Глава 4 Обобщения механики

РЕЛЯТИВИСТСКАЯ МЕХАНИКА

Механика Ньютона, которую мы изложили в 1-й книге, является величайшим достижением человеческого гения. С ее помощью рассчитываются пути планет, траектории ракет, поведение механизмов. Развитие физики в XX веке показало, что законы ньютоновской механики имеют два ограничения: они становятся непригодными, когда речь идет о движении частиц малой массы; они перестают служить нам верой и правдой, когда речь идет о движении тел со скоростями, близкими к скорости света. Для малых частиц механику Ньютона заменяют так называемой волновой механикой, для быстро движущихся тел — релятивистской механикой.

Классическую механику приходится также несколько усложнить, когда мы сталкиваемся с очень большими силами тяготения. Непредставимо огромные поля тяготения, которые командуют поведением некоторых сверхплотных звезд, не разрешают ограничиться теми простыми формулами механики, с которыми читатель познакомился в 1-й книге. Но эти изменения мы оставим в стороне и остановимся на двух важнейших обобщениях, которые приходится делать, когда мы рассматриваем движения микрочастиц и когда изучаются движения со скоростями, близкими к скорости света.

Начнем с релятивистской механики. Путь к этой важной главе физики меньше всего напоминает прямую дорогу. Он не только извилист, но был проложен вроде бы через совсем другие страны. История началась с эфира. Вообще-то говоря, в конце XIX века физики благодушествовали. Учитель Макса Планка не советовал ему посвятить себя физике, ибо наука эта, по сути дела, закончена. Всего лишь два «пустяка» несколько портили вид стройного здания: не ладилось с объяснением излучения черного тела (разобравшись в этой «мелочи», физики пришли к открытию квантов), и потом портил настроение опыт Майкельсона. Этот эксперимент, доказавший что скорость света не складывается со скоростью Земли и одинакова во всех направлениях, заставил задуматься о свойствах эфира.

Мало кто сомневался в существовании некой тонкой материи, колебания которой и представляют собой электромагнитные волны. По прошествии ста лет кажется даже удивительным, что, несмотря на большое число несуразностей, к котором приводила «эфирная гипотеза», подавляющее большинство исследователей, и притом талантливых, незаурядных, шли на любые обходные маневры, вводили бездну дополнительных предположений, лишь бы спасти представление о свете как о движении невидимой субстанции.

Кто представлял себе эфир, как спокойное море, через которое пробираются планеты; кто думал, что эфир может увлекаться, как воздух, движущимися телами. Как ни странно, никто не высказывал, казалось бы, очевидной мысли, что колебания электрического и магнитного векторов происходят в точке, а потому не могут быть объяснены механическими смещениям. Как-то сводились концы с концами, строились теории в которых выводились формально правильные математические выражения (в них фигурировал пресловутый корень квадратный √(1 — (v/c)2), где v — скорость движения тела, а с — скорость света), но трактовались эти формулы неверно. Особенно большие огорчения доставил мыслителям опыт Майкельсона, который был впервые проделан в 1881 г. Используя интерферометр, устройство которого мы описывали в гл. 2, Майкельсон показал, что скорости света вдоль и поперек движения Земли по орбите практически одинаковы.

И этот убийственный для теории существования эфира факт не заставил ведущих физиков отказаться от веры в тончайшую материю, пронизывающую все тела. Считалось, что опыт Майкельсона заставляет нас распроститься с эфирным ветром. Ну, и пожалуйста. Картина мира будет еще краше, если считать эфир неподвижным и признать ньютоново абсолютное пространство, по отношению к которому совершают свой бег небесные тела.

Для объяснения опыта Майкельсона такие крупнейшие физики, как Джозеф Лармор (1857–1942) и Гендрик Антон Лоренц (1853–1928), применили гипотезу сокращения тел в направлении их движения. Однако логические противоречия и искусственность объяснения многих явлений, касающихся электродинамики, продолжали оставлять чувство неудовлетворенности.

Разрубить гордиев узел всех противоречий выпало на долю величайшего физика нашего столетия Альберта Эйнштейна (1879–1955).

АЛЬБЕРТ ЭЙНШТЕЙН (1879–1955) — гениальный ученый, творец теории относительности, революционизировавшей физическое мышление. В 1905 г. Эйнштейн публикует труд, посвященный специальной теории относительности. В 1907 г. им получена формула, связывающая энергию и массу тела. В 1915 г. Эйнштейн публикует общую теорию относительности. Из теории следовали новые законы тяготения и выводы о кривизне пространства.

Теорией относительности не исчерпывается вклад Эйнштейна в физику. Из работы Планка он делает вывод о существовании частицы света — фотона и показывает, каким образом можно с этих позиций объяснить ряд фундаментальных явлений, в том числе и фотоэффект.

Отправной точкой рассуждений Эйнштейна служил принцип относительности. Мало кто сомневался после Галилея, что в отношении механических движений все инерциальные системы равноправны (вернитесь, пожалуйста, к 1-й книге и освежите в памяти все, что было сказано по этому поводу). Получается как-то странно, да и несовершенно с эстетических позиций: для механических движений равноправие, а для электромагнитных его нет.

Откажемся от этой «некрасивой» точки зрения и примем, что принцип относительности верен для всех явлений.

