Фундаментальные (Планковские) величины
Космология – наука о происхождении Вселенной пользуется специальной системой измерения М. Планка. Ее значения определены с помощью фундаментальных величин: постоянной Планка, гравитационной постоянной и скорости света.
Вот некоторые из этих величин
Единица длины lp = 1,61 · 10—35 M
Единица времени tp = 0,54 · 10—43 C
Единица массы mp = 2,18 · 10—8 кг =14,54 · 10—19 м3/с2 [18].
Интересно, что в системе измерения Планка единица сопротивления имеет вполне определенную величину rp = 0,34 · 10—8 c/м. Это величина обратная скорости света.
Классическая физика называет эти величины фундаментальными и пользуется ими для характеристики процессов, происходящих при Большом взрыве.
Теория Большого взрыва была создана трудами ученых А. Эйнштейна, А. Фридмана, Г. Гамова, Э. Хаббла. Согласно этой теории, расширение Вселенной является ее одним из основных свойств, и красное смещение в спектрах галактик говорит об их взаимном удалении друг от друга с увеличением скорости, которое продолжается с момента их возникновения.
Современная физика утверждает, что фундаментальные величины присущи веществу в момент tp = 0,54 · 10—43 C, после Большого взрыва, когда начали работать законы квантовой механики. При этом, радиус вещества был Rp = 1,616 · 10—35 м, его плотность составляла ?p = 3,47 · 1096 кг/м3, а температура была Tp = 1032 K. Теория интересная. Но возникает множество вопросов. Почему взяты только эти величины? Появляется желание продолжить этот ряд и поставить следующую величину, определенную Планком: mp = 2,18 · 10—8 кг. Но ведь эта величина явно не вписывается в таблицу, построенную на идее Большого взрыва. Ведь масса вещества Вселенной, спрессованного до фундаментальной плотности, явно не может быть равной планковской массе! Вот, что об этом говорит профессор И. Шкловский: «Конечно, очень трудно себе представить, что вся эта огромная масса, исчисляется совершенно фантастической цифрой – десять с пятьюдесятью нулями тонн – была втиснута в столь микроскопический объем. И тем не менее – это факт! Затем, по неизвестной нам пока причине, 20 миллиардов лет назад, эта „точка“ взорвалась. Взрыв был настолько чудовищный, что вещество, скрытое в ней, до сих пор разлетается в разные стороны с огромной скоростью».
В системе Планка периоду соответствует планковская частота. Что она обозначает в теории Большого взрыва? На какой физический процесс в этой теории может указывать планковское сопротивление? Такие вопросы можно продолжать. В теорию Большого взрыва не вписываются и законы И. Кеплера. У нас своя версия.
Вашему вниманию предлагается еще один вариант нашей таблицы. Это «Таблица формул для определения фундаментальных (Планковских) величин».

Пользуясь величинами, которые получил М. Планк, а по сути, его системой, определяем, что частица Планка не только движется со скоростью света, но и вращается с этой скоростью вокруг своей оси.! В этом, и только в этом случае вращение планет вокруг Солнца и частицы Планка вокруг своей оси происходит по одним и тем же законам! В этом случае работают законы И. Кеплера в микромире, работает вся таблица.
Предлагаемая таблица построена на базе всего двух измерений – М (метр), С (секунда). Это те величины, с помощью которых измеряется протяженность пространства и длительность периода, на фоне которых происходят любые события, каждый физический процесс. На этом фоне определяются все другие физические величины. Таблицей мы разворачиваем пространство. Такое развернутое пространство решает вопрос качественного определения каждого параметра вращательного движения. В данном случае – это фундаментальные величины.
Каждая формула таблицы состоит из двух исходных величин, которые ввел М. Планк:
постоянная Планка – ћ
скорость света – с
Надо отметить, что при применении системы LT (М.,С.) в таблице, гравитационная и электрическая постоянные равны единице!
При этом, каждая последующая величина равна предыдущей, умноженной на: величину радиуса – по горизонтали; на величину периода обращения, деленного на два пи – по вертикали; на величну скорости света – по диагонали слева-направо.
Таблица исключает систему измерения СИ, кстати, как и все другие системы. С применением этих систем, соотношения между величинами в клеточках нарушаются. Таблица работает (разговаривает) только при применении системы LT (М.,С.)
Существуя при расчетах вихря частицы Планка, отображая его законы вращения, фундаментальные величины имеют четкие, реальные значения, в протекающих физических процессах и могут служить масштабами при вычислении гравитационных и электрических взаимодействий.
Фундаментальные величины можно использовать для определения электромагнитного и гравитационного взаимодействий.
Электромагнитные взаимодействия имеют место между заряженными частицами. Интенсивность взаимодействия характеризуется постоянной тонкой структуры ?e=1/137
Лауреат Нобелевской премии, один из создателей современной квантовой электродинамики Р. Фейнман писал: «С наблюдаемой константой связи ?e– амплитудой поглощения или излучения реального фотона реальным электроном связан очень глубокий и красивый вопрос. Число ?e в соответствии с экспериментами, равно примерно – 0,08542. (Мои друзья физики не узнают этого числа, они привыкли пользоваться обратной величиной его квадрата, 137,0359. С тех пор, как его открыли свыше пятидесяти лет назад, это число остается тайной. Все хорошие физики теоретики выписывают это число на стене и мучаются из-за него) … Это одна из величайших проклятых тайн физики, магическое число, которое дано нам и которого человек совсем не понимает. Можно было бы сказать, что это число написала „рука Бога“, и „мы не знаем“, что двигало его карандашом». [29]
Рассмотрим, как отвечает на этот вопрос таблица. С ее помощью попытаемся разобраться с «магическим числом».
В таблице электрический и гравитационный заряды помещены в одной клеточке. Это говорит о дуализме этих физических понятий.
Гравитационный заряд (масса) фотона определен М. Планком и равен:
в системе СИ – 2,18 · 10—8 кг
в системе МС – 14,54 · 10—19 м3/с2
Электрический заряд фотона равен:
в системе МС – 14,54 · 10—19 м3/с2
в системе СИ – 18,76 · 10—19 к
Учтем, в системе LT (М.,С.) единицы зарядов фотона, частицы Планка mp и электрического е одинаковые, и равны м3/с2.
Если взять отношение квадратов гравитационного заряда фотона, частицы Планка, и электрического заряда электрона, получим величину постоянной тонкой структуры: при этом

Число, которое предложил Р. Фейнман:

Таблица четко указывает на то, что в формуле определяющей электромагнитное взаимодействие:

величина

В опытах этой величиной характеризуется взаимодействие двух зарядов электрона и фотона, частицы Планка!
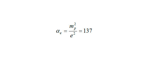
Гравитационное взаимодействие в классической физике определяется величиной 5,9 · 10—39. И снова вопрос – почему? Эта величина определяется отношением квадратов гравитационных зарядов протона и опять таки фотона, частицы Планка:

mnp– масса протона
mp – масса фотона, частицы Планка
Таким образом, два различных взаимодействия – гравитационное и электромагнитное определяются фотоном, частицей Планка.
Более 800 000 книг и аудиокниг! 📚
Получи 2 месяца Литрес Подписки в подарок и наслаждайся неограниченным чтением
ПОЛУЧИТЬ ПОДАРОКДанный текст является ознакомительным фрагментом.