4.5. Законы эволюции систем
4.5.1. Общие сведения
Законы эволюции технических систем предназначены для улучшения, совершенствования существующих систем. Они показывают общее направление развития систем и тенденции их изменения.
Основные законы эволюции технических систем (рис. 4.7):
– закон увеличения степени идеальности;
– закон увеличения степени управляемости и динамичности;
– закон перехода в надсистему;
– закон перехода на микроуровень;
– закон согласования;
– закон свертывания – развертывания;
– закон неравномерности развития частей системы.
Закон увеличения степени идеальности является основным законом эволюции. Все остальные законы показывают способы достижения идеальности.
Закон увеличения степени управляемости и динамичности систем имеют подзаконы:
– увеличение степени вепольности;
– увеличение управляемости веществом, энергией и информацией.
Закон увеличения степени вепольности описан в п. 4.6.
Увеличение управляемости веществом, энергией и информацией в данной книги не будет рассматриваться. Он описан в [80].
4.5.2. Закон увеличения степени идеальности
4.5.2.1. Общие понятия закона увеличения степени идеальности
Г. С. Альтшуллер писал: «Понятие об идеальной машине – одно из фундаментальных для всей методики изобретательства».
Общее направление развития систем определяется законом увеличения степени идеальности. Это самый главный закон эволюции систем.
Г. С. Альтшуллер сформулировал это закон следующим образом:
Развитие всех систем идет в направлении увеличения степени идеальности.
Автор пособия незначительно изменил эту формулировку.
Закон увеличения степени идеальности заключается в том, что любая система в своем развитии стремится стать идеальнее.
4.5.2.2. Виды степеней идеализации системы
Условно можно выделить четыре степени идеализации системы:
1. Появляться в нужный момент в нужном месте;
2. Самоисполнение;
3. Идеальная система – функция;
4. Функция становится не нужной.
Система должна появляться в нужный момент в нужном месте по необходимому условию.
Идеальная система должна появляться в нужный момент в необходимом месте по необходимому условию и нести полную (100%) расчетную нагрузку.
В остальное (не рабочее) время этой системы быть не должно (она должна исчезнуть) или выполнять другую полезную работу (функцию).
Нужное действие должно появляться в нужный момент в необходимом месте или при необходимом условии.
Приведем пример идеального воздействия (процесса), совершаемого в нужном месте в нужный момент, не причиняя вреда окружению.
Пример 4.25. Остановка крови
Внутренние кровотечения в полевых условиях практически невозможно остановить. Это часто приводит к смертельным исходам. Особенно это важно во время ведения боевых действий.
Американские ученые разработали технологию DBAC (Deep Bleeder Acoustic Coagulation), позволяющую быстро свертывать кровь путем нагрева до температуры свертывания (от 70° C до 95° C) под воздействием ультразвука.
Обнаружение кровотечения осуществляется с помощью эффекта Доплера.
Для обнаружения кровотечения прибор подает ультразвуковые импульсы и в месте кровотечения наблюдает максимальное смещение частоты сигнала. Так локализуется место кровотечения.
Ультразвуковые волны воздействуют только на пораженный участок и совершенно не влияют на работу расположенных рядом органов.
Пример 4.26. Печать по требованию (Print-on-Demand)
Традиционно книги печатают офсетным способом. Это очень производительная и качественная печать. После этого продукцию необходимо доставить в необходимую страну на конкретный склад, где она хранится до тех пор, пока не будет вся распродана.
Идеально, что бы печаталось только необходимое в данный момент количество экземпляров и в нужном месте.
С появлением цифровой печати стало возможным печатать продукцию по требованию. Эта технология получила название Print-on-Demand. Это высококачественная печать, позволяющая выпустить даже одну книгу. Продукция не хранится на складах, а сразу поступает к заказчику.
Предмет должен появиться только в нужный момент в необходимом месте.
Можно использовать убирающиеся, складные, надувные, заменяемые и съемные предметы или их части. Они не занимают лишнее место и «появляются» в момент, когда они нужны.
Идеальная информация появляется в нужный момент в нужном месте при необходимом условии, без затрат времени и усилий на ее поиск.
Самоисполнение
Идеальная система должна выполнять все процессы (действия) самостоятельно (САМА) без участия человека.
Пример 4.27. Каменщики в Петербурге
Для строительства Петербурга не хватало каменщиков. Они не хотели ехать в далекую новую столицу.
Царь Петр I издал указ об освобождении петербургских каменщиков от податей, но эта мера не помогла.
Каменщики сами по собственному желанию должны прибыть на строительство Петербурга.
