ГЛАВА 1 СОЗДАТЕЛЬ АРИФМЕТИЧЕСКОЙ МАШИНЫ
С давних времен человек пользовался математикой, чтобы считать и вычислять. По мере того как процесс вычисления становился все более сложным, появилась необходимость в том, чтобы упростить его и сделать более эффективным. Так, например, возникли счеты и логарифмические линейки. А в XVII веке появился ряд механических машин, которые улучшали скорость и точность математических операций, — такие как арифмометр Лейбница.
Родители маленьких детей, как правило, склонны «мучить» гостей историями о своих отпрысках, стремясь продемонстрировать их ум, смекалку, воображение и даже гениальность. Со временем такие истории становятся годны только для того, чтобы на любой встрече родственников или друзей заставить покраснеть от стыда бывшего «гениального» ребенка.
Однако, если человек в какой-либо сфере деятельности добился выдающихся результатов, то подобные детские истории становятся частью его общеизвестной биографии: они служат доказательством того, что он был вундеркиндом, и в большинстве случаев так оно и есть. Самым известным примером из мира математики стал немецкий ученый Карл Фридрих Гаусс. В 1787 году, когда ему было только десять лет, он решил сложную задачу, предложенную в классе. Его учитель попросил сложить первые 100 натуральных чисел. Гаусс представил решение на своей доске за несколько секунд.
Его метод был следующим. Гаусс понял, что если написать числа в порядке от 1 до 100, а внизу снова от 100 до 1, то при сложении каждого верхнего и нижнего элемента всегда получается 101:
1 2 3 4 97 98 99 100
100 99 98 97 4 3 2 1
Поскольку есть 100 слагаемых, сумма этих двух рядов чисел равна 10100, а так как у нас два ряда, получается, что сумма первых 100 чисел равна:
(100 • 101)/2 = 5050
Гаусс понял, что первое число (1) и последнее (100) в сумме дают то же значение (101), что и второе и предпоследнее, и можно без проблем продолжить это рассуждение, то есть 1 + + 100 = 2 + 99 = 3 + 98 =...= 50 + 51 = 101. Таким образом, получается 50 пар чисел. Если каждая пара равна 101, то сумма всех пар — 5050.
Как мы увидим в следующей главе, сложение больших рядов чисел очень интересовало математиков XVII века.
Хотя истории о детстве Лейбница нельзя назвать столь впечатляющими, некоторые авторы тоже считают его вундеркиндом. В возрасте двух лет, когда с ним осталась тетя, мальчик забрался на высокий стол и, внезапно потеряв равновесие, упал со значительной высоты. Оказавшись внизу, маленький Лейбниц сидел на полу совершенно невредимый и смеялся над случившимся. Из этого его отец сделал вывод, что ребенок защищен небесами, и немедленно послал гонца в церковь, чтобы выразить благодарность высшим силам.
РОЖДЕНИЕ ГЕНИЯ
Готфрид Вильгельм Лейбниц родился 1 июля 1646 года в немецком городе Лейпциге, в курфюршестве Саксонии, одном из главных торговых центров Европы начиная с XII века. Этот город был знаменит тем, что в нем находилось большое количество типографий, благодаря чему в XVIII веке он даже мог конкурировать с Франкфуртом в искусстве печатного дела, и, следовательно, достать здесь хорошие книги не представляло особого труда.
Начиная с эпохи Возрождения Лейпциг был важным центром образования и науки, в городе проходила интенсивная культурная жизнь. Местный университет, основанный в 1409 году, считается вторым — после Гейдельбергского — самым древним вузом Германии. В момент рождения Лейбница его отец, Фридрих Лейбниц, был заместителем декана факультета философии и, кроме того, преподавал философию морали (этику) в университете. Также он работал делопроизводителем, адвокатом и нотариусом. Фридрих Лейбниц был родом из Альтенбурга, небольшого населенного пункта примерно в 40 км от Лейпцига. Его мать, Анна Деверлин (бабушка Готфрида), принадлежала к лейпцигской знати.
ВЕЛИКИЙ САМОУЧКА
С 1653 по 1661 годы Готфрид Вильгельм получал среднее образование в школе Святого Фомы в Лейпциге. В эти годы он удовлетворял жажду знаний в библиотеке отца и самостоятельно выучил латынь, читая произведения классиков и труды Отцов Церкви. В возрасте 12 лет Лейбниц уже владел латынью и с запинками говорил на греческом языке, который он пару лет изучал в школе.
В последние школьные годы Готфрид открыл для себя аристотелеву логику и овладел ею до такой степени, что смог применять правила к частным случаям,— его одноклассники не могли это делать. Именно благодаря этому умению расцвел огромный талант Лейбница-изобретателя, и, открыв границы формальной логики, Готфрид увлекся новыми идеями, приходившими ему в голову. Он погрузился в изучение теологии и метафизики, проблемы которых сопровождали ученого на протяжении всей его деятельности. Особенно он интересовался великими полемистами — как католиками, так и протестантами.
В 1661 году Лейбниц начал свою учебу в Лейпцигском университете, сосредоточившись на философии, особенно на Аристотеле, параллельно изучая Евклида. До этого времени он не сталкивался с тем, что сегодня мы называем наукой.
Философию ему преподавал Якоб Томазий, исповедовавший научный подход к исследованию истории философии. Лейбниц уважал его всю свою жизнь. Томазий руководил работой Лейбница на соискание степени бакалавра философии, которую тот получил в 1663 году. Его эссе под названием «Метафизические рассуждения о принципе индивидуации» заложило основы для дальнейших философских поисков ученого.
Хотя Лейбниц приобщался к миру философии посредством общепризнанных классиков, тем не менее он прикоснулся и к новой философии, как он сам об этом вспоминал за несколько лет до смерти в письме Николя Ремону, первому министру герцога Орлеанского:
«Будучи еще ребенком, я изучал Аристотеля и самих схоластов [...]. Затем, уже свободный от тривиальной схоластической философии, я перешел к современным философам. Помню, как я в возрасте 15 лет гулял один в Розентальском лесу рядом с Лейпцигом и размышлял, не остановиться ли мне на материальном. В конце концов победил механицизм, и это привело меня к занятию математикой».
Итак, интерес Лейбница к механицизму заставил его уделять больше внимания математике. Он провел один семестр 1663 года в Йенском университете, где общался с Эрхардом Вейгелем, признанным преподавателем математики, а также знатоком этики и сторонником естественного права. За несколько лет до этого Вейгель опубликовал работу, в которой пытался примирить Аристотеля с современными философами, такими как Фрэнсис Бэкон (1561-1626), Томас Гоббс (1588— 1679) или Пьер Гассенди (1592-1655), то есть с теми, чьи философские взгляды были тесно связаны с математикой.
В Лейпциге Лейбниц обычно ходил на встречи с другими студентами, чтобы обмениваться идеями и обсуждать книги. Находясь в Йене, он стал членом общества Societas Quarentium, которое проводило еженедельные собрания под руководством Вейгеля. В течение всей свой жизни Лейбниц поддерживал и продвигал подобные научные общества по всей Европе.
ПУТЬ К ДОКТОРСКОЙ СТЕПЕНИ
Лейбниц вернулся в Лейпциг, чтобы изучать право, и в феврале 1664 года стал магистром философии, написав работу «Философские вопросы права». В ней он утверждал, что без философии большинство вопросов, поставленных в области права, не имеют решений. Кроме того, Лейбниц хотел способствовать тому, чтобы студенты, изучающие право, перестали испытывать презрение к философии.
Через девять дней после защиты этой работы умерла его мать. Готфрид разделил наследство с сестрой и тетей, которая была замужем за широко известным в то время юристом Иоганном Штраухом. Последний разглядел незаурядные способности юноши и поддержал его, предоставив ему законодательные документы. Это помогло Лейбницу в подготовке его диссертации «Об условиях», с помощью которой он получил степень бакалавра права. В этой работе ученый рассматривает юридические аспекты через призму математики и физики. Он формулирует закон, подчиненный условию, и изучает различные случаи. Если условие невозможно, то закон является нулевым и ему присваивается значение 0. Если не ясно, может ли оно осуществиться, то закон считается условным и с ним связывается дробь от 0 до 1, допустим 1/2. Если, наоборот, условие обязательно выполняется, то оно определяется как непременное условие, закон точен, и ему назначается значение 1. Значения данного закона приведены в следующей таблице.
В вышесказанном легко найти связь с вычислением вероятностей. Вообще математика и другие науки будут постоянно присутствовать в философских трудах Лейбница.
В 1666 году Готфриду отказали в получении степени доктора права из-за того, что он был слишком молод: докторская степень способствовала назначению доцентом, а на получение этого ученого звания рассчитывало много кандидатов более старшего возраста, претендовавших на двенадцать свободных мест. В октябре 1666 года Лейбниц отправился в Альтдорфский университет, где представил свою работу, написанную в Лейпциге («О запутанных судебных случаях»), а через пять месяцев уже получил степень доктора. Он отказался от предложения остаться в университете, поскольку не хотел запирать себя в его стенах.
Здесь стоит упомянуть некоторые аспекты университетского обучения той эпохи. Сегодня появляется все больше новых образовательных программ с узкой специализацией, где каждый может найти для себя область по душе, если это позволяют итоговые оценки. Но в XVII веке возможности ученых были куда более скромными. В эпоху Возрождения признавались и преподавались в университетах лишь несколько наук: теология, философия, право и медицина. Поэтому интеллектуалы того времени поступали на факультеты медицины, поскольку именно она была наиболее близка к их интересам и в данной сфере они могли получить самое лучшее по тем меркам научное образование. Так как Лейбниц, несмотря на его интерес к метафизике и математике, изучал право, его познания в области физики нельзя было назвать блестящими: он убедился в этом, как только начал общаться с образованными людьми из других стран.
ФИЛОСОФСКИЕ КОМБИНАЦИИ
Хотя в этой книге мы преимущественно собираемся осветить деятельность Лейбница в сфере точных наук, мы не можем полностью оставить в стороне его философские взгляды.
РАЙМУНД ЛУЛЛИЙ
Раймунд Луллий, или Рамон Льюль, (ок. 1232-1315) — майоркский философ, теолог, мистик и миссионер. Он считается изобретателем розы ветров и прибора для определения времени по положению звезд на ночном небе под названием ноктурлабиум. Когда Луллий родился, Майорка была только что присоединена к Королевству Арагон правителем Хайме I. В это время на острове без проблем соседствовали представители трех великих цивилизаций — христианской, еврейской и арабской,— так что Луллий вырос в обстановке терпимости к чужим взглядам и имел возможность обогатиться культурно. Он занимал разные должности при Арагонском дворе, в частности был мажордомом и сенешалем будущего короля Хайме II Майоркского. В 30 лет Луллий оставил должность и семью, чтобы проповедовать на дорогах, изучая теологию и арабский язык. Позже он закрылся в монастыре с целью изучать латынь, грамматику и философию. У него были три навязчивые идеи: крестовый поход в Святую Землю, обращение неверных и разработка метода рационального доказательства истин веры.

