Модуль 1 Реакции ацилирования органических соединений
Комплексная цель модуля
Углубить и систематизировать знания о строении и реакционной способности карбонильной группы. Обобщить знания о механизмах превращений с участием карбонильной группы, акцентируя внимание на механизме ацилирования. Получить представление о применении реакций ацилирования в органическом синтезе.
Программа семинара
Ацилирование. Номенклатура типичных ацилов – остатков жирных и ароматических карбоновых кислот, а также сульфокислот. Типы ацилирующих агентов и сравнение их эффективности: галогенангидриды, ангидриды, сложные эфиры, амиды кислот и сами кислоты. Ацилирование аминов, спиртов, фенолов, карбоновых кислот, меркаптосоединений (тиоспиртов, тиофенолов). Механизм реакции ацилирования. Ацил в качестве защитной группы. Методы элиминирования ацильной защиты: кислотный и щелочной гидролиз. Действие гидразина. Механизм этих реакций. Этерификация карбоновых кислот спиртами. Механизм реакции, катализаторы этерификации. Способы нарушения равновесной системы. Влияние полярных и пространственных факторов на этерификацию. Кислотный и щелочной гидролиз сложных эфиров. Аммонолиз сложных эфиров.
Краткая теория для подготовки к семинару и решение задач
Ацилированием называется введение в органические соединения (обычно вместо атома водорода) остатков органических кислот – ацилов. Вот некоторые из простейших ацилов и их названия:
В более широком смысле ацилированием называют также введение остатков и других кислородсодержащих кислот, например, сульфокислот, получаемых путем отнятия группы ОН от кислоты:
С6H5SO2 – бензолсульфонил
p-CH3C6H4SO2 – п-толуолсульфонил или тозил
CH3SO2– метилсульфонил или иначе мезил
Ацилирующими агентами чаще всего служат галогенангидриды (обычно хлорангидриды) или ангидриды кислот, например:

Возможно применение смешанных ангидридов. Так, для формилирования иногда используют смешанный ангидрид муравьиной и уксусной кислот, поскольку галогенангидриды и ангидрид муравьиной кислоты неустойчивы. В качестве ацилирующих агентов используются и сами карбоновые кислоты, а также их эфиры и амиды. В целом, по ацилирующей способности указанные агенты можно расположить в ряд:
Чаще всего ацилированию подвергают соединения с подвижным водородом – амины, спирты, фенолы, тиоспирты и тиофенолы, например:
н-C3H7NH2 + (CH3CO)2O н-C3H7NHCOCH3 + CH3COOH
н-C3H7OH + CH3COCl ? н-C3H7OCOCH3 + HCl
C6H5SH + CH3COCl ? C6H5SCOCH3 + HCl
Если в реакции ацилирования выделяется сильная кислота (например, НСl), то ее целесообразно связать, прибавляя в реакционную смесь такие основания, как сода, поташ, триэтиламин или пиридин.
Механизм реакции представляет собой присоединение нуклеофила (амин, спирт, тиол и т. п.) к карбонильной группе ацилирующего агента с последующим элиминированием из продукта присоединения протона и так называемой уходящей группы, находящейся в исходном ацилирующем средстве:

При одинаковых внешних условиях легкость ацилирования определяется, главным образом, тремя факторами: величиной положительного заряда на карбонильном атоме углерода, легкостью отщепления уходящей группы и нуклеофильностью соединения, которое ацилируют. Сочетание двух первых факторов дает тот ряд активности ацилирующих средств, который приведен выше. Так, аминогруппа менее электроотрицательна, чем хлор или оксигруппа, поэтому она не создает на карбонильном атоме углерода в амидах кислот достаточно большого положительного заряда; напротив, она этот заряд даже уменьшает за счет более сильного по сравнению с хлором и гидроксигруппой смещения неподеленной пары электронов азота к карбонильному углероду (+М-эффекта):
С другой стороны, в промежуточном продукте присоединения типа 1 отщепление аминогруппы протекает значительно труднее, чем аниона Сl– или OH-, так как анион NH2– более нуклеофилен. Таким образом, эти обстоятельства не способствуют проявлению амидами кислот высокой ацилирующей способности, но благоприятствуют ей в случае хлорангидридов и ангидридов кислот.
В качестве ацилирующих средств нередко используют внутренние ангидриды таких дикарбоновых кислот, как янтарная или фталевая:


Ацилирование широко применяется в органической химии для защиты легко окисляющихся или просто активных функциональных групп. Так, анилин удобно нитровать в виде ацетанилида, поскольку сам анилин при действии азотной кислоты легко окисляется; кроме того, протонирование анилина увеличивает процент мета-замещения.
Для удаления ацильной защиты обычно используют кислотный или щелочной гидролиз или действие гидразина. Эти превращения, как и ацилирование, представляют собой нуклеофильное присоединение – элиминирование у карбонильного кислорода и с точки зрения механизма имеют много общего:

Фактически к реакциям ацилирования относится и этерификация карбоновых кислот спиртами, приводящая к образованию сложных эфиров:
Эксперименты с исходными соединениями, меченными изотопом О18, показали, что гидроксил в этой реакции отщепляется от кислоты, а не от спирта. Важную роль при этерификации играет кислотный катализ, поэтому в реакционную смесь обычно добавляют некоторое количество серной кислоты. Механизм кислотного катализа подробно рассмотрен в учебниках. Следует заметить, что реакция этерификации обратима: для ее смещения вправо требуется большой избыток спирта, тогда как гидролизу эфира способствует прибавление в смесь воды. Другие методы получения сложных эфиров – действие алкилгалогенидов на металлические соли карбоновых кислот, а также ацилирование спиртов хлорангидридами или ангидридами кислот.

Контрольные вопросы
1. Какие реакции называют реакциями ацилирования?
2. Соединения каких классов используют в качестве ацилирующих агентов?
3. Сравните ацилирующую способность хлорангидридов, ангидридов, сложных эфиров и амидов карбоновых кислот.
4. Какие соединения способны подвергаться ацилированию?
5. Каков механизм реакций ацилирования?
6. Приведите механизм реакции этерификации.
7. Как изменяется механизм реакции ацилирования в условиях кислотного и основного катализа?
Тест рубежного контроля
Выберите правильный вариант ответа и отметьте его в бланке ответов (на выполнение отводится 15 минут).
Бланк ответов

Критерии оценки
Ниже дана оценка Ваших знаний в зависимости от набранных баллов:
8–9 баллов – отлично,
5–7 баллов – хорошо,
4–3 баллов – удовлетворительно,
ниже 3 баллов – Вы не усвоили теоретический материал, вернитесь к его изучению.
Индивидуальные домашние задания
Вариант 1
1. Напишите уравнения реакций, протекающих между ангидридом пропионовой кислоты и: а) п-этоксианилином, б) диметиламином, в) м-бромфенолом, г) н-бутилмеркаптаном.
2. N-Ацетильные производные ароматических аминов гидролизуются как в кислой, так и в щелочной среде, тогда как сульфамиды ArNHSO2R устойчивы к щелочам и для их гидролиза используют конц. H2SO4 . Почему?
3. К эквимолярной смеси этиламина и этанола в бензоле добавили один моль уксусного ангидрида (при комнатной температуре). Какое из указанных веществ прореагировало? Ответ обоснуйте.
4. На валериановую кислоту последовательно подействовали тионилхлоридом, аммиаком, бромом в присутствии щелочи, бензойноэтиловым эфиром. Напишите уравнения реакций и назовите полученные вещества. Какие из этих реакций являются ацилированием?
5. Гидразиды арилсульфокислот легко разлагаются при небольшом нагревании с выделением азота и используются в промышленности в качестве порообразователей в производстве губчатых резин, пенопластов и пр.
Напишитемеханизмобразованияп-толуолсульфонилгидразида, исходя из п-толуолсульфохлорида и гидразингидрата. Какая добавка будет ускорять эту реакцию: NaHCO3, CH3COONa, H2SO4?
6. Сложные эфиры уксусной кислоты и оптически активных третичных спиртов гидролизуются в щелочном растворе с сохранением конфигурации спирта, а при кислотном гидролизе наблюдается рацемизация спирта. Объясните эти факты на примере гидролиза следующего эфира:
Вариант 2
1. Напишите уравнения реакций, протекающих между этилпропионатом и: а) водой в присутствии ОН-; б) бутанолом в присутствии Н+; в) метиламином; г) гидразином.
2. Напишите уравнения реакций метанола с: а) конц. серной кислотой (взять 1 и 2 моля метанола на моль H2SO4), б) ангидридом янтарной кислоты (при нагревании), в) трихлоридом фосфора, г) трибромидом фосфора. Объясните различную направленность реакций в двух последних случаях.
3. Объясните, почему гидролиз (как щелочной, так и кислый) N,N-диацетиланилинапротекаетлегче,чемгидролизацетанилида?
4. Расположите в ряд в порядке убывающей ацилирующей способности ацетат натрия, уксусную кислоту, ацетамид, ацетилхлорид, уксусный ангидрид, этилацетат.
5. Почему основания катализируют омыление сложных эфиров, но не их образование? Сопоставьте влияние оснований с действием кислот, которые катализируют как реакцию этерификации, так и гидролиз.
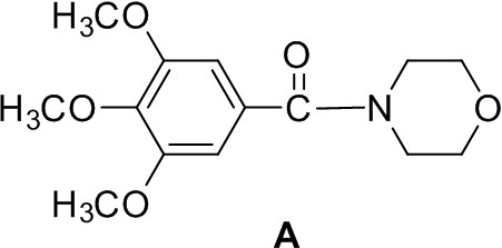
6. Как с помощью реакции ацилирования синтезировать триметозин (А), используемый в медицинской практике в качестве седативного средства?