Петра I издал другой указ, запрещающий возводить во всей России «всякое каменное строение какого бы имени не было, под страхом разорения всего имения и ссылки». Каменные здания стали возводиться только в Петербурге, что и вызвало приток каменщиков.
Достаточно много технических систем, в названии которых есть слово «САМ» – без непосредственного участия человека. Уменьшение участия человека в работе технической системы осуществляется с помощью механизации, автоматизации и кибернетизации, в частности, компьютеризации.
Механизация труда позволяет облегчить выполнение отдельных операций, повысить их производительность и точность изготовления. Создаются специализированные инструменты, приспособления и механизмы.
Пример 4.28. Одевание автомобильных шин на конвейере
Одна из операций при сборке автомобилей – одевание колес. Конвейер находится на определенной высоте, для удобства сборки. При одевании колеса на вал, его нужно или поднимать вручную, или иметь специальное устройство для его поддержания.
Колесо должно подниматься САМО.
Колесо размещают на тележке сверху (рис. 4.10а). Когда необходимо надевать колесо, рабочий нажимает кнопку, тележка наклоняется, колесо падает вниз (рис. 4.10б), ударяется о пол, подскакивает (САМО поднимается). Когда колесо оказывается на уровне оси, рабочий направляет колесо на ось.

Рис. 4.10. Одевание автомобильных шин
Механизация процесса избавляет человека от выполнения физического труда. Все операции выполняются самостоятельно. Человек выполняет только функции управления или вообще не касается этого процесса.
Следующий уровень – использование программ.
Пример 4.29. Стиральная машина
Стиральная машина САМА (по программе) выполняет необходимую работу.
Более высокий уровень автоматизации – использование эффектов.
Пример 4.30. Самомоющееся стекло
В английской компании Pilkington создали первое в мире оконное стекло, которое само себя очищает от грязи, разрушая органическую грязь, используя солнечный свет и дождевую воду. Его назвали Pilkington Activ.
Уничтожение грязи ведется непрерывно, а ее смыв происходит тогда, когда идет дождь, или при омовении стекла водой из шланга.
В наружной поверхности стекла вмонтирована тонкая прозрачная пленка из двуокиси титана (диоксида титана – TiO2). Под действием света происходит фотокаталитический процесс, который разрушает грязь. TiO2 – белый порошок, поэтому чтобы пленка была прозрачной ее сделали толщиной 15 микрон. Чтобы грязь не приставала к стеклу его поверхность сделали гидрофобной. Использован физические эффекты – фотокаталитический и гидрофобный.
Стекло обладает эффектом зеркала и имеет синеватый отлив.
Наиболее дешевый способ идеализации – использование ресурсов.
Пример 4.31. Капсульная эндоскопия
Эндоскопия – способ осмотра некоторых внутренних органов при помощи эндоскопа. Эндоскоп представляет собой прибор, имеющий камеру, которая с помощью волоконной оптики передает изображение на экран монитора. Продвижение камеры осуществляется врачом.
Выпускается капсула, позволяющая исследовать тонкий кишечник. Такую капсулу проглатывают, и она САМА посредством перистальтики кишечника передвигается по желудочно-кишечному тракту и передает изображение тонкого кишечника посредством датчиков. Информация записывается на специальном приборе, который вешается на пояс пациента с помощью специальной сумки. Пациент не ощущает никаких неудобств и неприятных ощущений, которые происходят при традиционной эндоскопии.
Кибернетизация труда избавляет человека от управления процессом. Более высокие степени кибернетизации – автоматизация (компьютеризация) мыслительной деятельности. Иногда этот процесс называют интеллектуализацией.
В качестве примеров можно привести шахматные компьютерные программы, программы переводчики текстов на различные языки, экспертные системы и системы искусственного интеллекта и т. д.
Идеальная информация должна появляться САМА, без затрат времени и усилий на ее поиск.
Идеальная система – функция
Идеальной системы быть не должно, а ее работа должна выполняться как бы сама собой, по мановению «волшебной палочки».
Функция должна выполняться без средств
Идеальная система – это система, которой не существует – ее нет, а ее функции выполняются в нужный момент времени, в необходимом месте (причем в это время система несет 100% расчетную нагрузку), по необходимому условию, не затрачивая на это веществ, энергии, времени и финансов.
Главный конструктор танка Т-34 М. И. Кошкин говорил: «Самая лучшая деталь в танке та, которой в нем нет! Действительно – она уж точно не сломается и не сгорит…».
Таким образом, идеальная система должна выполнять полезные функции в нужный момент времени, в необходимом месте, по необходимому условию, иметь нулевые затраты и не иметь нежелательных эффектов.
Использование информации не относится к затратам, если она не требует финансовых затрат. Система тем идеальнее, чем больше она использует бесплатной информации.