Францисканский орден
В 1295 году Луллий вступил во францисканский орден, стремясь обрести знания, недоступные для светского человека. Он практически безуспешно проповедовал у дверей мечетей и синагог, а также присутствовал на Вьеннском соборе, созванном в 1308 году папой Климентом V. Далее Луллий отправился миссионером в Африку, где ему пришлось пережить немало неприятностей. Умер он на площади в Тунисе в 1315 году, будучи побит камнями толпой мусульман, и после смерти был причислен к лику святых. Луллий написал много книг на самые разнообразные темы, такие как грамматика, образование, наука и философия.
Дело в том, что первые в его работах довольно тесно переплетаются со вторыми: ученый использует в своих философских рассуждениях и математические, и физические аспекты. Не стоит забывать, что Лейбниц решил заниматься механистической философией, неотъемлемой частью которой является наука.
Одним из философов, повлиявших на Лейбница в молодости, был Раймунд Луллий. Разберем некоторые нюансы его работы, которые помогут нам составить представление о том, как развивалась его философия. Но сначала рассмотрим появляющийся в ней математический аспект.
Мы можем считать комбинаторику частью математики, изучающей форму, в которой можно выбирать, группировать и располагать ряд объектов. Комбинаторика присутствует во многих ситуациях нашей жизни. Когда группа друзей или коллег задумывает на Рождество подарок «скрытому другу» — это перестановка порядка выбирающих людей. Три книги, выбираемые нами наугад, чтобы взять с собой в отпуск, — это одно сочетание среди многих возможных. В олимпийском беге, в котором участвуют восемь атлетов, способ нахождения призеров — размещение этих спортсменов, среди которых мы выбираем трех.
Как мы видим из предыдущих примеров, в перестановках мы выбираем все элементы и располагаем их в ином порядке. Чтобы найти количество возможных комбинаций, достаточно найти факториал этой величины. Факториал натурального числа п (который обозначается п) — это произведение натуральных чисел от 1 до этого числа:
n! = n(n-1)(n-2) • ... • 3 • 2 • 1.
Например, если у нас есть пять книг, которые мы располагаем на полке, не устанавливая никакого конкретного порядка, количество способов это сделать будет равно:
5! = 5 • 4 • 3 • 2 • 1 = 120 различных расположений.
Достаточно представить, что на первом месте может оказаться любая из пяти книг. Для каждого из этих пяти вариантов на второе место мы можем поместить любую из четырех оставшихся книг, на следующее — любую из трех оставшихся, и так до последнего места, для которого есть только один вариант, поскольку остается только одна книга.
Случай с размещениями похож на предыдущий: важен порядок, в котором выбираются элементы. Но выбираются не все из них, поэтому для их нахождения нам не нужно доходить до 1 в конечном произведении. Предположим, что нам нужно разместить на полке только две книги из пяти имеющихся. Если мы осуществим рассуждение, подобное предыдущему, число возможных выборов будет равно 5 х 4 = 20. В целом количество размещений п элементов, из которых мы берем только г, задано выражением:
Vrn = n(n-1) • ... • (n-r+1),
где количество множителей равно r, начиная с n.
Наконец, в сочетаниях нас не интересует порядок, мы только хотим знать, сколько существует различных вариантов выбора подмножеств из множества заданных объектов. Допустим, у нас есть набор монет, в котором присутствует только одна монета каждого номинала от 1 евроцента до 2 евро. Если нам дадут три монеты, нас не будет интересовать порядок, в котором они у нас появятся; как известно, от перестановки слагаемых сумма не меняется.
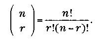
Чтобы найти количество сочетаний п объектов, взятых по г, мы пользуемся таким выражением:

Следующее выражение соответствует частному между факториалами, называемому числом сочетаний:

Итак, если бы мы хотели вычислить, сколько групп из 3 книг мы можем выбрать из возможных 15, нам пришлось бы вычислять число сочетаний 15 элементов взятых по 3, что дало бы:

Но комбинаторика почти с начала времен используется не только в математике, как можно было бы подумать, но и во многих других дисциплинах. Упоминания о перестановках встречаются в древних ассирийских текстах или в греческих источниках. В иудейских документах утверждается, что буквы алфавита расставлены мистическим образом и, если правильно скомбинировать символы и знаки, можно получить любое создание. В самом Талмуде говорится, что с помощью перестановки букв, которым приписывается числовое значение, можно воспроизвести структуру мира. Каббала, которая может быть рассмотрена как система взглядов, раскрывающая аспекты, связанные с человеком, причиной его существования, его предназначением в жизни и так далее, — это наука о числах. В ней раскрывается, помимо прочего, тайный смысл слов, для чего используются три метода: гематрия (наука о числовом значении букв), нотарикон (наука о первой, срединной и последней буквах слов) и темура (наука о перестановке и сочетании букв). Нечто подобное существует и в арабской культуре, где на основе 28 букв, составляющих алфавит, каждая из которых символизирует целое число, открывается бесконечное количество сочетаний.
ARS MAGNA
Целью Раймунда Луллия было найти методы для обращения в христианство евреев и арабов, поэтому он подробно изучал их основные воззрения. Следовательно, на его философию повлияли обе эти культуры. Не углубляясь в детальное изучение его работы, упомянем аспекты, связанные с вычислением, оказавшие влияние на Лейбница.
Ars magna («Великое искусство»), работа Луллия, опубликованная в 1308 году, преследует главную цель — познание Бога. Она основана на комбинаторной логике, и в ней сделана попытка найти все существующие в мире знания на основе нескольких понятий и принципов, которые, благодаря своим сочетаниям, могут охватить все науки. Ars magna тесно связана с логическим рассуждением, и в ней утверждается, что логика служит не только для того, чтобы установить справедливость умозаключений, но и для того, чтобы создавать новые умозаключения с помощью их сочетаний. В работе выделяется ряд принципов, абсолютных и относительных. Первые соответствуют свойствам Бога, в то время как вторые относятся к понятиям взаимодействия между объектами. Луллий связывает алфавит со свойствами Бога. Например, А соответствует самому Богу, следующие буквы — Его различным достоинствам...
Доброта В Могущество Е Добродетель Н Величие С Мудрость F Истина I Вечность D Воля G Слава JЕсли мы вычислим число сочетаний этих элементов, взятых по два, то получим сумму возможных суждений:

результаты представлены в следующей таблице.
ВС CD DE EF FG GH HI U BD СЕ DF EG FH GI HJ BE CF DG ЕН FI GJ BF CG DH EI FJ BG СН DI EJ ВН CI DJ BI CJ BJВ качестве дополнения Луллий создал ряд из четырех аксиоматических фигур, смешав одни начала с другими. Ему нужно было механически осуществить то, что ему не позволяли сделать скудные математические познания. Одна из таких фигур соответствовала предыдущей таблице, другая — это круг (как на рисунке 1), поделенный на девять секторов, в которых находились абсолютные начала. На этом круге все достоинства равноудалены от центра, где находится Бог. Под каждой буквой располагается существительное и прилагательное, и каждый сектор связан с другими восьмью, указывая все возможные сочетания. Их можно перемешивать, при этом существительные превращаются в прилагательные и получается, например, великая доброта или доброе величие.
Другая фигура является чем- то вроде комбинаторной машины, в которой находятся три концентрических круга: наименьший вертится относительно среднего, средний — относительно наибольшего, а наибольший остается неподвижен. Таким образом выбираются понятия, которые выстроены в линию на дисках.

РИС.1

РИС. 2
Фигуры, придуманные Раймундом Луллием для своей логической машины, включенные в Ars Magna.
СОЧИНЕНИЕ ОБ ИСКУССТВЕ КОМБИНАТОРИКИ
Признано, что Луллий повлиял на Лейбница, хотя последний критиковал работу первого, говоря, что его искусство...
«...всего лишь тень настоящего искусства комбинаторики [...]. Он далек от этого искусства так же, как хвастун далек от человека красноречивого и в то же время твердого».
Однако некоторые авторы утверждают, что Лейбниц был захвачен Ars magna и что она послужила основой его идей о комбинаторике.
В 1666 году Лейбниц опубликовал свое сочинение «Об искусстве комбинаторики», в котором он представлял новые результаты в области логики и математики. Именно тогда в первый раз было использовано слово «комбинаторика» в том смысле, в котором мы применяем его сегодня. В зрелые годы Лейбниц раскаялся в том, что опубликовал эту работу, поскольку не считал ее достаточно продуманной. Однако в ней представлены его философские интересы и направления дальнейших поисков, несмотря на то что он к тому времени еще не решил посвятить себя какой-либо конкретной науке. Для Лейбница философские идеи были гораздо важнее, чем математические. В этом нет ничего удивительного, поскольку некоторые философы считали, что математика искажает смысл естественных вещей и, следовательно, вредит натурфилософии. Среди них можно упомянуть итальянцев Пико делла Мирандолу (1463-1494) и Джордано Бруно (1548-1600).
В данном сочинении Лейбниц развивает идею, посещавшую его еще в школьные времена: использовать комбинаторику для получения алфавита человеческой мысли — позже он назовет это «универсальной наукой». Следуя Луллию, Лейбниц думал: как на основе алфавита с помощью сочетаний и перестановок можно получить любое слово или фразу, так же из простых и фундаментальных понятий можно вывести все истины. Главный тезис Лейбница заключался в том, что все логические пропозиции можно свести к правильным сочетаниям субъекта и предиката. Он развивал логику открытия и изобретения в противоположность доказательной логике других классических философов.
Сочетания в целом были обозначены Лейбницем словом «комплексии», и он использовал слово «комбинации» для объектов, взятых по два. Когда речь шла о трех объектах, он употреблял слово «контернации», или «конации», и так далее.
В своей работе Лейбниц пытается использовать комбинаторику применительно к праву, музыке и даже теории Аристотеля об образовании четырех основных элементов на основе комбинаций четырех первичных свойств. Если взять данные свойства по два, получаются следующие различные сочетания:

При этом нельзя учитывать сочетания, в которых сгруппированы противоположные понятия, такие как холодное и теплое или влажное и сухое. Из четырех оставшихся получались базовые элементы: вода, воздух, огонь и земля.
Лейбниц определенно искал метод, позволивший бы ему работать в общем виде с научными идеями.
НОВЫЕ ЗАДАНИЯ
Получив степень доктора наук, Лейбниц решил отправиться в путешествие. Ученый провел несколько месяцев Нюрнберге, поскольку вступил в алхимическое общество. Хотя сегодня мы считаем алхимию псевдознанием, мыслители XVII века признавали ее как науку. Алхимия (предшественница современной химии) начала развиваться в том веке на основе работ ирландского ученого Роберта Бойля (1627-1691). Через несколько лет Лейбниц рассказывал, что именно в Нюрнберге он получил базовые химические знания, используемые им впоследствии для необходимых опытов.
Во время путешествия он написал работу под названием «Новый метод изучения и преподавания юриспруденции», посвященную курфюрсту Майнца Иоганну Филиппу Шёнбургу, так как надеялся получить должность при его дворе. В ней Лейбниц рассматривал право с философской точки зрения. Он показал два основных правила юриспруденции: не принимать никакого термина без определения и никакой пропозиции без доказательства. После того как он представил работу лично курфюрсту, его наняли в качестве помощника придворного советника, Германа Андреаса Лассера, для составления нового гражданского кодекса.
Человеком, игравшим значительную роль в жизни Лейбница, стал барон Иоганн Христиан фон Бойнебург (1622— 1672), министр Майнца. С 1668 года Лейбниц, который обосновался в этом городе, был тесно связан с бароном, общаясь как с ним самим, так и с его семьей. Сотрудничая с Лассером, Лейбниц также работал на Бойнебурга, занимая такие должности, как секретарь, библиотекарь и адвокат. В эти годы он писал по просьбе барона сочинения на различные темы, особенно философские и политические. Рассмотрим одно из них.
В то время польская корона оказалась свободной из-за отречения короля Яна II Казимира, и пфальцграф Нойбургский, претендовавший на трон, попросил помощи Бойнебурга, чтобы тот защищал его интересы в Польше. Тот, в свою очередь, поручил это дело Лейбницу, и он от имени неизвестного польского дворянина написал и опубликовал работу, в которой исходил из понятия математического доказательства в науке, основываясь на идеях Галилео Галилея (1564-1642) и Рене Декарта (1596-1650). Целью работы было с помощью математических доказательств выяснить, кто был бы лучшим королем Польши. Естественно, автор пришел к выводу, что наиболее подходящей личностью был пфальцграф Нойбургский. В данном сочинении Лейбниц пользовался этическими и политическими рассуждениями, работая с ними как с элементами вероятностного исчисления. Можно считать, что это был первый раз, когда Лейбниц погрузился в мир дипломатии, ставшей впоследствии одним из видов его деятельности на протяжении всей жизни.
Взгляды Бойнебурга и Лейбница во многом совпадали. Хотя барон был католиком, а Лейбниц — лютеранином, они оба выступали за объединение Католической и Протестантской церквей. Эта идея всегда входила в намерения Лейбница, и он излагал ее везде, где только мог добиться какой-то поддержки.
В 1669 году принесли плоды контакты ученого с курфюрстом Майнца, и он был назначен членом Высшего апелляционного суда, в состав которого потом входил до 1672 года. Выйдя из состава суда, Лейбниц стал адвокатом в Ганновере. Несмотря на имеющуюся степень доктора права, ученого особо не привлекал мир юриспруденции: он уважал деятельность судей, но пренебрежительно относился к работе адвокатов.
В 1670 году Лейбниц поехал с Бойнебургом в Бад- Швальбах. В это время намечались обстоятельства, которые привели к первой важной дипломатической миссии Лейбница. Французский король Людовик XIV (1638-1715), настроенный весьма серьезно, имел намерение захватить Нидерланды. Лейбниц решил, что есть возможность отвратить французские захватнические амбиции от Европы и перенаправить их на Египет. Эту идею он назвал Египетский проект (Consilium aegyptiacum).
Таким образом, был подготовлен секретный план для представления проекта при французском дворе. Консультируясь с Бойнебургом, Лейбниц изложил свои соображения на бумаге, но хотя его целью все же было избежать атаки со стороны французов на Нидерланды, конечная редакция предполагала нечто, больше похожее на крестовый поход против неверных. Общая идея сочинения была такой расплывчатой, что Египет в нем почти не упоминался. Этот документ был послан королю Франции в начале 1672 года. Судя по всему, министр внутренних дел Франции не смог составить достаточно ясного представления о написанном и, стремясь получить больше информации, пригласил Бойнебурга присутствовать при дворе лично или прислать своего представителя. Таким представителем барон назначил Лейбница. В марте ученый отправился в Париж, чтобы более ясно изложить свою идею.
Кроме цели достичь мирных переговоров в Европе у Лейбница были и другие, скрытые, мотивы для поездки. Бойнебург поручил ему ходатайствовать перед королем об оплате ряда рент и пенсий, по которым имелась задолженность. С другой стороны, Лейбниц хотел посетить Париж, где он мог познакомиться с великими французскими философами и учеными.
Затворничество в Майнце мешало ему непосредственно общаться с известными людьми, осуществлявшими научную революцию. Лейбниц всегда утверждал, что если бы ему удалось посетить Париж раньше, его знания обогатились бы, и он смог бы гораздо продуктивнее заниматься наукой.
За год до этого Лейбниц переписывался с Пьером де Каркави (1600-1684), королевским библиотекарем, и рассказывал ему об арифметической машине, над которой работал. Ученый узнал, что Каркави хлопочет о том, чтобы его пригласили в Парижскую академию наук. Сам Каркави написал Лейбницу письмо с просьбой прислать образец его машины, чтобы показать ее Жану-Батисту Кольберу (1619-1683), министру Людовика XIV. Так налаживалась связь Лейбница с научным сообществом, благодаря которой миру был явлен его гений.
НАУЧНЫЙ ОБМЕН
В современном мире мы видим множество примеров того, как люди профессионально занимаются исследованиями и получают за это денежную компенсацию. Они могут работать в университетах, в лабораториях, в больших больницах или на предприятиях, например в сфере программирования или телефонии, но объединяет их всех то, что они живут за счет своих исследований. Однако так было не всегда. В XVI и XVII веках многие великие люди, совершавшие научную революцию, были вынуждены заниматься еще какой-либо деятельностью, чтобы прокормить себя. Большинство авторов открытий того времени были теологами, дипломатами, юристами, священниками, архитекторами и так далее. Например, Пьер де Ферма (1601-1665) был адвокатом и членом Палаты эдиктов, Джон Уоллис (1616— 1703) — криптографом, Антони ван Левенгук (1632-1723), который с помощью микроскопа первый открыл одноклеточные организмы, занимался торговлей, а философ Барух Спиноза (1632-1677) работал шлифовщиком линз. В те времена не существовало профессиональных ученых, кроме некоторых малочисленных счастливчиков, служивших при дворе короля или какого-либо вельможи.
Кроме того, большинство ученых были самоучками. В целом вузы сильно отставали от развития наук, поэтому, за редким исключением, более полное образование нужно было получать вне университета. Джон Уоллис, например, вспоминал:
«Математика в то время редко рассматривалась как академическая дисциплина — скорее как нечто механическое».
То есть математика считалась более уделом торговцев, а не ученых. Таким образом, желающий углубить свои знания должен был обратиться к какому-нибудь известному ученому и стать его последователем.
Другим аспектом, затруднявшим развитие науки, была изоляция ученых. Сегодня, благодаря современным средствам общения, новость о любом событии, произошедшем в стране, немедленно распространяется по всему миру. Но в XVI веке дела, конечно, обстояли иначе: новое открытие могло стать достоянием научной общественности только через несколько месяцев или лет.
В начале XVII века не существовало каналов, которые позволяли бы ученым осуществлять быстрый и эффективный обмен идеями. Осознавая это, интеллектуалы начали объединяться, чтобы обмениваться опытом, а также результатами экспериментов на собраниях или посредством писем, которые зачитывались на таких собраниях. Одним из самых известных координаторов научной жизни Европы в то время был теолог Марен Мерсенн, монах ордена минимов. Он был однокурсником Декарта и написал несколько книг по философии и теории музыки, а в мире математики его имя известно благодаря так называемым простым числам Мерсенна.
Этот человек считал, что ученые должны работать в сообществе, советуясь друг с другом и сравнивая свои эксперименты и открытия. Представьте себе: в ту эпоху знания ремесленных гильдий передавались, иногда в большом секрете, только ученикам, которые входили в эти гильдии.
ПРОСТЫЕ ЧИСЛА МЕРСЕННА
Числами Мерсенна обычно называют числа вида Mn=2n — 1, где п — натуральное число (например, 3, 7,15, 31, 63,127...). Те из них, которые являются простыми, известны как простые числа Мерсенна (из предыдущих это: 3, 7,31 и 127). Марен Мерсенн (1588-1648) представил данные числа, которые позже были названы в его честь, в работе Cogitata physico-mathematica («Физико-математические рассуждения»), опубликованной в 1641 году. В ней он изложил несколько свойств этих чисел, которые смогли доказать только три века спустя. Также в ней был ряд простых чисел Мерсенна (до показателя степени п = 257), как выяснилось позже, содержащий несколько ошибок.

