Парадокс времени!
Мы живем в мире, который постоянно меняется. Эти перемены мы ощущаем постоянно вокруг себя, меняемся и мы сами – эти перемены, события, различные преобразования мы называем течением времени.
Скорость течения времени этих процессов мы связываем с естественными периодическими процессами, сменой дня и ночи – сутками, или сменой состояния в природе – месяцами, или годами. Эти процессы обусловлены вращением Земли вокруг своей оси и вокруг Солнца.
Кроме естественных систем отсчета преобразований, мы создали искусственные – часы. Но ведь они не меряют время! Точные периодические колебания, переведенные в цифру, служат нам отсчетом периодов процессов, в которых мы участвуем. Мы считаем – время идет.
Классическая наука утверждает, что масса замедляет ход времени! Но, в таком случае, эффекта близнецов не может быть: замедляются все процессы, как в летящей ракете, так и на Земле.
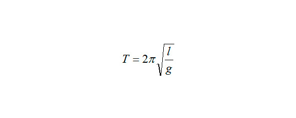
Природа предлагает нам замечательную формулу.

Согласно этой формулы на планете с большей массой процессы преобразования будут идти быстрее, т.е. время.
Откроем Библию: у Господа один день, как тысяча лет, и тысяча лет как один день. Почему древние мыслители считали, что с уходом координаты отсчета от Земли в космос время замедляет свой ход? Семь дней сотворения мира Творцом не являются семью днями в нашем понимании. Это тысячи лет у нас и один день у Творца.
Согласно приведенной формулы ход времени зависит от напряженности гравитационного поля. Эта напряженность у всех планет различна, у каждой планеты свой ход времени, своя скорость всех преобразований. Тогда эффект близнецов возможен. Космонавт, совершивший длительное космическое путешествие, будет выглядеть моложе брата-близнеца, живущего на Земле.
Более 800 000 книг и аудиокниг! 📚
Получи 2 месяца Литрес Подписки в подарок и наслаждайся неограниченным чтением
ПОЛУЧИТЬ ПОДАРОКДанный текст является ознакомительным фрагментом.