Тенденция: материальная система заменяется виртуальной или программным обеспечением.
Пример 4.32. DVD ROM
Сегодня в квартирах часто имеется несколько компьютеров, которые объединяют в единую местную сеть. Тогда встает вопрос, как сэкономить на отдельных частях компьютеров, например, не покупать для каждого компьютера DVD ROM.
Идеальный DVD ROM – это отсутствующий DVD ROM, который выполняет его функцию.
Использование виртуального DVD ROM за счет программного обеспечения, которое имеется в операционной системе, например, в Windows эта операция называется «подключение сетевого диска». Таким же образом можно подключать дополнительный жесткий диск с другого компьютера, находящегося в местной сети.
Пример 4.33. Идеальная клавиатура компьютера
Клавиатуры быть не должно, а ее функция должна остаться. Клавиатуру проецируют на ровную поверхность, например, письменный стол. Нажатие клавиши определяется по пересечению пальцем определенного луча, проецирующего изображение.
Виртуальная клавиатура имеется в планшетах и смартфонах.
Другое решение подавать все команды голосом, которые с помощью компьютерной программы распознаются (voice recognition).
Еще один проект (Project Soli) представляет собой чип, помогающий управлять любыми устройствами, не касаясь их. Трехмерное движение кисти и пальцев воспринимаются с помощью радара. Размеры чипа небольшие (5х5мм), что позволит встраивать его даже в небольшие гаджеты, браслеты или смарт-часы.
Пример 4.34. Идеальный экран
Идеальный экран для проектора – это его отсутствие (его быть не должно), а функция должна выполняться.
Можно использовать стену (лучше белого цвета) или доску, на которой пишут фломастерами. Тогда появляется еще дополнительный эффект – на отображаемую картину можно наносить изображения при помощи фломастеров.
Идеальная информация – информация которой нет, а выполняется только ее функция – действие, процесс, который должны происходить с использованием данной информации. Например, принято решение, для которого собиралась данная информация.
Функция становится не нужной
Предельная степень идеализации – отказ от функции – функция становится не нужной.
Пример 4.35. Процесс мытья посуды
Раньше посуду мыли вручную. Особо грязные места приходилось долго оттирать щеткой. При этом полированная посуда царапалась.
Затем развитие этого процесса осуществлялось в нескольких направлениях. Например, появились различные моющие средства, убыстряющие и улучшающие процесс мытья. После нанесения таких средств нужно только смыть грязь.
Создали посудомоечную машину. Она САМА моет посуду (самоисполнение).
Появилась одноразовая посуда. Стал не нужен ни процесс мытья, ни сама функция – очистка посуды. Таким образом, процесс мытья стал идеальным – он перестал существовать.
Но необходимо собрать грязную одноразовую посуду и выбросить ее. Идеальнее не делать и этот процесс – избавиться и от этой функции. Можно посуду сделать съедобной, например, положить ее в питу, багет, капустный лист и т. п. имеется и другая съедобная посуда, например, тарелки, вилки и ложки, чашки
и т. д.
Идеальная информация – нет потребности в данной информации. Например, нет потребности в принятии решения, для которого собиралась данная информация.
Описанные выше, степени идеализации характерны не только для системы, но и для вещества, формы и процесса.
4.5.2.3. Показатель степени идеальности
Система тем идеальней, чем в ней больше полезных эффектов и чем меньше вредных эффектов (факторов расплаты).
Под полезными эффектами понимается:
– система выполняет больше полезных функций (полезной работы);
– работа осуществляется максимально эффективно и качественно.
Под вредными эффектами понимаются все расплаты:
– затраты времени и средств;
– вредные воздействия и т. д.
Затраты средств – это затраты на расходы энергии, веществ, элементов, пространства.
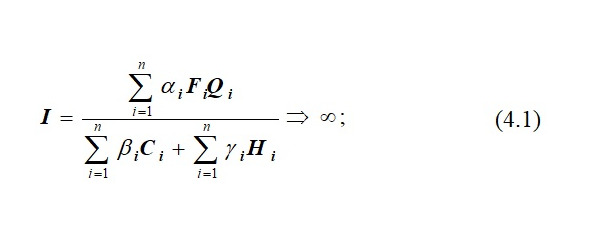
Степень идеализации системы можно представить в виде формулы (4.1):

Степень идеализации системы
Где
I – степень идеализации (безразмерная величина);
F – полезная функция или полезный эффект (безразмерная величина);
Q – качество полезной функции (эффекта) – безразмерная величина;
C – затраты времени и средств на осуществление полезной функции;
H – вредное действие (безразмерная величина);
i – порядковый номер функции;
n – количество функций;
a, ?, ? – коэффициенты согласования.