Марен Мерсенн.
Простые числа сегодня
Электронная эра позволила начиная с середины XX века вычислять новые простые числа все большего размера: сегодня они используются в коммуникациях. В последние 60 лет наибольшее известное простое число почти всегда было числом Мерсенна. Сегодня известно всего 47 простых чисел Мерсенна, и наибольшее из них равно 257885161-1: оно состоит из более чем 17 млн цифр! Неизвестно, сколько простых чисел Мерсенна может существовать, хотя предполагается, что их бесконечно много.
Мерсенн же пребывал в убеждении, что знания должны быть в свободном доступе. Он создал сообщество, известное как кружок Мерсенна, которое собиралось прямо в его монашеской келье. К нему принадлежали, среди прочих, Декарт, Паскаль, Роберваль, Дезарг, Ферма и Гассенди. Хотя группа была создана как Академия Мерсенна, затем она соединилась с другим подобным сообществом, организованным братьями Пьером и Жаком Дюпюи, королевскими библиотекарями. Группа Дюпюи включала в себя не только математиков, таких как Гюйгенс, но и представителей других наук. Союз из двух групп стал называться Academia Parisiensis: это было то самое зерно, из которого позже вырастет Парижская академия наук.
Еще одно подобное сообщество образовалось, хотя и позднее, вокруг философа и теолога Николя Мальбранша (1638— 1715). Он также преподавал математику и был членом Конфедерации ораторианцев святого Филиппа Нери. В своей организации он проводил собрания, как у Мерсенна, для обмена информацией о математических открытиях. В данный кружок входили Пьер Вариньон, маркиз Лопиталь и Иоганн Бернулли. Мальбранш сделал очень много для распространения идей Декарта и Лейбница, кроме того, он способствовал изданию книги Лопиталя — первой опубликованной работы на тему нового на тот момент анализа бесконечно малых.
В Англии Фрэнсис Бэкон (1561-1626), который был в большей степени философом, чем ученым, отстаивал необходимость развития экспериментальной науки, в то время презираемой и воспринимаемой как чистое ремесленничество. Также Бэкон доказывал необходимость обмена идеями и результатами экспериментов. Благодаря его влиянию вокруг Теодора Хаака (1605-1690), немецкого дьякона, жившего в Англии, сложилась группа ученых. Она сначала была известна как Группа 1645 и собиралась в Кембридже, а затем переехала в Лондон, где из нее со временем выросло Королевское общество.
Публикации Мальбранша представляли большой интерес. В то время было сложно издавать научные книги, особенно по математике: у них обычно был ограниченный тираж, и прибыли они не приносили. Немецкий астроном Иоганн Кеплер (1571-1630) полагал, что книги по математике довольно сложно понять, и в этом заключена причина их непопулярности:
«Очень тяжелая судьба сегодня у автора математических и особенно астрономических книг [...], и поэтому очень мало хороших читателей. Я сам, хотя и считаюсь математиком, должен прилагать усилия, чтобы читать свои работы».
Распространению научных идей мешало и то, что некоторые авторы не желали публиковать результаты своих работ. Например, Пьер де Ферма так и не написал ни одной книги о своих достижениях. Часто отказ публиковаться был связан с нежеланием вступать в полемику с другими учеными, как это некогда произошло с Исааком Ньютоном после столкновения с Робертом Гуком (1635-1703) по поводу природы света. Также было обычным делом не издавать итоги своей работы в виде книги, а рассказывать о них в письмах друзьям и знакомым. Часто такие открытия получали известность только после смерти автора. Некоторые ученые отказывались публиковать результаты своих исследований, если последние не были полностью закончены. Подобное произошло с Христианом Гюйгенсом (1629-1695), которому, кроме огромной изобретательности, было присуще эстетическое чувство математики: он публиковал только те работы, которые считал идеальными. Следовательно, не было ничего странного в том, что другие опередили его с похожими результатами, а затем возникли споры о том, кто был первым в открытии того или иного явления. Похожий спор шел и по поводу авторства дифференциального исчисления между Ньютоном и Лейбницем.
Обычной практикой для ученых, которых не связывали дружеские отношения, было посылать друг другу свои работы через третьих лиц. Одним из таких посредников между учеными, особенно из разных стран, как раз и выступал Мерсенн. А Генри Ольденбург (1618-1677) был в подобном же деле соединительным звеном между Ньютоном и Лейбницем. Напоследок заметим, что такой обмен был хорошим способом обсудить собственное открытие и выслушать критику от других ученых до того, как оно будет представлено публично.
НАУЧНЫЕ СООБЩЕСТВА XVII ВЕКА
Распространению научных знаний по всей Европе ощутимо способствовали специальные сообщества и журналы, делавшие открытия в любой научной области достоянием общественности. Первой научной академией, которая была задумана как место встреч ученых для обмена опытом и знаниями, стала Академия Деи Линчеи (Академия рысьеглазых). Ее основал в 1603 году в Риме ученый и дворянин Федерико Чези (1585— 1630), однако после его смерти в 1630 году ее деятельность сошла на нет. Самым знаменитым ее членом был Галилео Галилей. В 1657 году во Флоренции Фердинандо II, герцог Тосканы, и его брат Леопольдо Медичи создали Accademia del Cimento (Академия опыта), которая просуществовала только десять лет. Среди ее членов выделяются ученики Галилея: математик Винченцо Вивиани (1622-1703) и физик Эванджелиста Торричелли (1608-1647), изобретатель барометра, прибора для измерения атмосферного давления.
Но самое важное научное объединение того времени, которое продолжает свою деятельность и сегодня,— это Королевское общество, возникшее в 1660 году в результате слияния групп ученых из Лондона и Оксфорда. Его члены собирались раз в неделю, чтобы пообщаться на темы натурфилософии и связанных с ней областей: медицины, механики, оптики, геометрии... В 1662 году был назначен куратор экспериментов, обязанный на каждом собрании делать доклад о каких-либо новых научных открытиях и подтверждать их соответствующими экспериментами. Первым человеком, выбранным на эту должность, был Роберт Гук. С целью подчеркнуть, что научный прогресс основывается на истинах, доказанных экспериментально, а не на мнении влиятельных людей, общество избрало лозунг Nullius in verba, то есть «Ничьими словами». Его членами в то время являлись: Роберт Бойль, Роберт Гук, Готфрид Лейбниц, Джон Уоллис, Исаак Ньютон, Христиан Гюйгенс и Антони ван Левенгук. С 1663 года общество стало официально называться Royal Society of London for Improving Natural Knowledge (Лондонское королевское общество по развитию знаний о природе).
В 1666 году во Франции министр Людовика XIV Жан- Батист Кольбер с одобрения короля создал Академию наук, главная цель которой была следующей: «Воодушевить и защитить исследовательский дух и способствовать прогрессу наук и их применению».

Памятник Лейбницу в Лейпциге, его родном городе. Работа Эрнста Юлиуса Хенеля (1811-1891).