А теперь задумаемся над результатом опыта Майкельсона. Попытки объяснить результат этого эксперимента, рассматривая распространение света в «эфире» наподобие распространения звука в воздухе, также не удовлетворяют Эйнштейна. Он чувствует, что «что-то» здесь не то. Собственно говоря, почему мы обязаны «подравнивать» свет и звук? Из-за того, что и тот и другой способны дифрагировать? Не такой уж сильный довод. Откажемся и от этой точки зрения и примем следующий постулат (на первый взгляд кажущийся диким): скорость света в вакууме одинакова с точки зрения всех наблюдателей, движущихся в разных инерциальных системах. В каком бы направлении ни бежала электромагнитная волна, какое бы тело ни послужило ее источником, земляне и инопланетяне, проживающие в другой галактике (как хочется многим фантазерам верить в их существование), измерят одну и ту же скорость — 299 792 км/с.

Вдоль прямолинейного участка железнодорожного пути катится вагон с неизменной скоростью v. Параллельно дороге идет шоссе. По нему в том же самом направлении, мчится мотоциклист. Инспектор ГАИ, пост которого расположен вблизи железной дороги, свистит вслед нарушителю — он промчался мимо него со скоростью u, куда большей, чем дозволено. Маленький радар, которыми теперь снабжены многие инспекторы, показывает 85 км/ч. Машинист поглядывает на мотоциклиста, который быстро нагоняет, а затем и обгоняет поезд. И этому наблюдателю нетрудно измерить скорость мотоциклиста. Она будет равна u' = 35 км/ч. Мне не надо доказывать читателю, что скорость поезда равна 50 км/ч. Справедлив закон сложения скоростей:

u = v + u'

И вот это, казалось бы сверхочевидное правило не подходит для светового луча. Фотоны движутся с одной и той же скоростью по отношению к двум наблюдателям, находящимся в разных инерциальных системах.

Гений Эйнштейна состоял в том, что он отказался от этого очевидного вывода не только для света, но желая сохранить единый подход ко всем физическим явлениям, как электромагнитным, так и механическим, взял на себя смелость отказаться от закона сложения скоростей для всех тел.

Разумеется, с подобных позиций опыт Майкельсона и объяснять нечего. Раз скорость света универсальна, значит, она будет одинаковой во всех направлениях — и вдоль земной орбиты, и поперек пути обращения Земли вокруг нашего светила.

Из сформулированных принципов сразу же следует что скорость света является максимальной скоростью[1].

Действительно, если скорость света не добавляется к скорости движения источника, значит, обогнать свет невозможно. Эйнштейн в своих воспоминаниях пишет, что еще в 1896 г. у него возник вопрос: «Если бы можно было погнаться за световой волной со скоростью света, то имели бы мы перед собой не зависящие от времени волновое поле? Такое все-таки кажется невозможным».

Итак, ни одно тело, ни одна частица не могут двигаться со скоростью большей, чем скорость света. Вдумайтесь, пожалуйста, в это утверждение. Ввиду его кажущейся парадоксальности повторим еще раз. Если на Земле или иной планете из одного места в другое отправляется в путешествие электромагнитная волна, то скорость распространения этой волны, измеренная земным наблюдателем и наблюдателем, пролетающим над Землей в ракете, движущейся с фантастической скоростью, будет одной и той же. Это же утверждение справедливо и для всякой частицы, движущейся со скоростью, равной скорости электромагнитных волн.

Свет — не исключение в теории Эйнштейна. Ну, а как происходит дело, когда скорость движущегося тела меньше скорости света? Очевидно, что и в этом случае простой принцип сложения скоростей, которым мы всегда так уверенно пользуемся, несправедлив. Но отклонение от обычного правила сложения скоростей начнет чувствоваться лишь тогда, когда скорость тела будет очень и очень велика

Релятивистская механика — таково название механики быстро движущихся тел — приводит к следующему правилу сложения скоростей:

Прикиньте, какими должны быть значения v и v', чтобы понадобились поправки к простому правилу сложения скоростей.

Как Обстоит дело, к примеру, с космическими полетами? Работает ли обычное правило сложения скоростей, когда речь идет о движениях со скоростью в десятки километров в секунду?

Как известно, весьма целесообразным является запуск «вторичной» ракеты с какого-либо космического корабля-ракетоносителя. Возможно, именно таким способом будут отправляться ракеты к окраинам Солнечной системы. Обозначим через v скорость космического корабля по отношению к Земле, через v' — скорость запущенной с него ракеты по отношению к космическому кораблю. Положим обе скорости v и v' равными 10 км/с. Подсчитаем теперь по точной формуле сложения скоростей, чему будет равна скорость ракеты по отношению к Земле. Тогда к единице в знаменателе надо добавлять дробь 102/(9∙1010) ~= 10-9. Поправка совершенно ничтожна, т. е. работает классическое правило сложения скоростей.

Какое же тогда практическое значение имеет релятивистская механика? Дойдем до ответа и на этот вопрос. А пока что потянем следствия из сформулированных гипотез. Поскольку приходится распроститься с принципом сложения скоростей, то мы уже готовы к тому, что придется внести существенные коррективы и в другие формулы механики.

Как подчеркивалось выше, решающую роль в становлении теории относительности сыграл опыт Майкельсона — опыт, которым было доказано, что скорость света вдоль и поперек движения Земли по солнечной орбите одна и та же.