В соответствии с формулой для увеличения степени идеальности число полезных функций следует увеличивать и улучшить их качество, а затраты и вредные функции уменьшать. В пределе, когда числитель стремится к бесконечности, а знаменатель стремится к нулю, идеальность стремится к бесконечности.
4.5.2.4. Идеальное вещество
Идеальное вещество – вещества нет, а его функции выполняются.
Вещество тем идеальнее, чем:
– больше полезный эффект оно создает;
– меньше его вес и стоимость;
– меньше оно приносит вред (нежелательный эффект).
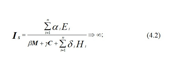
Степень идеализации вещества определяется формулой (4.2):

Степень идеализации вещества
Где
IS – степень идеализации вещества (безразмерная величина);
E – полезный эффект или свойство, выполняемое веществом (безразмерная величина);
M – масса или вес вещества;
C – стоимость вещества;
H – вредное действие, создаваемое веществом (безразмерная величина);
i – порядковый номер полезного эффекта (свойства);
n – количество полезных эффектов (свойств);
a, ?, ?, ? – коэффициенты согласования.
В качестве полезного эффекта (функций, свойств) вещества, например, можно назвать: прочность, эластичность, удельный вес, непроницаемость, тепло- и электропроводимость, тепло- и электроизоляционные свойства, прозрачность, коррозионная и химическая стойкость, pH, агрегатное состояние, температура плавления и кипения, кристаллическая структуру, и т. д.
Имеются вещества с изменяемыми свойствами, использующие различные эффекты. Условно мы их будем называть «умные» вещества. Например, жидкие кристаллы; поляризационные пластины; вещества, изменяющие свою прозрачность; термо- и фоточувствительные полимеры; флуоресцентные вещества; полимерные гели; материалы с эффектом памяти формы; магниты; магнитная и реологическая жидкость; электреты; тепловые трубы, фото- и светодиоды и т. д.
«Умное» вещество – это управляемое вещество с изменяемыми, заранее заданными свойствами, представляющее собой преобразователь или источник энергии или информации, осуществляющий определенный эффект (физический, химический, биологический или математический).
Для разных видов технических систем подбираются свое «идеальное» вещество.
Г. С. Альтшуллер писал: «Материал „идеальной машины“ работает так, что его свойства используются наилучшим образом, например, металлические части работают только на растяжение, деревянные части – только на сжатие и т. д.».
В качестве одного из идеальных веществ можно назвать пену. Она имеет минимальный вес и выполняет разнообразные функции, например, теплоизоляция, поглощение шума, изоляция потоков газа и т. п.
Пример 4.36. Защита насаждений от заморозков
Растения и посевы покрывают полимерной «шубой» из пены, защищая их от заморозков. Она безвредна для растений, долго держится, хорошо защищает почву от мороза, а при необходимости без затруднений смывается водой (а. с. 317 364).
Рассмотрим примеры других идеальных веществ.
Пример 4.37. Корпус самолета
В самолетах используют дюралюминий. Он достаточно прочен и легок.
Приведем пример использования «умных» веществ.
Пример 4.38. Соединительная втулка из никелида титана
Компания «Raychem Corporation» (США) в 1971 году разработала втулку для соединения труб гидравлической системы военных самолетов из материала с эффектом памяти формы – нитинола (никилид титана – NiTi). Эта втулка получила название «Cryofit». Она показала себя очень надежной. Из 300 000 поставленных втулок не было ни одной поломки.
4.5.2.5. Идеальная форма
В некоторых случаях можно говорить и об идеальной форме.
Идеальная форма – обеспечивает максимум полезного эффекта для выполнения определенной функции.
Под полезным эффектом формы пониматься, например:
– прочность, при минимуме используемого материала;
– минимальное аэро- и гидродинамическое сопротивление;
– герметичность;
– трение (минимальное или максимальное);
– эргономичность;
– эстетичность и т. д.
Пример 4.39. Корпус подводного аппарата
Для подводного аппарата идеальная форма прочного корпуса – сфера. Она обладает высокой устойчивостью и небольшой плотностью. У сферического корпуса минимальное отношение площади поверхности к объему.
Пример 4.40. Форма антенны
Антенна радиотелескопа должна иметь гиперболическую форму. Любые отклонения от теоретического гиперболоида дают искажения сигнала. Такую антенну делают из материала с эффектом памяти формы.
4.5.2.6. Идеальный процесс
Процесс осуществляется для получения результата.
Идеальный процесс – это отсутствующий процесс, его не должно быть, а должен быть только результат, осуществляемый процессом.