Вариант 3
1. Напишите уравнения реакций, протекающих между п-толуидином и: а) ангидридом трифторуксусной кислоты (1 моль); б) пропионовой кислотой (на холоде и при нагревании); в) янтарным ангидридом; г) хлорацетилхлоридом. Назовите полученные вещества.
2. Обычно при кислотном гидролизе сложных эфиров рвется связь ацил–кислород. В то же время кислотный гидролиз сложных эфиров третичных спиртов сопровождается разрывом связи между кислородом и алкильной группой. Объяснить наблюдаемые явления с точки зрения механизма реакции.
3. Закончите уравнения реакций:
4. Напишите уравнение реакции ацетилхлорида с натриевой солью капроновой кислоты. К какому классу относится продукт реакции? Как его можно получить иначе?
5. Как будет протекать реакция между этиловым эфиром муравьиной кислоты и: а) метиламином; б) анилином? Назовите продукты. Что реагирует легче с этилформиатом и почему: метиламин или анилин?
6. Объясните, почему при ацилировании аминов хлорангидридами карбоновых кислот используют двукратный избыток амина. Для иллюстрации используйте реакцию бензоилхлорида с диметиламином.
Вариант 4
1. Напишите уравнения реакций, протекающих между н-пропиламином и: а) ангидридом янтарной кислоты; б) этилацетатом; в) трифторуксусным ангидридом; г) трифторуксусной кислотой (на холоде); д) смешанным ангидридом уксусной и муравьиной кислот. Назовите полученные вещества. В случае д) объясните направление реакции.
2. На 3-нитро-4-аминотолуол последовательно действуют: а) тозилхлоридом (в пиридине); б) йодистым метилом в спиртовом растворе щелочи; г) разбавленной H2SO4 при нагревании. Напишите уравнения реакций и назовите конечный продукт.
3. Что образуется при действии уксусного ангидрида (1 моль) в присутствии хлорида алюминия на следующие соединения: бензол, бифенил, нафталин? Назовите продукты реакций. Сравните механизм ацилирования ароматических углеводородов с механизмом ацилирования других нуклеофилов.
4. Как реагирует ацетилхлорид cо следующими соединениями: а) натрийацетоуксусный эфир; б) ацетат натрия; в) фенолят натрия. Почему реакция ацетилхлорида с самим фенолом протекает очень медленно?
5. Напишите уравнения реакций масляной кислоты со следующими соединениями: а) диазометан; б) кетен; в) PCl5.
6. Почему гидролиз амидов карбоновых кислот требует более жестких условий по сравнению с гидролизом сложных эфиров?
Вариант 5
1. Напишите уравнения реакций, протекающих между хлорангидридом п-толуолсульфокислоты (тозилхлоридом) и: а) метиламином; б) 1,4-диаминобутаном (взять 1 и 2 моля тозилхлорида); в) н-бутанолом в присутствии поташа. Для чего в последней реакции нужен поташ?
2. Напишите уравнения реакций кетена со следующими веществами: а) вода; б) этанол; в) пропионовая кислота. Напишите предполагаемый механизм этих превращений и назовите полученные вещества.
3. Диметиловый эфир серной кислоты и метиловый эфир бензойной кислоты реагируют с анилином, образуя различные соединения. Какие? Почему эфиры этих кислот реагируют различным образом?
4. При нагревании о-аминофенола с тозилхлоридом в воде и в воде в присутствии триэтиламина, получаются разные вещества. Чем это можно объяснить?
5. На аминоуксусную кислоту последовательно подействовали: а) уксусным ангидридом (1 моль); б) метанолом в присутствии каталитического количества конц. H2SO4; в) пропиламином при нагревании. Напишите уравнения реакций. Какие из них являются реакциями ацилирования?
6. Расшифруйте продукты превращений и назовите их по номенклатуре ИЮПАК.

