнений статики, так как единственное условие равновесия дает нам, что реакции опор в точках А и В равны по величине и прямо противоположны. Задача статически неопределимая.
RA = RB
Для составления дополнительного уравнения мысленно отбросим одну из опор, например, опору В и дадим стержню деформироваться в зависимости от температуры на величину ??t. По законам физики
??t = ??(t2 – t1),
где ? – коэффициент линейного расширения материала. Но так как длина стержня, закрепленного концами, остается и при нагревании неизменной, вернем опору В в первоначальное положение. Стержень укоротится на величину
??RB = ??t
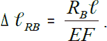
Это и есть условие совместности деформаций; оно указывает на то, что при изменении температуры длина стержня не изменилась, он не оторвался от неподвижных опор. По закону Гука

Приравнивая обе деформации, получаем:

откуда RB = ??(t2-t1)?EF; 
Напряжение, вызванное изменением температуры в стержне постоянного сечения с жестко защемленными концами, зависит лишь от материала, коэффициента линейного расширения, разности температур и не зависит от его длины и площади поперечного сечения.
Более 800 000 книг и аудиокниг! 📚
Получи 2 месяца Литрес Подписки в подарок и наслаждайся неограниченным чтением
ПОЛУЧИТЬ ПОДАРОКДанный текст является ознакомительным фрагментом.