Таким образом: идеальный процесс – результат.
В качестве результата может быть взят продукт или действие.
Особым фактором в процессах является время.
Процесс происходит тем идеальнее, чем он производительней, качественней и чем меньше требуется затрат вещества, энергии, трудозатрат (в том числе и на управление процессом), и чем меньше вредных воздействий он производит.
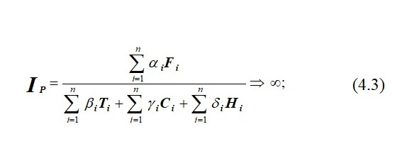
Степень идеализации процесса можно представить в виде формулы (4.3):

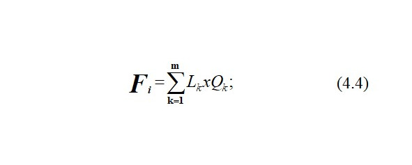
Степень идеализации процесса

Функциональность операции
Где
IP – степень идеализации процесса (безразмерная величина);
Fi – функциональность операции i (безразмерная величина);
Lk – уровень функции k в операции i (безразмерная величина);
Qk – качество выполнения функции k в операции i (безразмерная величина);
T – время выполнения операции i;
C – затраты средств на осуществление операции i;
H – вредное действие, создаваемое операцией i (безразмерная величина);
k – порядковый номер функции в операции i;
m – количество функций в операции i;
i – порядковый номер операции;
n – количество операций в процессе;
a, ?, ?, ? – коэффициенты согласования.
Процесс – это набор операций, которые могут выполняться последовательно и/или параллельно. Кроме того, могут быть обратные связи. Одна операция может выполнять несколько функций. Функции могут иметь разный уровень:
– главная;
– основная;
– второстепенная.
Идеальный процесс производит качественный продукт (результат) с нулевыми затратами вещества, энергии, времени и управления.
Способы идеализации процесса
Сокращение времени выполнения процесса и повышение его эффективности может осуществляться способами:
1. Не выполнять процесс, а использовать результат.
2. Выполнение действий заранее (предварительно).
Заранее (предварительно) выполнить требуемое действие полностью или хотя бы частично. Предварительное выполнение части процесса.
2.1. Заранее обдумать последовательность выполнения операций в процессе;
2.2. Заранее ввести нужные для выполнения процессов «отзывчивые» вещества и поля;
2.3. Заранее расставить объекты так, чтобы они могли вступить в действие без затрат времени на доставку с наиболее удобного места.
3. Устранить ненужные (лишние), повторяющиеся и вредные операции.
4. Устранить отдельные операции процесса, передав их функции другим операциям (предыдущим, параллельным или последующим).
5. Объединить однородные или смежные операции.
6. Использование пауз и холостых ходов.
7. Вести работу непрерывно.
8. Параллельное выполнение процессов.
9. Встречное выполнение процессов.
10. Процесс разбивается на отдельные операции, если возможно, каждая операция выполняется параллельно и встречно.
11. Выполнение процесса многими системами или частями.
12. Использование более управляемых полей и веществ, в частности, замена механического движения на движение более управляемого поля.
13. Использование ресурсов.
Приведем примеры способов осуществления идеализации процесса.
Выполнить действия заранее
– Предварительное выполнение части процесса.
Пример 4.41. Компьютерная программа для цифровой печати
Благодаря появлению цифровой печати стало возможным печатать документы или книги по требованию (Print-on-Demand – POD). Печатается столько документов, сколько их заказали в данный момент, причем хорошего качества. Это позволяет избавиться от складов и неликвидов. Кроме того, документ печатается в том месте, где он требуется. Таким образом, отпадает необходимость в транспортировке на значительные расстояния больших объемов готовой продукции – высшая степень идеальности – исчезли функции пересылки на большие расстояния и хранения печатной продукции.
При такой печати очень критично, чтобы печатающая машина не простаивала в ожидании, когда программа успеет подготовить ей очередной лист для печати.
С этой целью поступивший на печать документ предварительно обрабатывают и записывают в буферную память. Объем такой памяти ограничен и его не хватает для записи больших документов, например, книг.
В этом случае документ предварительно обрабатывается, и определяются повторяющиеся места, они и записываются в буферную память. Они, как правило, занимают не много места в памяти компьютера. Эти записи вызываются в момент, когда они необходимы для печати. Таким образом, выполняется часть процесса обработки информации заранее, что позволяет сократить общее время печати.
– Заранее расставить объекты.
Пример 4.42. Строительство домов
Раньше панели для строительства домов привозили заранее и их складировали. Для этого нужно было иметь дополнительные площади. Кроме того, панели могли быть повреждены в следствии плохой погоды или небрежного обращения.