Не будем рассматривать ход лучей в интерферометре Майкельсона. Ограничимся обсуждением более простых событий. Где-то на-Земле создана простенькая установка. На столбе на высоте l от земной поверхности установлен лазер. Его тончайший луч идет вдоль земного радиуса, отражается от положенного на земную поверхность зеркала, возвращается обратно и принимается фотоэлементом, который инженеры умудрились поместить таким образом, что мы вправе считать, что источник и приемник света находятся в одной точке.

На рис. 4.1 она обозначена буквой S.

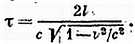
При помощи ультрасовершенного секундомера можно зафиксировать два мгновения: первое, когда свет отправился в путешествие, и второе, когда он пришел к фотоэлементу. Два наблюдателя следят за этим явлением. Один находится тут же рядом с выдуманной нами установкой, а второго художник поместил на далекую звезду. Оба измеряют интервал времени τ между двумя событиями: уходом и возвращением света в точку S. Первый наблюдатель чертит картинку хода луча, проще которой и выдумать нельзя. Он полагает, что пути луча туда и обратно полностью совпадают. В справедливости своего рассуждения он убеждается с помощью равенства τ = 2∙l/с.

Звездный наблюдатель следит за вспышкой отправления света и за его приходом к фотоэлементу. Измеренный им промежуток времени равен τ. И он, чтобы проверить, всё ли правильно, строит картинку хода луча.

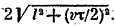
Но для него положения точки S в момент включения секундомера и в момент, когда он заметил реакцию фотоэлемента, не совпадают. Поэтому он строит другую картинку хода луча. Скорость Земли по отношению к себе звездный наблюдатель знает. Так что его чертежик изображает собой равносторонний треугольник, основание которого равно vτ, а высота равняется l. С помощью теоремы Пифагора звездный наблюдатель устанавливаем что путь, пройденный световым лучом, равен  Этот путь равен cτ — ведь скорость света одинакова для всех наблюдателей. Раз так, то промежуток времени между двумя мгновениями будет равен

Что за неожиданный результат! Ведь с точки зрения земного наблюдателя этот же промежуток времени между теми же самыми событиями равен 2∙l/с.

Призовем на помощь логику и сделаем неизбежный вывод: время, которое отсчитывает покоящийся наблюдатель, отличается от времени, которое отсчитывает наблюдатель движущийся.

Время неподвижного наблюдателя называют собственным временем и обозначают τ0. Мы находим, что время наблюдателя, движущегося со скоростью v, связано с собственным временем выражением

То есть движущиеся часы идут медленнее неподвижных. Приняв основные постулаты теории, от этого вывода не спрячешься. А он ведет к такому на первый взгляд странному следствию, как необходимость отказаться от понятия одновременности.

А не получится ли так, что с точки зрения одного наблюдателя Джим выстрелил и Джон после этого упал, убитый пулей, а с точки зрения другого наблюдателя сначала упал убитый Джон, а затем выстрелил Джим? Смею заверить читателя, что релятивистская механика не ведет ни к каким несообразностям. Принцип причинности никогда не будет нарушен. И объяснить это можно было бы вполне популярно, но, к сожалению, объем книжки не позволяет этого сделать.

Но еще несколько слов надо сказать о парадоксе близнецов, который и до сего времени иногда приводят как доказательство несостоятельности теории. Ваня и Петя — близнецы. Петя прощается с Ваней и отправляется в космическое путешествие со скоростью, близкой к скорости света, и через некоторое время возвращается обратно. Петины часы идут медленнее. Поэтому оп вернется на Землю без морщин и седин и встретится со своим братом — дряхлым стариком.

Но организовать встречу, соблюдая те условия, при которых справедливы обсуждаемые нами формулы, к сожалению (или к радости — кому как), не удастся. Ведь для этого Пете надо изменить свою скорость на обратную, и поэтому выводы, относящиеся к инерциальным системам, к этому случаю не относятся.

Относительность времени не есть единственное следствие новой теории. Так же точно, как собственные часы наблюдателя идут быстрее всяких других, так и длина стержня l0, который вы держите в руках, максимальна. С точки зрения любого наблюдателя, который движется со скоростью v вдоль стержня, эта же длина равна l0∙√(1 — β2).

И в выражении для массы появляется все тот же корень. Масса m0 тела, которое наблюдатель «держит в руках», называется массой покоя. Она минимальна. Для движущегося наблюдателя

Вполне естественно, что масса возрастает с увеличением скорости. Действительно, раз у скорости есть предел, то по мере приближения к нему частицу все труднее и труднее ускорить. А ведь это и означает, что масса частицы растет.

С бóльшими скоростями, которые заставляли бы принимать во внимание отличие корня квадратного от единицы, в формулах расстояния и времени долгое время встречаться не приходилось. Лишь недавно удалось подтвердить справедливость формулы для времени.

А вот что касается зависимости массы от скорости, то она была обнаружена для потока электронов еще до появления статьи Эйнштейна. Формула для массы является в полном смысле слова технической формулой. Как мы увидим в следующем параграфе, без нее невозможно рассчитать и сконструировать современный ускоритель частиц. В этих очень дорогих машинах частицы разгоняется столь сильно, что корень квадратный становится куда более близким к нулю, чем к единице.

Формула зависимости массы от скорости была предложена впервые еще до Эйнштейна. До становления релятивистской механики она лишь трактовалась неверно.

Но знаменитое выражение Е = mс2, связывающее массу и энергию, было выведено Эйнштейном. Эта формула так же как и зависимости l, τ и m от скорости, строго следует из постулатов теории.