Эрхард Вейгель, преподаватель Лейбница. Портрет руки неизвестного автора.

Гравюра, изображающая Йенский университет около 1600 года. Там в 1663 году Лейбниц провел один семестр и познакомился с Эрхардом Вейгелем.
В нее входили самые уважаемые ученые того времени, такие как Декарт, Паскаль или Ферма. Здесь так же, как и у Королевского общества, существовала традиция приглашать ученых из других стран. В 1699 году членами Академии стали первые восемь иностранцев: Исаак Ньютон, Готфрид Лейбниц, братья Иоганн и Якоб Бернулли, Винченцо Вивиани, польский астроном Ян Гевелий, нидерландский естествоиспытатель Николас Хартсоекера и немецкий математик, физик, врач и философ Эренфрид Вальтер фон Чирнхаус.
Кроме научных сообществ, стоит обратить внимание на важность, которую приобрели некоторые частные коллекции, получившие название кунсткамер, или кабинетов редкостей, где можно было найти все что угодно. У Мерсенна был частный кабинет физических приборов. Одним из самых известных считался кабинет иезуита Афанасия Кирхера (1602— 1680), который находился в Риме и содержал, среди прочего, окаменелости, кристаллы, зубы и рога носорога.
ЛЕЙБНИЦ И АКАДЕМИИ НАУК
Готфрид Вильгельм Лейбниц не только был членом основных академий наук XVII века, но также поддерживал и воодушевлял ученых на создание многих других сообществ.
В 1700 году принц Фридрих III (1657-1713), курфюрст Бранденбурга, создал Прусскую академию наук, более известную как Берлинская академия. Он сделал это по настоянию Лейбница, который был назначен ее председателем. Тремя годами ранее, когда София Шарлотта Ганноверская, герцогиня Брауншвейг-Люнебургская и будущая королева Пруссии, задумала создание астрономической обсерватории в Германии, Лейбниц, большой друг герцогини, предложил расширить этот проект и создать академию, подобную Парижской и Лондонской.
В качестве председателя Берлинской академии Лейбниц издал ряд документов, указывающих, как должна строиться деятельность нового научного общества. Академия должна была развивать как теорию, так и практику, чтобы ее знаниями пользовались не только деятели искусства и науки страны, но также промышленность и торговля. Научное общество должно было обращать особенное внимание на фундаментальные науки, такие как математика и физика, хотя в эти понятия включалось намного больше, чем можно представить себе сегодня. Лейбниц разделял математику на четыре части: геометрию, включая анализ; астрономию и связанные с ней области (географию, хронологию, оптику); архитектуру (гражданскую, военную, морскую), в которую также включались живопись и скульптура; а также механику с ее технологическим применением. В свою очередь, в понятие физики входили химия и науки о животных, растениях и минералах.
Озабоченный проблемами финансирования Академии, Лейбниц добился для общества монопольного права разработки и продажи календарей. Позже он представил проект шелководства (разведения шелковичных червей), чтобы достать средства и обеспечить экономическое выживание Академии. С этой целью Лейбниц организовал посадку и выращивание шелковичных деревьев в королевских садах Потсдама. Правда, проект в итоге не удался, и далее Лейбниц осуществлял эксперименты с шелковичными червями в собственных садах.
Ученый также попытался основать академии в Дрездене и в Вене, но из этого ничего не получилось.
НАУЧНЫЕ ЖУРНАЛЫ
Первым научным журналом можно назвать Journal des Sgavans («Журналъ де саван»), вышедший в Париже в январе 1665 года. Однако тематика данного издания не была исключительно научной, поскольку в нем публиковались статьи по законодательству, а также некрологи известных людей. Журнал был основан советником парламента Дени Салло под покровительством министра Кольбера. В нем было рассказано о некоторых открытиях Лейбница, а также о работах Декарта, Гука и Гюйгенса. Во время Французской революции выпуск журнала прекратился; потом он снова появился, но уже стал сугубо литератураным изданием.
Полностью научным журналом, самым важным в течение долгого времени, был Philosophical Transactions of the Royal Society. Его первый номер вышел в марте 1665 года. Своим появлением это издание обязано секретарю Королевского общества Генри Ольденбургу. Последний отчетливо понимал необходимость найти средство, которое позволило бы доводить информацию о новейших научных достижениях до сведения всех заинтересованных лиц. Ольденбург публиковал журнал за свой счет с согласия Королевского общества, полагая, что затеял выгодное дело, но он ошибся. Начиная с XVIII века Philosophical Transactions стал официальным вестником общества.
Нет ничего более необходимого для продвижения философских идей, чем сообщение о них.
Генри Ольденбург. Philosophical Transactions
В этом журнале впервые были опробованы принципы работы, которые сегодня используются во всех научных изданиях. Независимо от приоритетности статьи Ольденбург посылал ее текст различным людям, чтобы те оценили, представляет ли ее публикация какой-либо интерес.
Также по настоянию Лейбница в 1682 году в Лейпциге начал публиковаться журнал Acta eruditorum («Акты ученых»), основанный немецким ученым Отто Менке (1644-1707) и прекративший свое существование в 1782 году. Он издавался на латыни (языке, который понимали все ученые того времени), поэтому был очень популярен. Лейбниц регулярно публиковался в этом журнале, и если просмотреть его выпуски, можно убедиться, что ученого интересовало множество разных тем.
В его первой статье речь шла о квадратуре круга, но во многих других номерах мы находим статьи по оптике, разложению на множители, исследованию наклонных плоскостей и сопротивления балок нагрузке.
Кроме того, Лейбниц создал ежегодный журнал, где печатались статьи, рецензии и интересные результаты исследований членов Берлинской академии. Первый номер этого издания, под названием Miscellanea Beronilensia, вышел в 1710 году. Значительная часть статьей в нем принадлежала самому Лейбницу, который писал о таких различных вещах, как, например, его арифметическая машина, математика и механика, изучение происхождения наций на основе лингвистики, открытие фосфора и северное сияние. И это еще без учета его статей в соавторстве.
Мы упомянули ранее, что Лейбниц начал открывать себе дорогу в научные общества благодаря своему арифмометру. Возвращаясь к этой теме, взглянем на эволюцию механических вычислительных устройств.
КАК СЧИТАТЬ БОЛЕЕ ЭФФЕКТИВНО
С тех пор как человек научился считать, он применяет это умение во всех областях своей жизни. С развитием цивилизации сложность вычислений возрастала: приходилось осуществлять каждый раз все более трудоемкие подсчеты, связанные с торговлей, путешествиями, астрономией и так далее. Тогда- то человек и начал придумывать различные способы быстрых и надежных вычислений. Так появились счетные инструменты, призванные механизировать некоторые вычислительные операции. Они позволяли исключить или минимизировать ошибки, которым подвержено любое ручное вычисление.
Первые попытки вычислять проще и качественнее были «пальцевыми». Некоторые приемы позволяют производить с помощью пальцев более сложные операции, чем сложение и вычитание. Например, чтобы быстро умножить на 9, существует правило, состоящее в том, чтобы протянуть две руки и начать считать с края, обычно слева, и загнуть палец, соответствующий числу, на которое мы хотим умножить 9. Для получения результата достаточно сосчитать количество пальцев слева от согнутого (это будет число десятков) и после согнутого (это будет число единиц). На рисунке 3 мы видим, что результат умножения 9x4 равен 36.
Выдающемуся человеку недостойно терять время на рабский труд — вычисление, которое может осуществить любой с помощью машины.
Готфрид Вильгельм Лейбниц
Если мы хотим умножить два числа больше 5, достаточно загнуть на каждой руке количество пальцев, соответствующее результату вычитания 5 из каждого множителя. Загнутые пальцы на обеих руках суммируются и умножаются на 10, и к этому прибавляется произведение числа поднятых пальцев на обеих руках. На рисунке 4 мы можем увидеть результат умножения 8 (8-5 = 3 загнутых пальца, в этом случае на правой руке) х9(9-5 = 4 загнутых пальца). Так как у нас загнуто 7 пальцев, а поднято 2 на одной руке и 1 на другой, то произведение 8x9 = 7x10 + 1x2 = 72.