Ввели способ строительства «с колес». Панели привозили точно в то время, когда они нужны. Их выгружали и тут же ставили на место.
Приведем примеры на другие способы сокращения времени проведения процесса.
Опишем идеализацию процесса сварки.
Процессы идут встречено
Пример 4.43. Сварка листов
При сварке листов процесс будет идти быстрее, если его вести с двух сторон навстречу друг другу (а. с. 988 490, 1 234 095). Можно двигать навстречу друг другу лист и дугу (а. с. 1 031 679).
Разбиение процесса на отдельные операции
Пример 4.44. Сварка листов
Процесс сварки будет идти быстрее, если будет использоваться не два, а большее количество электродов, которые попарно двигаются навстречу друг другу (а. с. 303 158).
Замена механического движения на полевое
Пример 4.45. Сварка листов
Можно вообще не тратить время на перемещение электродов, если их расставить заранее в нужном месте на расстоянии, меньшем, чем тепловое пятно. Каждый из электродов подсоединяется к источнику питания и последовательно включается. Таким образом, дуга движется, а электроды стоят на месте (а. с. 285 740).
Использование имеющихся ресурсов
Пример 4.46. Как отыскать в стене трассу скрытой проводки?
Это можно осуществить при помощи приемника. Для этого в розетку нужно включить какой-нибудь слабый источник помех, например, электробритву с отсоединенным помехозащитным фильтром. Приемник настроить в средневолновом диапазоне (но не на станцию) и начать водить им вдоль стены. При пересечении трассы проводки треск из динамика будет усиливаться.
4.5.3. Закон увеличения степени управляемости
Закон увеличения степени управляемости является основным из законов эволюции технических систем (рис. 4.11).

Рис. 4.11. Структура законов эволюции технических систем
Развитие системы идет в направлении увеличения степени управляемости.
Система может быть управляемой тогда и только тогда, когда она содержит в себе элементы, способные воспринимать управляющие сигналы, преобразовывать их в управляющие воздействия и адекватно воспринимать информацию о внутренних изменениях в системе и внешних воздействиях на нее. Это свойство часто называют «отзывчивостью».
Общая тенденция увеличения степени управляемости (рис. 4.12) – это переход от:
– неуправляемой к управляемой системе;
– неавтоматического (ручного) управления к автоматическому;
– проводного управления к беспроводному;
– непосредственного управления к дистанционному.

Рис. 4.12. Общая тенденция увеличения степени управляемости
Увеличение степени управляемости уменьшает степень участия человека в работе технической системы. Иногда эту тенденцию называют вытеснение человека из технической системы.
Вытеснение осуществлялось на протяжении всей истории развития человечества.
Первоначально вытеснение осуществлялось на уровне рабочего органа – руки и ногти были заменены острым камнем или рогом, которым первобытный человек, например, обрабатывал землю. На следующем этапе заменяли и некоторые связи или преобразователи – камень привязали к палке. Далее постепенно происходили этапы механизации, автоматизации и, начиная с 20 века, этап кибернетизации.
Этап механизации начинался с примитивных приспособлений, затем вытеснения человека на уровне двигателя – человек воспользовался природными силами (ветром, силой падающей воды и т. д.) и животными в качестве двигателя.
Следующий этап развития – замена человека на уровне системы управления. Этот этап начинался с примитивных, а затем сложнейших механических автоматов, далее автоматика была электромеханическая, электрическая и электронная.
Этап кибернетизации и интеллектуализации характерен для сегодняшнего дня.
Примеры к этим этапам мы рассматривали в разделе 4.5.2 (степени идеализации):
Система все делает сама – самоисполнение (рис. 4.13):
– механизация;
– автоматизация;
– кибернетизация (интеллектуализация).

Рис. 4.13. Уменьшение участия человека в работе технической системы
Пример 4.47. Зонтик
Родиной зонтика исторически считают Китай, Египет или Индию, где он, являлся привилегией царей и вельмож. Изобретение датируется XI веком до нашей эры. Первоначально он применялся исключительно в качестве защиты от солнца, и весил более 2 кг, а длина ручки была около 1,5 м.
Первые зонты имели недостаток – они не были складными, т. е. имели только одно устойчивое состояние – открытое. Соответственно, это была неуправляемая система – независимо от наличия дождя или прямых солнечных лучей зонтик сохранял свои внушительные размеры.
Автоматическое управление в технике – это совокупность действий, направленных на поддержание или улучшение функционирования управляемого объекта без непосредственного участия человека в соответствии с заданной целью управления.