Умножим массу на квадрат скорости света. Для движущегося тела это будет mс2, а для того же тела в покое m0с2. Составим разность этих двух выражений:

Воспользуемся приближенным равенством, справедливость которого вы можете без труда проверить:

Разность, которую мы вычисляем, имеет вид

mс2 m0с2 = m0v2/2

Как видите, она равняется кинетической энергии тела.

Раздумывая над этим равенством, Эйнштейн пришел к следующему фундаментальному заключению. Энергия движущегося тела может быть представлена выражением

Е = mс2.

Эта энергия складывается из энергии покоя и энергии движения. Не имея никаких сведений о структуре тела, не зная характера взаимодействия его частиц, можно утверждать, что его внутренняя энергия равна

U = m0с2.

Внутренняя энергия тела с массой 1 кг равна 1017 Дж. Такое количество тепла выделилось бы при сгорании 3 миллионов тонн угля. Как мы узнаем ниже, физики научились высвобождать лишь малую часть этой энергии, разрушая атомные ядра или заставляя их сливаться.

Подчеркнем, что уравнение Эйнштейна Е = mс2 относится не только к внутриядерной энергии. Уравнение универсально. Но здесь дело обстоит совершенно так же, как с часами космонавтов. Большей частью соотношение между энергией и массой не может быть проверено. Действительно, если нагреть 1 т молибдена на 1000 К, то масса возрастет на 3 миллионных доли грамма. Только огромная величина внутриядерных сил позволила убедиться в правильности уравнения Е = mс2.

Полезно, пожалуй, предупредить читателя об очень распространенной небрежной формулировке этого замечательного уравнения. Говорят: масса превращается в энергию; или еще хуже: материя превращается в энергию. На самом же деле формула Е = mс2 говорит следующее: какие бы взаимные превращения разных видов материи ни происходили, произошедшему в системе изменению энергии соответствует эквивалентное изменение массы. Энергия и масса являются двумя однозначно связанными характеристиками материи.

ЧАСТИЦЫ, СКОРОСТЬ КОТОРЫХ БЛИЗКА К СВЕТОВОЙ

Желание добраться до элементарных кирпичей, из которых построен мир, старо, как мир. Но долгие столетия этот предмет был подвластен только схоластическим рассуждениям мудрецов. Как только появились реальные возможности разрушать молекулы, атомы, атомные ядра, физики принялись за эту работу с вдохновением и настойчивостью. Работа эта не прекращается и по сей день, и, признаемся, пока что конца ей не видно.

Ясно, что для того, чтобы получить ответ на вопрос, из чего построен мир, надо разрушать частицы. Для этого нужны «снаряды», и чем большей энергией будут они обладать, тем больше надежды раскрыть эту тайну природы.

История производства быстрых частиц началась в 1932 г., когда сотрудники Резерфорда построили установку для получения протонов, которые разгонялись до энергий 500 кэВ. Затем последовали циклотроны, позволившие достигнуть энергий протонов, которые требовалось измерять уже мегаэлектронвольтами (напомним, что мега — миллион). На следующем этапе был изобретен синхротрон, позволивший разгонять протоны до миллиарда электронвольт. Началась эра гигаэлектронвольтов (гига — миллиард). Но теперь уже запроектированы машины, в которых счет пойдет на тысячи миллиардов электронвольт. В частности, физики, собиравшиеся в 1975 г. на международную конференцию (она происходила в Серпухове, где установлена одна из мощнейших машин этого типа), полагали, что надо было бы строить кольцевую машину с диаметром 16 км.

Но у читателя уже вертятся на кончике языка вопросы. В чем принцип действия таких машин? Почему им надо придавать кольцевую форму и, наконец, для чего они нужны?

По сути дела, ускорителем частиц является любой вакуумный прибор, к концам которого подведено высокое напряжение. Кинетическая энергия разогнавшейся до большой скорости частицы равна (впрочем, мы не в первый раз приводим эту формулу, но в этом беды нет: читатель ее тогда наверняка запомнит)

mv2/2 = eU

И рентгеновские, и телевизионные трубки можно назвать ускорителями.

Но на этом принципе особо больших скоростей не получишь. Термин «ускоритель» применяется тогда, когда речь идет о машинах, разгоняющих частицы до скоростей, близких к скорости света. Для этой цели надо заставить частицу проходить последовательно много полей. Сразу же легко сообразить, что линейный ускоритель малоудобен, ибо для того, чтобы получить какие-то жалкие десятки тысяч электронвольт, уже нужны пути, равные многим сантиметрам. Для достижения десяти миллиардов электронвольт нужна длина порядка десятка километров.

Нет, такое лобовое, решение проблемы не годится! В 1936 г. Эрнест Лоуренс (1901–1958) положил начало строительству современных кольцевых ускорителей, которые он назвал циклотронами. В одной установке объединяется ускорение частицы электрическим полем и ее многократное возвращение к ускоряющему промежутку с помощью магнитного поля.

Ускоритель Лоуренса похож на консервную банку, разрезанную на две части по диаметру. К двум половинкам прикладывается быстропеременное напряжение. Заряженное частицы ускоряются в те моменты, когда они проходят расстояния, разделяющие половинки прибора. Внутри «консервной банки» мы заставляем частицы двигаться по окружности, накладывая на прибор магнитное поле; линии индукции которого перпендикулярны ее дну. Как известно, в этом случае заряженная частица описывает окружность радиуса

R = mv/eH

Время одного оборота.