Вариант 6
1. Напишите уравнения реакций, протекающих между хлорангидридом пропионовой кислоты и: а) изопропиламином; б) натрийацетоуксусным эфиром; в) этантиолом; г) 1,4-диамино-бутаном (взять 1 и 2 моля хлорангидрида).
2. Дополните схемы следующих превращений:


3. На эквимолярную смесь анилина и метиламина в присутствии поташа подействовали 1 молем бензоилхлорида. Какие вещества образовались и какого из них должно получиться больше?
4. Из ацетона и любых неорганических реагентов получите изопропиловый эфир изомасляной кислоты.
5. По какому механизму 2-гидроксимасляная кислота при нагревании с минеральной кислотой превращается в лактид? Сколько стереоизомерных лактидов образуется в этой реакции из рацемической 2-гидроксимасляной кислоты?
6. Предложите метод синтеза хлорангидрида изомасляной (2-метилпропановой) кислоты. Напишите уравнения реакций этого соединения с: а) водой; б) гидразином; в) диазометаном в эфире; г) азидом натрия. Назовите полученные вещества.
Вариант 7
1. Пропионовую кислоту последовательно обработали: тионилхлоридом, избытком аммиака. Полученное соединение нагрели с Р2О5. Что образовалось? Напишите уравнения реакций, назовите вещества. Какие из этих реакций являются реакциями ацилирования?
2. Бутилцианид последовательно обработали: 1) разб. соляной кислотой при нагревании; 2) этиловым спиртом в присутствии H2SO4 (несколько капель); 3) гидразином. Напишите уравнения реакций. Какие из них относятся к ацилированию?
3. Ацилирование аминов уксусным ангидридом ускоряется добавкой небольших количеств сильных кислот (H2SO4, HСlO4 и др.). Дайте объяснение их влиянию на скорость реакции.
4. Натрийацетанилид, полученный действием на ацетанилид натрия в диоксане, ввели в реакцию с йодистым метилом, а затем нагрели с водным раствором щелочи. Напишите уравнения реакций и назовите конечный продукт.
5. На одну часть хлорангидрида масляной кислоты подействовали двумя частями NH3 и получили соединение А. Другую часть хлорангидрида масляной кислоты ввели в реакцию с эквимолярным количеством NaN3 и получили соединение Б. Затем соединение А подвергли действию брома в растворе NaOH, а соединение Б нагрели в воде. В результате в обоих случаях было получено одно и то же вещество В. Расшифруйте соединения А, Б и В. Приведите механизмы описанных реакций.
6. Хлорангидриды карбоновых кислот получают взаимодействием карбоновых кислот и тионилхлорида. Приведите механизм этой реакции. Какой из реагентов служит в этой реакции ацилирующим средством ?
Вариант 8
1. Напишите уравнения реакций бутанола-2 с уксусным ангидридом, смешанным ангидридом уксусной и трихлоруксусной кислот и трихлоруксусным ангидридом. Расположите указанные ангидриды в ряд по убыванию скоростей реакции ацилирования.
2. Где будет находиться метка18О в двух следующих реакциях гидролиза с участием воды Н218О?