Тенденция перехода от неуправляемой к управляемой системе показана на рис. 4.14. Она представляет собой переход от неуправляемой системы к управлению по разомкнутому контуру, затем к переходу к системе с обратной связью, к адаптивной (самонастраивающейся) системе, к самообучаемой и самоорганизующейся системе и, наконец, к саморазвивающейся и самовоспроизводящейся системе.

Рис. 4.14. Переход от неуправляемой к управляемой системе
Управление по разомкнутому контуру осуществляется без знаний о текущем состоянии объекта управления. При таком управлении чаще всего управление ведется по жесткой программе, без анализа каких-либо факторов в процессе работы, либо измеряют и компенсируют главные из возмущений.
Для этого вида управления характерно отсутствие обратной связи, с помощью которой можно получить информацию о том, что происходит в объекте управления.
Структурная схема системы управления по разомкнутому контуру показана на рис. 4.15. Устройство управления воздействует на объект управления по программе, находящейся в задающем устройстве. На объект управления могут воздействовать возмущения. Некоторые системы по разомкнутому контуру измеряют главные из возмущений и компенсируются.

Рис. 4.15. Система управления по разомкнутому контуру
Этот вид управления достаточно примитивен, но часто исполнительные устройства просты, надежны и дешевы. По такому принципу работают примитивные автоматы и конвейерные линии.
Условия предпочтения управления по разомкнутому контуру управлению по замкнутому контуру:
– не нужны высокоточные операции;
– система может работать удовлетворительно без гарантии изменений, которые происходят в объекте управления.
Пример 4.48. Стиральная машина
Переключение команд в стиральной машине осуществляется по определенной программе.
Система с обратной связью представляет собой систему, работающую по замкнутому контуру. В такой системе осуществляется регулирование по отклонению, а цепь прохождения сигналов образует замкнутый контур, включающий объект управления и управляющее устройство.
Структурная схема системы управления с обратной связью показана на рис. 4.16. Устройство управления воздействует на объект управления посредством сигнала (управляющего воздействия) в соответствие с ошибкой управления, которая вырабатывается в результате сравнения сигнала обратной связи с задающим воздействием. На объект управления могут воздействовать возмущения.

Рис. 4.16. Система управления с обратной связью, где кружок с крестиком – сумматор
Обратная связь – это процесс, приводящий к тому, что результат функционирования какой-либо системы влияет на параметры, от которых зависит функционирование этой системы. На вход системы подается сигнал, являющийся функцией выходного сигнала. Часто это делается преднамеренно, чтобы повлиять на динамику функционирования системы.
Различают положительную и отрицательную обратную связь.
Отрицательная обратная связь – это тип обратной связи, при которой входной сигнал системы изменяется таким образом, чтобы противодействовать изменению выходного сигнала. Отрицательная обратная связь компенсирует отклонения управляемой величины от желаемых значений вне зависимости от причин, вызвавших эти отклонения. Таким образом, на вход системы подается инвертируемый выходной сигнал, сигналы вычитаются, уменьшая ошибку управления.
Отрицательная обратная связь делает систему более устойчивой к случайному изменению параметров.
На рис. 4.17 затемненная часть сумматора обозначает, что он является инвертором (сигнал вычитается).

Рис. 4.17. Система управления с отрицательной обратной связью
Примером отрицательной обратной связи является любая система автоматического управления и регулирования, следящая система.
Пример 4.49. Инвертор
Простейший пример отрицательной обратной связи – это инвертор или инвертирующий усилитель (рис. 4.18). Он выполнен на операционном усилителе (ОУ). Обратная связь подается через сопротивление R3 на инвертирующий вход (он обозначается кружочком), при этом фаза выходного сигнала сдвигается относительно входного на 180?. Поэтому обратная связь отрицательная.

Рис. 4.18. Схема инвертора (инвертирующего усилителя) ОУ – операционный усилитель, R1, R2, R3 – сопротивления.
Эффективность управления повышается, если управление осуществляется не только по управляемой величине, но и по ее производным и интегралу.
Производная позволяет раньше реагировать на изменение управляемой величины, а интеграл позволяет учесть предыдущие изменения.
Положительная обратная связь – это тип обратной связи, при которой изменение выходного сигнала системы усиливается за счет складывания с входным сигналом, способствуя дальнейшему отклонению выходного сигнала от первоначального значения.
Системы с сильной положительной обратной связью неустойчивы, в них возникают незатухающие колебания (автоколебания).
Положительная обратная связь используется, например, в усилителях, генераторах, переключателях и т. п.