Т = 2π∙m/eH.

Для. того чтобы электрическое поле между двумя половинками машины «подхватывало» частицы, надо подобрать переменное напряжение так, чтобы его знак менялся как раз к тому моменту, когда частица подойдет к промежутку между половниками.

Заряды создаются в центре прибора (скажем, ионизация водорода создает протоны). Первая окружность будет иметь небольшой радиус. Однако каждая следующая окружность будет иметь больший радиус, поскольку, согласно приведенной формуле, он пропорционален скорости движения частицы.

На первый взгляд кажется, что, увеличивая размеры циклотрона, а вместе с этим и радиус кольцевой траектории, мы можем сообщить частице любую энергию. Достигнув желаемой энергии, нам останется лишь с помощью отклоняющей пластинки выпустить пучок, наружу. Дело обстояло бы идеально, если бы не зависимость массы от скорости. Формула Эйнштейна для массы, не имеющая, казалось когда-то, никакого практического значения, становится основной при расчетах кольцевых ускорителей.

Поскольку с возрастанием скорости масса частицы возрастает, то период обращения не остается неизменным, а растет. Частица начинает запаздывать. Она придет к ускоряющему промежутку не в тот момент, когда фаза напряжения изменится на 180°, а позже. По мере возрастания скорости мы придем к такому положению, что электрическое поле не только перестанет подхватывать частицы, но даже будет их тормозить.

Циклотрон позволил разгонять протоны примерно до 20 МэВ. Казалось бы, не так плохо. Но, как я уже сказал, физикам для их работы требуются все более и более мощные приборы. Ясно, что для достижения больших энергий нужно искать новые пути.

Вид формулы для периода обращения частицы подсказывает, какой путь надо избрать. С возрастанием скорости растет масса. Ну что же, значит, для поддержания периода надо увеличивать «в такт» напряженность магнитного поля. Однако это решение просто лишь на первый взгляд. Не надо забывать, что радиус обращения при каждом обороте частицы возрастает. Так что требуется, чтобы синхронное возрастание массы и магнитного поля было бы справедливо для частицы, проходящей последовательно окружности со все возрастающими радиусами. Внимательно поразобравшись в этой взаимосвязи величин, мы выясним, что найдутся такие «удачные» частицы, для которых, при некотором заданном темпе нарастания напряженности магнитного поля, это условие будет выполнено. А главное, окажется, что произойдет своеобразная автофазировка. Частица, у которой энергия больше, чем надо для радиуса ее обращения, будет замедляться из-за излишнего прироста массы; напротив, нехватка энергии приведет к ускорению.

Самыми простыми вычислениями, с помощью формул радиуса и периода обращения частицы, читатель может самостоятельно, убедиться, что именно так будет обстоять дело (задайте, темп увеличения напряженности магнитного поля, вычисляйте траектории частиц, постройте график — и вы почувствуете принцип автофазировки). А можете поверить мне на слово, что таким способом можно в принципе увеличивать скорость частиц до предела. Придется только использовать для ускорения импульсный метод. При возрастании напряженности поля установка работает. Обратный ход является холостым. Но мы не будем задерживаться на этом методе. Он является также пройденным этапом. Если сохранить этот принцип, то для создания современных ускорителей потребовалось бы изготовлять магниты массой в миллионы (!) тонн.

Современные кольцевые ускорители, называемые синхрофазотронами, осуществляют ускорение частиц, на одной орбите. Поэтому вся центральная часть магнита как бы вырезается. Работа в этих машинах также происходит импульсным методом. Согласованно меняют как напряженность магнитного поля, так и период электрического поля. Удачные частицы будут набирать скорость, двигаясь по строго кольцевой орбите. Менее удачные будут колебаться около хорошей орбиты, но все же будут набирать скорость.

В принципе ускорение можно довести до фантастических величин. Можно достичь скорости протонов, еле заметно отличающейся от скорости света.

Нам остается ответить на вопрос, зачем нужны такие машины. Ускоритель строят для того, чтобы разобраться в физике элементарных частиц. Чем выше энергия заряженных частиц, используемых как снаряды, бомбардирующие мишени, тем больше шансов найти законы взаимного превращения элементарных частиц.

Вообще-то говоря, мир построен всего лишь из трех частиц: электронов, протонов и нейтронов. Электрон пока что нет оснований считать составной частицей. Что же касается протонов и нейтронов, то они могут быть расщеплены на части. При разных столкновениях между «осколками» возникают новые частицы. Сегодня их насчитывается что-то около 250, и вся беда в том, что это число непрерывно растет по мере того, как возрастают мощности ускорителей. Специалисты в области физики элементарных частиц не теряют надежды найти что-то вроде системы Менделеева для элементарных частиц и свести их к небольшому числу, если так можно выразиться, «проточастиц», — удалось же сотню элементов и несколько сот их изотопов свести к комбинациям электронов, протонов и нейтронов.

Читатель вправе полюбопытствовать, какой же тогда смысл мы вкладывали во фразу: мир построен из трех частиц? Дело заключается в следующем. Совершенно устойчивыми частицами являются только протон и электрон. Нейтрон не вполне устойчив, если слово «устойчив» понимать житейски. Но время его жизни в мире частиц огромно: оно равно примерно 103 с. Что же касается множества остальных элементарных частиц, которые доставляют столько забот теоретикам, то их сроки жизни меньше 10-6 с. Разумеется, два последних числа не идут ни в какое сравнение.