3. На бутирилхлорид последовательно подействовали: а) аммиаком; б) бромом в присутствии щелочи; в) этилацетатом при нагревании. Напишите уравнение реакций и назовите полученные вещества. Какие из этих реакций являются ацилированием?
4. На каждое из приведенных соединений подействовали 1 молем уксусного ангидрида. Что образовалось? Ответ мотивируйте, приведите уравнения реакций.

5. При длительном нагревании карбоновых кислот с гидразингидратом образуются производные 4-амино-1,2,4-триазола:
Каков механизм этого превращения?
6. Что такое реакция переэтерификации? В каких случаях ее применяют? Как получить 2-фенилэтилбензоат – душистое вещество, имеющее розово-медовый запах?

Вариант 9
1. На ацетилхлорид последовательно действуют: формиатом натрия, анилином, йодистым метилом в присутствии основания, разбавленной кислотой при нагревании. Что образуется? Напишите уравнения реакций.
2. Что образуется при взаимодействии диазометана с: а) уксусной кислотой; б) хлорангидридом уксусной кислоты? Напишите механизмы реакций.
3. Ацетанилид может существовать в виде двух пространственных изомеров вследствие затруднения вращения вокруг связи С-N. Нарисуйте эти стереоизомеры и назовите их по E,Z-номенклатуре.
4. Соединение С5Н11N3О2 при кислотном гидролизе дает глицин, аланин и аммиак. Предложите возможные структуры этого соединения и составьте уравнения реакции его гидролиза.
5. Напишите уравнения реакций, протекающих при нагревании с разбавленной щелочью следующих веществ: а) метилацетата; б) N,N-диметилацетамида. Какое из веществ должно вступать в эту реакцию быстрее и почему?
6. Метилантранилат, имеющий запах цветов апельсина и используемый в составе пищевых эссенций, синтезируют из фталевого ангидрида в три стадии. Две из них – реакции ацилирования, еще одна – расщепление амидов по Гофману. Напишите уравнения соответствующих реакций.
Вариант 10
1. Исходя из фенилуксусной кислоты, с помощью реакции Арндта-Эйстерта получите 3-фенилпропановую кислоту. Рассмотрите все стадии реакции с точки зрения их механизма. Какие из них относятся к ацилированию?
2. При кипячении орто-фенилендиамина с муравьиной кислотой образуется бензимидазол:

Напишите постадийно, как протекает циклизация, имея в виду прорабатываемую тему. Почему уксусная кислота в тех же условиях не дает 2-метилбензимидазол, но, если прибавить к смеси конц. соляную кислоту, то 2-метилбензимидазол образуется?
3. Легкость кислотного гидролиза замещенных бензоилхлоридов изменяется в следующей последовательности:

В то же время легкость щелочного гидролиза изменяется в обратном порядке. Дайте объяснение этому явлению.
4. В 1999 г. был описан первый случай превращения амида кислоты в соответствующий хлорангидрид при действии HCl. Ниже приведено уравнение этой реакции. В чем необычность этой реакции и что может быть ее движущей силой?
5. Объясните различную направленность гидролиза:

6. Ди-трет-бутилдикарбонат (Вос2) широко используется в органическом для защиты аминогрупп, в том числе в синтезе полипептидов. Предложите схему синтеза трипептида с использованием Вос2.
Ответы на задачи со звездочкой (*), цифрами обозначены номер варианта и задачи:
10.4. – С. Cox et al., Angew. Chem., Int. Ed., 1999, 38, 798.
Рекомендуемая литература
1. Робертс, Дж. Основы органической химии: учеб. для вузов [Текст] / Дж. Робертс, М. Касерио. – М.: Мир, 1978. – Т. 1. – С. 536–599.
2. Кери, Ф. Углубленный курс органической химии: учеб. для вузов [Текст] / Ф. Кери, Р. Сандберг. – М.: Мир, 1981. – Кн. 1. – С. 300–315.
Данный текст является ознакомительным фрагментом.