РИС.З

РИС. 4
СЧЕТЫ
Системы вавилонян, майя, египтян, греков или римлян, среди прочих, позволяли осуществить подсчет, но были сложными для вычислений. Только подумайте об умножении XIII на XXI, пользуясь римскими цифрами. Но так как инженерное дело и торговля должны были развиваться, пришлось придумать методы, позволявшие осуществлять вычисления, необходимые для нужд цивилизации. Так было создано первое в истории вычислительное устройство: счеты.
С небольшими различиями и некоторыми вариациями счеты появились повсеместно почти одновременно более 3000 лет назад. Это было, кроме того, наиболее долговечное изобретение, которое использовалось еще в XX веке.
Возможно, изначально счеты представляли собой всего лишь ряд канавок на песке, куда помещались calculus («камешки» на латыни, откуда происходит слово «калькуляция»). Затем их конструкция изменилась. В обиход вошли несколько палочек: на них надевали косточки, с помощью которых осуществляли вычисления.

РИС. 5
Изображение римских счетов. Их столбики представляют собой единицы, десятки, сотни, обозначенные римскими символами I, X и С, за которыми следуют единицы, десятки и сотни тысяч. Правая часть использовалась для представления дробей.
На рисунке 5 показаны воссозданные римские счеты. В них есть ряд вертикальных линий, где каждая косточка имеет значение в единицу в нижней части и в пять единиц — в верхней.

РИС. 6
Китайские счеты. Читаются справа налево, следуя десятичному порядку: единицы, десятки и так далее. Считаются шарики у центральной поперечины.
На счетах представлено число 16 336, поскольку в десятках два шарика в пять единиц равны одной единице разряда выше.
Имеющиеся символы соответствуют символам римской системы счисления. У некоторых римских счетов были специальные линии для работы с дробями. Широко известны в наше время китайские счеты, называющиеся суанъпанъ, которые можно найти в сувенирных магазинах. Как видно на рисунке, они состоят из деревянной рамки с рядом спиц, разделенных на две части. Верхняя часть, называемая небо, имеет две костяшки, каждая из которых равна 5, а в нижней части (земля) находятся пять костяшек, каждая из которых равна единице. Способ счета — приближение соответствующих костяшек к центральной разделительной поперечине. Справа налево появляются единицы, десятки, сотни, тысячи и так далее. Каждый раз, когда на одном уровне образуется целый десяток, он удаляется и добавляется одна единица на уровне выше.
Японские счеты, или соробан, похожи на китайские, но в небе находится только одна костяшка, а на земле — четыре, чего достаточно для осуществления арифметических операций. Русские счеты состоят из рамы со спицами, на которые нанизано по десять костяшек без всякого разделения.
В течение нескольких веков счеты были главным устройством для вычислений; существовала даже профессия абакиста, осуществлявшего расчеты с помощью этого инструмента. Когда в Европе начали вводить арабские цифры, позволяющие перейти к позиционной системе счисления, абакисты встретили нововведения крайне враждебно, призывая оставить классический способ вычисления. Известна иллюстрация, сделанная Грегором Рейшем для работы Margarita philosophica {«Жемчужина философии»), на которой встречаются абакист, в данном случае Пифагор, и Боэций — алгорист, использующий новые арабские цифры. Несмотря на свои явные преимущества, позиционная система счисления полностью прижилась в Европе только в XVI веке.
ДЖОН НЕПЕР
Джон Непер (1550-1617), барон Мерчистон, теолог и математик. Главной в своей жизни он считал религию, а математикой занимался ради развлечения, но вошел в историю науки как создатель логарифмов — инструмента, над которым работал более 20 лет и который продемонстрировал в 1614 году в своей работе «Описание удивительной таблицы логарифмов».
Открытые им логарифмы не имели никакого определенного основания, но английский математик Генри Бригс убедил его ввести основание 10. Поскольку Непер был уже болен, Бригс сам вычислил десятичные логарифмы первых тысячи чисел. Основываясь на той же самой идее нахождения инструмента для облегчения арифметических операций, он помог Джону Неперу в 1617 году, то есть в год смерти ученого, опубликовать работу «Рабдология, или две книги о счете с помощью палочек», в которой были представлены таблицы Непера.

НЕПЕР: ТАБЛИЦЫ И ЛОГАРИФМЫ
До XVII века не было изобретено ничего нового, способного упростить вычисления. В 1617 году шотландский математик Джон Непер опубликовал свой труд, который стал известен как «Рабдология». В нем ученый представил ряд таблиц, позволявших превратить произведение в сумму, а деление — в вычитание. Эти таблицы получили название палочек Непера. Изобретение состояло из ряда вертикальных столбцов: в каждом из них имелось девять квадратов, разделенных на две части диагональной чертой, кроме самого верхнего. В верхнем квадрате стояло число, которое нужно было умножить, а нижние квадраты содержали результат умножения этого числа на два, три, четыре и так далее до девяти.
С помощью данного изобретения можно было умножать большие числа. Следовало взять соответствующие колонки, чтобы цифры в верхних квадратах образовали искомое число. После этого нужно просто сложить между собой значения из соответствующей строки с учетом их разрядности. Так, для умножения числа 625 на 7 в соответствующем ряду умножения получались значения 4 для тысяч, 3 = 2 + 1 для сотен, 7 = 4 + 3 для десятков и 5 для единиц. То есть 625 х 7 = 4375. Мы можем убедиться в этом, взглянув на рисунок 7. Если нужно умножить большие числа, достаточно выбрать каждый ряд цифр второго множителя и последовательно сложить числа, полученные предыдущим способом. Чтобы умножить 2134 на 732, необходимо распределить таблицы так, как показано на рисунке 8. Суммируются значения, соответствующие каждому множителю. Следует учитывать, что когда мы складываем по диагонали, а сумма больше девяти, как в случае с десятками произведения 2134x3, мы помещаем на их место единицы, а десятки этого результата прибавляются к следующей цифре.

РИС. 7
Произведение сводится к тому, чтобы провести серию сложений, поскольку произведения для каждой цифры уже имеются в таблице. Чтобы провести деление, требуется обратный процесс, вычитание. Если мы хотим разделить 4312 на 625, нужно взять таблички, соответствующие делителю (625), и выполнить все операции умножения в каждой линии с целью найти наиболее близкое к делимому (4312) число, меньшее его. Таким образом мы получаем частное (6), как видно из рисунка 9. Наконец, чтобы найти остаток от деления, мы должны вычесть из 4312 значение 3750, что дает нам в результате 562.