Но тем не менее хочется привести в систему и эти короткоживущие обломки материи. Для элементарных частиц предлагалось много таких систем. Но как только на сцену выходил более мощный ускоритель, с его помощью обнаруживались новые явления, которые не укладывались в принятую схему.

В момент, когда пишутся эти строки, специалисты настроены оптимистически. Всю систему элементарных частиц удается как будто бы свести к «проточастицам», которые получили название кварков. Беда в том, что кварки, в отличие от электронов и протонов, не наблюдались и, вероятно, не могут наблюдаться в принципе. Чтобы создать «систему Менделеева» для элементарных частиц, кварку приходится придать электрический заряд, равный либо одной трети, либо двум третям заряда электрона, и приписать два дополнительных параметра, которым нельзя сопоставить какой бы то ни было образ. Эти параметры носят названия «странность» и «шарм»[2].

Автор этой книги не собирается останавливаться на проблемах, связанных с элементарными частицами. Он не делает этого не потому, что трудно популярно объяснить существующие схемы, а по той причине, что еще рано быть уверенными в их шарме и красоте. Не исключено, что появятся совсем новые идеи касательно элементарных частиц, совсем новые принципы подхода к этим крошечным участкам Вселенной, измеряемым (в сантиметрах) единицей, поделенной на единицу с тринадцатью нулями.

ВОЛНОВАЯ МЕХАНИКА

В 1923 г. в работе исключительной смелости и гениальной простоты французский физик Луи де Бройль писал: «В оптике в течение столетий слишком пренебрегали корпускулярным способом рассмотрения по сравнению с волновым. Не делалась ли в теории микрочастиц обратная ошибка?» В этой работе де Бройль указал путь, следуя которому можно было связать с частицами волновые представления.

Его работу продолжает и завершает замечательный немецкий физик Эрвин Шредингер. А несколько позже, к 1926–1927 гг., становится ясным, что волновая механика и квантовая механика — по сути дела равнозначные термины. Эта новая механика представляет собой важнейший раздел физики, который учит нас, как рассматривать поведение микрочастиц в тех случаях, когда ни корпускулярный аспект, ни волновой недостаточны для трактовки событий.

Мы предупреждали читателя, что не следует слишком буквально понимать выражение «электромагнитная волна». И радиоизлучение, и свет, и рентгеновские лучи могут быть рассмотрены в двух аспектах: волновом и корпускулярном. Совершенно такое же утверждение справедливо и для потоков частиц. Хотя потоки частиц имеют четкие отличия от электромагнитного излучения (главное из них, то, что электроны, ядра, нейтроны и ионы могут двигаться с любыми скоростями, а фотоны — только со скоростью 300 000 км/с), этот вид: материи также выявляет в различных экспериментах то свойства волны, то свойства корпускул.

Какова же длина волны, которую надо приписать движущейся частице? С помощью рассуждений, которые в несколько упрощенном виде мы сейчас изложим, де Бройль показывает (вернее сказать, догадывается), чему должна быть равна длина волны, связанная с потоком частиц.

Обратимся к основным соотношениям, которые связывают корпускулярный аспект электромагнитного излучения с волновым. Порция энергии электромагнитного излучения, которую несет с собой фотон, выражается формулой E = hv. Энергия фотона, как и любой другой порции материи, подчиняется уравнению Эйнштейна. Таким образом, энергия фотона может быть представлена и формулой Еmc2. Отсюда следует, что масса фотона[3] m = hv/c2. Умножая массу на скорость, мы получим значение импульса фотона:

p = hv/c = h/λ

Но нас интересует длина волны частицы, масса покоя которой отлична от нуля. Как догадаться, чему она равна? Допустить, что все приведенное рассуждение остается в силе; принять, что соотношение между импульсом и длиной волны является универсальным! Остается переписать это выражение в виде

λ = h/mv

Это и есть знаменитая формула де Бройля. Она показывает, что волновой аспект потока частиц должен проявляться особенно отчетливо, когда невелики масса и скорость частицы. Это и подтверждается опытом, ибо дифракцию частиц, оказывается, легко наблюдать в случае электронов и медленных нейтронов.

Проверка справедливости только что приведенного рассуждения, которое, кстати говоря, в свое время воспринималось как игра понятиями, вполне прямолинейна. Надо снять с одного и того же вещества рентгенограмму, электронограмму и нейтронограмму. Подогнав скорости частиц таким образом, чтобы длины волн были одинаковы во всех случаях, мы должны получить тождественные (в отношении радиусов колец) дебаеграммы. Так оно и оказывается.

В 1927 г. случайно осуществилась первая проверка формулы де Бройля. Американские физики Дэвиссон и Джермер производили опыты по рассеянию электронов на поверхности металлов, и при работе с прибором им случилось накалить объект. Объект был поликристаллическим, а после нагрева перекристаллизовался, теперь лучи рассеивались монокристаллом. Полученная картина была столь похожа на соответствующие рентгенограммы, что не было никакого сомнения в том, что электроны обладают способностью дифрагировать, как и рентгеновские лучи.

