14. Деформации при плоском и объемном напряженных состояниях (обобщенный закон Гука)
В пределах упругого деформирования была установлена прямая зависимость между нормальным напряжением ? и относительной деформацией ?, носящая название закона Гука.
? = Ee
Для нахождения деформации нужно выбрать одну из точек исследуемого тела и мысленно рассмотреть элементарный кубик в ее окрестности, на который действуют главные напряжения. Деформация кубика происходит во всех трех направлениях главных напряжений ?1, ?2, ?3. Такие деформации называются главными деформациями и обозначаются ?1, ?2, ?3. Совокупность главных деформаций в точке тела определяет деформированное состояние в точке.
Чтобы определить главные деформации объемного напряженного состояния, сначала определим деформации, связанные с отдельными главными напряжениями и сложим результаты. Деформация ?1 напряжения ?1 в том же направлении, что и ?1 из закона Гука равна:

Тогда деформация от всех главных напряжений в направлении ?1

Таким же образом определяются деформации в направлении других главных напряжений.
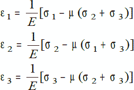
В результате получим следующую систему уравнений, представляющую собой закон Гука в общем виде:

Эти уравнения можно записать для линейного и плоского напряженного состояния материалов, если убрать соответствующие слагаемые.
Из полученной системы уравнений видно, что, зная главные напряжения, можно найти напряженное и деформированное состояния в точке, причем эти состояния могут не совпадать.
Более 800 000 книг и аудиокниг! 📚
Получи 2 месяца Литрес Подписки в подарок и наслаждайся неограниченным чтением
ПОЛУЧИТЬ ПОДАРОКДанный текст является ознакомительным фрагментом.