1.1 Формирование цвета
Вернемся к системе формирования цвета человеческим глазом. Есть два способа формирования цвета: аддитивный, при котором происходит сложение цветов непосредственно излучающих объектов, и субстрактивный, при котором происходит вычитание определенных цветов из отраженного белого света. Субстрактивная система формирования цвета используется, например, при работе красных стоп-сигналов в автомобиле: красное стекло, за которым находится лампочка – источник белого света, является фильтром, который поглощает остальную часть спектр, пропуская только красный свет. Так же работают и жидкокристаллические мониторы: перед источником непрерывного спектра находится матрица жидкокристаллических фильтров, которые поглощают свет различных длин волн в зависимости от подаваемого напряжения. Формирование света с помощью аддитивной системы используется, например, в светодиодных лампах, которые будут более подробно обсуждены в следующем разделе. В таких лампах восприятие белого света обеспечивается смешением синего света люминесценции полупроводникового кристалла и желтого цвета широкого спектра люминесценции порошкового люминофора.
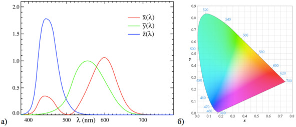
Математически это можно описать с помощью цветовой модели, основной целью которой является количественное сравнение различных цветов. В основу этой модели легло определение трех – по числу типов колбочек – функций цветового соответствия, с помощью которых путем умножения на них спектра источника света можно получить трехкомпонентный вектор, описывающий детектируемый глазом цвет. В колориметрии данные функции принято называть функциями цветового соответствия (англ. color matching functions). Эти функции были экспериментально определены на основе проведенных в конце 1920-х – начале 1930-х годов Дэвидом Райтом и Джоном Гилдом экспериментов.

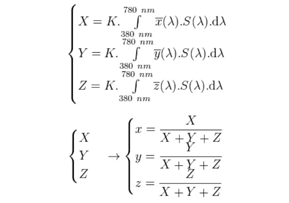
Рис. 3 а) Функции цветового соответствия Стандартного колориметрического наблюдателя, определённые комитетом CIE в 1931 году на диапазоне длин волн от 380 до 780 нм (с 5 нм интервалом) и б) диаграмма CIE
Чтобы определить компоненты вектора детектируемого света, спектр источника (S (?)) следует по очереди умножить на каждую из функций цветового соответствия ((?), ? (?) и (?)) с последующей нормировкой:

Полученные значения определяют координаты цветового вектора в трехмерном пространстве, однако удобнее задавать значение цвета через светолоту Y и две координаты x и y, определенные следующим образом:
x = X/ (X + Y + Z),
y = Y/ (X + Y + Z)
Цвет, соответствующий координатам x и y, определяется с использованием хроматической диаграммы. Огибающей фигуры, представленной на рисунке, является шкала длин волн видимого света. Таким образом, каждой точке, лежащей на огибающей, соответствует монохроматический источник с определенной длиной волны. С использованием этой диаграммы аддитивная система формирования цвета выглядит следующим образом. Свет, испущенный двумя монохроматическими источниками с длинами волн ?1 и ?2 с интенсивностями I1 и I2, будет воспринят глазом как цвет, координаты которого расположены в точке, разделяющей отрезок, соединяющий точки ?1 и ?2, в соотношении I1:I2.
Важно отметить, что определение кривых для этой модели условно, поскольку при ее построении был изначально заложен субъективный момент. Полученные данные основаны на опросе некоторого количества реципиентов, которых просили, в том числе, определить, имеют ли два источника света одинаковую яркость, даже если эти источники абсолютно разного цвета. Несмотря на это, такая модель является чрезвычайно полезной и широко используется.
Табл. 1 Шкала цветовых температур распространённых источников света
Более 800 000 книг и аудиокниг! 📚
Получи 2 месяца Литрес Подписки в подарок и наслаждайся неограниченным чтением
ПОЛУЧИТЬ ПОДАРОКДанный текст является ознакомительным фрагментом.