Достаточно скоро наблюдение электронной дифракции превратилось в метод исследования строения вещества, который во многих случаях оказывался более пригодным, чем рентгеноструктурный анализ. Основная область применения электронографии — это изучение структуры тонких пленок. Принципы ничем не отличаются от тех, которые мы обсуждали в гл. 3. Различие состоит в том, что электронные лучи рассеиваются электронами и ядрами, в то время как рентгеновские лучи рассеиваются только электронами.

Так как длина волны частицы обратно пропорциональна массе, то понятно, что дифракцию молекул наблюдать трудно. Во всяком случае до сих пор этого, сделано не было. Дифракцию протонов наблюдать можно, но она не представляет какого-либо интереса: для исследования объемной структуры протоны не годятся из-за малой проникающей способности, а для изучения поверхности лучше применять дифракцию электронов — она дает несравненно более богатую информацию о структуре.

Иначе обстоит дело с нейтронами. Исследование дифракции этих частиц стало предметом занятия многих ученых. Эта область науки получила название нейтронографии.

Получить нейтронограмму технически много труднее, чем рентгенограмму. Прежде всего, достаточно сильный пучок нейтронов подходящей длины волны (а длина волны регулируется скоростью нейтронов) можно создать лишь выводом этих частиц через специальный канал в атомном реакторе. Вторая трудность состоит в том, что рассеяние нейтронов невелико; они ведь легко проходят через вещество, не сталкиваясь с ядрами его атомов. Поэтому нужно работать с крупными кристаллами; размером порядка сантиметра. А такие кристаллы не так легко получить. И, наконец, третье обстоятельство: нейтроны не оставляют следа на фотопластинке, а в ионизационных приборах дают о себе знать лишь косвенно. Несколько слов о том, как считают нейтроны, мы скажем ниже.

Так почему все-таки исследователи занимаются нейтронографией? Дело заключается в том, что нейтроны, в отличие от рентгеновских лучей, не рассеиваются электродами, а отклоняются от своего пути при встречах с атомными ядрами. Можно привести много примеров веществ, атомы которых по числу электронов отличаются незначительно, а по свойствам ядер — резко. В подобных случаях рентгеновские лучи не различат атомов, а нейтронография приведет к успеху. А, пожалуй, самое главное обстоятельство — это то, что нейтроны сильно рассеиваются ядрами атомов водорода в то время как рентгеновские лучи способны установить расположение атомов водорода лишь с трудом: ведь у атома водорода всего лишь один электрон. А знать расположение этого атома очень важно. В огромном числе органических и биологических систем атом водорода связывает между собой части одной молекулы или соседние молекулы. Эта особая связь так и называется «водородной». Также вне конкуренции находится возможность нейтронографии отличать атомные ядра, обладающие различными магнитными свойствами. Всех этих причин достаточно для того, чтобы сделать нейтронографию важным методом исследования строения вещества.

ПРИНЦИП ГЕЙЗЕНБЕРГА

С тем, что свет и частицы обладают одновременно и волновыми, и корпускулярными свойствами, многие физики долгое время не могли примириться. Им казалось, что в этом дуализме содержится нечто, противоречащее теории познания. В особенности нетерпимым казался этим ученым принцип Гейзенберга.

Это важнейшее положение физики микромира устанавливает границы пригодности корпускулярного аспекта любых явлений, связанных с движением частиц вещества. Принцип Гейзенберга записывается в следующей форме;

Δx∙Δv > h/m

Здесь Δx и Δv — «размытость» нашего знания соответственно координаты и скорости движения (в направлении той же оси координат) сгустка материи, который мы рассматриваем в корпускулярном аспекте. Короче, Δx и Δv — это неопределенность в знании координаты и скорости частицы.

Необходимо подчеркнуть, что речь идет не о технических трудностях измерения. Приведенное соотношение связывает неопределенности, которые не удастся устранить в самом идеальном эксперименте. Сейчас лишь исторический интерес представляют различного рода схемы, которые предлагались для абсолютно точного измерения траектории и скорости движения частиц. Внимательным рассмотрением всегда можно было обнаружить принципиальный дефект схемы.

Попытаемся хотя бы несколькими словами пояснить, почему эксперимент не может дать большей точности, чем позволяет принцип Гейзенберга. Положим, что речь идет об определении положения частицы в пространстве. Чтобы узнать, где она находится, ее надо осветить. Как уже говорилось ранее, возможности различения деталей определяются длиной волны используемого излучения. Чем длина волны меньше, тем лучше. Но, уменьшая длину волны, мы увеличиваем частоту света, а значит, увеличиваем энергию фотона. Удар, который испытает рассматриваемая частица, лишит нас возможности вынести суждение о той скорости, которую она имела при встрече с фотоном.

Или еще один классический пример. Мы ставим на пути электрона узкую щель. Пролетев через щель, электрон падает на экран. Видна вспышка. Таким образом с точностью до ширины щели установлено местоположение электрона в момент, когда он проходил через отверстие. Погонимся за точностью. Для этой цели будем уменьшать размеры щели. Но тогда волновые свойства электрона начнут сказываться более резко (см. с. 49). Электрон может все дальше и дальше отклоняться от прямого пути. А это значит, что мы все в большей степени будем терять сведения о компоненте его скорости в направлении плоскости, в которой проделана щель.

Таких примеров можно придумать десятки, можно рассмотреть их количественно (что и делали физики в 30-х годах), и каждый раз будем приходить к приведенной выше формуле.

Обсудим оценки Δx и Δv, которые можно сделать в отношении частиц разной массы, пользуясь неравенством Гейзенберга.