Пример 4.50. Генератор
Простейший пример положительной обратной связи – это генератор. На схеме (рис. 4.19) генератор выполнен на операционном усилителе (ОУ). Обратная связь подается через сопротивление R3 на положительный вход, при этом входной и выходной сигналы складываются, усиливая выходной сигнал. Поэтому обратная связь положительная.

Рис. 4.19. Схема генератора
ОУ – операционный усилитель, R1, R2, R3 – сопротивления
Самонастраивающаяся система – это система, в которой приспособление к случайно изменяющимся условиям обеспечивается автоматическим изменением параметров настройки или путем автоматического поиска оптимальной настройки. Самонастраивающуюся систему также называют адаптивной или самоприспосабливающейся.
В самонастраивающихся системах параметры меняются в более широком диапазоне по сравнению с обычными (не самонастраивающимися) системами, в которых осуществляется первоначальная настройка (создание определенных параметров) при разработке системы. Такие параметры влияют на устойчивость и качество процессов управления.
Самонастраивающаяся система сохраняет работоспособность даже в условиях непредвиденного изменения свойств управляемого объекта, цели управления или условий окружающей среды посредством смены алгоритмов своего функционирования или поиска оптимальных состояний.
Пример 4.51. Коммутатор
Коммутаторы предназначены для подключения и отключения входных сигналов. Они широко используются в серверах, чтобы повысить производительность пропускания каждого из каналов (портов). Каждый из портов имеет определенную скорость пропускания информации, что ограничивает общую производительность ее прохождения.
Компания IBM разработала коммутатор с самонастраивающимися портами способными автоматически выбирать наибольшую скорость пропускания информации без блокировки каналов.
Самообучающаяся система – это система, алгоритм функционирования которой совершенствуется путем самообучения в процессе работы, улучшая функционирование системы.
Пример 4.52. Поисковые системы
Информацию в Интернете ищут с помощью специальных поисковых систем, например, поисковой машины Google. Программа поисковой машины самостоятельно изучает запросы и впоследствии предоставляет клиентам информацию, более подходящую для каждого из них. Например, предоставляет информацию, к которой чаще всего обращаются.
Самоорганизующаяся система – это система, которая способна синтезировать модель структуры системы в зависимости от ее предназначения и окружающих ее условий. Она разрабатывает алгоритм работы системы, проектируя систему управления, и по синтезируемой модели создает саму систему из имеющихся элементов. Такая система способна перестроить структуру системы, чтобы приспособиться к внутренним или внешним изменениям. В простейшем случае система способна изменить связи между подсистемами, а в сложнейшем случае заменять, добавлять или изменять подсистемы для создания структуры, способной наилучшим образом выполнить необходимые функции.
Основное отличие самоорганизующейся системы от самонастраивающейся системы заключается в том, что в первой в процессе приспособления преобладают качественные изменения, а во второй – количественные.
Пример 4.53. Самоорганизующийся робот
В лаборатории вычислительного синтеза Корнельского университете (США) разработали опытный образец робота, способного синтезировать свою структуру в зависимости от окружающих его условий и обстоятельств воспроизвести себя из универсальных элементов – кубиков.
На поверхности кубиков имеются электромагниты, с помощью которых они могут соединяться и разъединяться друг с другом; питание подводится через контакты на поверхности монтажного стола.
Первоначально робот создает свою модель и по ней синтезирует систему управления, что осуществляется в результате ограниченного количества физических экспериментов (это поисковая самонастраивающаяся система).
Алгоритм работы робота позволяет ему функционально компенсировать механические повреждения в результате коррекции собственной модели.
Саморазвивающаяся система – это самообучающаяся, способная не только накапливать знания, но и развивать систему в соответствии с поставленными целями по определенным закономерностям.
Пример 4.54. Саморазвивающаяся компьютерная система
В патенте США 5 072 406 описана саморазвивающаяся компьютерная система, память которой содержит блоки инструкций, специальных знаний и базовых данных. Блок специальных знаний включает знания конкретной области и стратегию их использования. Блок базовых данных включает знания по использованию инструкций.
При поступлении входного сигнала он обрабатывается и перепроверяется по всем блокам с учетом имеющихся инструкций и базовых данных, вырабатывая выходной сигнал. При выявлении новых знаний они заносятся в блок специальных знаний. В процессе деятельности блок специальных знаний может изменять инструкции, постоянно развивая компьютерную систему.
Самовоспроизводящаяся система – это самоорганизующаяся, саморазвивающаяся система, способная создать подобную себе систему.
Основное отличие самоорганизующейся
Более 800 000 книг и аудиокниг! 📚
Получи 2 месяца Литрес Подписки в подарок и наслаждайся неограниченным чтением
ПОЛУЧИТЬ ПОДАРОКДанный текст является ознакомительным фрагментом.