Допустим, речь идет об электроне, принадлежащем атому. Можно поставить такой опыт, который установил бы, в каком месте находится электрон в данное мгновение? Поскольку размеры атома порядка 10-8 см, то это значит, что желательна точность, скажем, 10-9 см. Что же, в принципе (только в принципе) такой опыт осуществим. Но оценим с помощью неравенства потерю информации об этом электроне. Для электрона h/m примерно равно 7 см2/с, и для него принцип Гейзенберга запишется так: Δx∙Δv > 7. Итак, Δv > 7∙109 см/с, что совершенно бессмысленно, т. е. о скорости электрона ничего нельзя сказать.

Ну, а если попытаться узнать, скорость атомного электрона поточнее? И для этой цели можно придумать принципиально осуществимый эксперимент. Но тогда будет полностью потеряно знание о месте, где электрон находится.

Неравенство, примененное к атомному электрону, показывает, что корпускулярный аспект в этом случае не работает. Понятие траектории электрона лишено смысла, о путях перехода электрона с одного энергетического уровня на другой также сказать ничего нельзя.

Картина меняется в том случае, когда мы интересуемся движением электрона в ионизационных камерах. Трек, оставленный электроном, может быть зримым. Значит, есть у него траектория? Имеется! А как же связать это с предыдущим расчетом? И не надо связывать. Теперь все рассуждения надо провести заново. Толщина трека порядка 10-2 см. Следовательно, неопределенность в значении скорости даже для медленного электрона, который пролетает через камеру со скоростью около 1 км/с, практически пренебрежима по сравнению с этой величиной — она равна 7 м/с.

Эти числовые примеры показывают нам, что корпускулярный аспект начинает исчезать по мере того, как мы «приглядываемся» — стараемся разглядеть порцию материи подетальней.

О протонах и нейтронах можно весьма часто говорить как о частицах. Но если речь идет об их поведении внутри атомного ядра, которое имеет размер 10-13 см, то корпускулярный аспект не проглядывается.

Нетрудно также прикинуть, что в крупной молекуле с молекулярной массой порядка миллиона можно спокойно говорить как о горошинке. Такая молекула ведет себя как «честная» частица. Можно даже начертить траекторию ее теплового хаотического движения.

Давно прошло время, когда волново-корпускулярный дуализм воспринимался как нечто странное, нуждающееся в глубоком истолковании. Маститые ученые, даже такие, как Эйнштейн и Бор, яростно спорили о том, как надо трактовать столь «странное» поведение электронов и других частиц. В настоящее время подавляющее большинство естествоиспытателей не видит ничего особенного в использовании двух аспектов при описании различных явлений, в которых принимают участие электроны, ядра или фотоны.

Лет десять назад группа науковедов проводила анкетный опрос среди большой (около десяти тысяч человек) группы физиков. В числе прочих был задан вопрос: считает ли опрашиваемый, что проблема двух аспектов материи представляет интерес и не может считаться выясненной до конца? Только двадцать человек ответили, что они полагают, что неравенство Гейзенберга и прилегающие к нему проблемы, не являются истиной в последней инстанции.

Трудность примирения с этим важным законом природы объяснялась, видимо, логической ошибкой, лежащей в основе протеста, который формулировался так: «Не могу согласиться с тем, что поведение частички материи является непредсказуемым». Порочность фразы состоит в том, что о порции материи ведется речь как о частичке в обычном житейском понимании этого слова. На самом же деле порция материи идет ли речь о свете, микроволнах, электроне или ядре — вовсе не похожа на горошинку. Невозможно зрительно представить себе частицу материи. С этим ведь согласится каждый! Достаточно напомнить, что к электрону или протону неприменимы понятия цвета, твердости, температуры… Все эти свойства принадлежат лишь макроскопическим телам. Но если нельзя себе представить порцию материи, то тем более невозможно представить себе ее движение. Движение порции материи совмещает в себе два аспекта, волновой и корпускулярный. Поэтому непредсказуемым является лишь поведение одного из ее аспектов!

Квантовая механика (волновая механика; повторим еще раз, что это синонимы) дает нам сводку четких правил, с помощью которых мы можем предсказывать поведение порций материи. Описание частиц методами квантовой механики исчерпывающим образом отображает закономерности микромира. С ее помощью мы безошибочно предсказываем события; заставляем ее служить практике.

Конечно, это не означает, что в дальнейшем не будут открыты более общие законы природы, частным следствием которых станет современная квантовая механика, наподобие того как это произошло с механикой Ньютона. Эти общие законы должны быть пригодными для описания поведения частиц малой массы, движущихся с большими скоростями. Мы ждем с нетерпением — и надо признаться, ждем уже давно — создания теории, объединяющей все «механики» в одно целое. Для этой — увы, несозданной — теории даже имеется название: релятивистская квантовая механика.

Представляется удивительным, что каскад открытий, сделанных в первой четверти XX века, неожиданно приостановился. Читателю может показаться это утверждение странным. Но факт остается фактом. Несмотря на фантастический прогресс прикладных наук, несмотря на то, что за две последующие четверти столетия шла и идет высоким темпом научно-техническая революция, — несмотря на это, новых законов природы после открытия квантовой механики найдено не было… Придется подождать.

Более 800 000 книг и аудиокниг! 📚

Получи 2 месяца Литрес Подписки в подарок и наслаждайся неограниченным чтением

ПОЛУЧИТЬ ПОДАРОК