РИС. 8

РИС. 9
Также с помощью таблиц можно совершать возведение в степень, извлечение квадратного и кубического корня.
Непер вошел бы в историю математики, даже если бы не создал этих способов быстрого вычисления. В своей книге, опубликованной ранее, в 1614 году, он представил свое самое важное изобретение: логарифмы. Речь идет о методе, который позволяет превращать произведение в сложение, деление — в вычитание и возведение в степень — в умножение. Упрощение подобных операций было очень полезно, особенно в астрономических вычислениях. Великий французский математик Пьер-Симон де Лаплас (1749-1827) сказал по этому поводу: «Похоже, что сокращением работы по вычислению с нескольких месяцев до нескольких дней изобретение логарифмов удвоило жизнь астрономам».
Логарифм числа b по основанию а определяется как показатель степени, в которую нужно возвести число а, чтобы получить число Ь. В символьном выражении это означает:
logab = х ? ах = b.
Например, логарифм 81 по основанию 3 равен 4 (log381 = 4), поскольку З4 = 81.
Нахождением логарифма называется операция, обратная возведению в степень, точно так же, как вычитанием является действие, обратное сложению. Если у нас есть значение суммы и мы знаем одно из слагаемых, поиск другого слагаемого означает вычитание из суммы значения известного слагаемого; следовательно, это обратные операции. Точно так же, если мы знаем значение степени и ее показатель, найти основание равносильно извлечению корня, то есть нахождению корня той же степени из значения данной степени. А если мы знаем основание, нахождение показателя степени превращается в нахождение логарифма по этому основанию значения этой степени. Поскольку сумма двух чисел обладает свойством коммутативности, то есть порядок слагаемых не меняет сумму, у этой операции есть только одна противоположная. Поскольку возведение в степень некоммутативно, существуют две обратные операции, в зависимости от того, известно ли основание или показатель степени.
Наряду с логарифмами по основанию 10, которые обычно просто сокращаются как log или lg, без указания основания, также широко используются логарифмы по основанию е, трансцендентного числа из той же серии, что и знаменитое число я. Эти логарифмы получили название натуральных логарифмов и обычно обозначаются In или loge.
Укажем основные свойства, на которых основывается вычисление с помощью логарифмов и которые верны для любого основания.
— Логарифм произведения двух чисел равен сумме логарифмов этих двух множителей: log (а • b) = loga + logb.
— Логарифм частного двух чисел равен разности между логарифмом числителя и логарифмом знаменателя:
log(a/b) = lig a - log b.
— Логарифм степени равен произведению показателя степени на логарифм основания: logab = b • loga.
Из вышеперечисленных свойств видно, что операции заменяются другими, более простыми. Изначально для применения данного метода было необходимо напрямую работать с таблицами логарифмов.
Метод логарифмического исчисления сразу же взяли на вооружение современики, которые смогли оценить те удобства, которые он обеспечивал. И очень быстро были созданы первые механические инструменты, упрощавшие использование логарифмов.
Считается, что английский астроном и математик Уильям Отред (1575-1660) был первым, кто применил греческую букву я для обозначения соотношения между длиной окружности и ее диаметром. Также ему приписывается использование символа х для обозначения умножения и сокращенных обозначений sin и cos для тригонометрических функций синус и косинус. Но в историю он вошел благодаря изобретению в 1621 году логарифмической линейки. Отред создал пару таблиц, содержащих значения логарифмов. С их помощью можно было совершать математические операции, перемещая одну таблицу вдоль другой. Любопытно, что когда логарифмическая линейка впервые поступила в продажу, она имела круглую форму и представляла собой ряд концентрических дисков, на которых располагались значения логарифмов и которые вращались вокруг центра. Этот инструмент обычно называют круглой логарифмической линейкой.
Однако основная конструкция счетных линеек представляла собой статичный брусок с движущейся линейкой в середине. В современных счетных линейках как на статичный брусок, так и на движущуюся линейку нанесены шкалы. С их помощью можно вычислять не только логарифмы, но и тригонометрические и гиперболические функции, не говоря уже о возведении в степень, вычислении корней, умножении и делении чисел.
Счетные линейки стали инструментом, ежедневно используемым архитекторами, инженерами и другими специалистами, пока в последней трети XX века не получили популярность инженерные калькуляторы, в которые уже были включены вычисления логарифмов.
МЕХАНИЧЕСКИЕ УСТРОЙСТВА
Первую в истории счетную машину создал немецкий ученый Вильгельм Шикард (1592-1635). Он был преподавателем арамейского и древнееврейского языков, лютеранским священнослужителем, теологом, топографом, астрономом и математиком. С 1613 по 1619 год Шикард служил дьяконом в Нюртингене, где познакомился с Кеплером. Последний попросил Шикарда, имевшего известность прекрасного гравера, подготовить серию гравюр и ксилографий для его работы «Гармония мира». Также он попросил его помощи в вычислении ряда таблиц.

Гравюра, сделанная Грегором Рейшем для своей книги «Жемчужина философииш (1508). На ней показано соревнование между абакистом (Пифагором) и алгористом (Боэцием).

Круглая логарифмическая линейка — прибор, созданный Уильямом Отредом в 1621 году.

Прототип арифметической машины, изобретенной Лейбницем.
Именно тогда у Шикарда и возникла идея создать машину, которая могла бы механизировать астрономические вычисления, которые он делал. В 1623 году он объяснял, как ему пришла в голову такая идея, в письме Кеплеру:
„То, что делали с помощью вычислений, я попытался сделать с помощью механики. Я создал машину, состоящую из 11 полных зубчатых колес и шести неполных; она вычисляет мгновенно и автоматически на основе заданных чисел, складывая, вычитая, умножая и деля их“.
Так Шикард разработал машину, основанную, как и счетная линейка, на логарифмах. Она состояла из ряда цилиндров, которые вращались, что было похоже на работу старого кассового аппарата. Машина, которую ученый назвал вычислительными часами, не была построена полностью, поскольку он начал делать один экземпляр для Кеплера, но пожар разрушил прототип. В XX веке на основе схем Шикарда было построено несколько экземпляров этой машины.
ПАСКАЛИНА
Следующая известная машина была создана французским математиком Блезом Паскалем, разработавшим ее в 1642 году для помощи своему отцу, интенданту Нормандии, которому часто приходилось заниматься утомительными расчетами. Она могла складывать и вычитать.
Данная машина состояла из ряда колес, соединенных между собой и разделенных на десять частей, от 0 до 9. Каждый раз, когда одно колесо делало полный оборот, передвигалось вперед следующее колесо. Для вычитания было достаточно повернуть колесо в противоположном направлении, и когда заканчивался полный оборот, вычиталась единица из следующего круга. Конструкция состояла из коробки в форме параллелепипеда с рядом колес, связанных между собой. Каждое из них соответствовало определенному разряду. Даже сегодня можно найти в некоторых магазинах или в интернете арифмометры, основанные на той же идее.
БЛЕЗ ПАСКАЛЬ
Блез Паскаль (1623-1662), физик, математик и философ, с очень юных лет начал посещать научные сообщества своего времени и вошел в состав кружка Мерсенна. Уже в 17 лет Паскаль написал работу „Опыт о конических сечениях“, в которой сформулировал теорему, известную как „теорема Паскаля“,— она является одной из основных теорем проективной геометрии. Ученый работал с вакуумом и атмосферным давлением, воспроизводя эксперимент Эванджелисты Торричелли. Паскаль открыл основной закон гидростатики. Также он сформулировал закон сообщающихся сосудов. Кроме того, он вычислил площадь фигуры, ограниченной циклоидой. Кавалер де Мере, дворянин, увлеченный азартными играми, задал ученому задачу об игральных кубиках: что более вероятно — выбросить по крайней мере одну шестерку за четыре броска кубика или двойную шестерку за 24 броска двух кубиков? В переписке между Паскалем и французским математиком Пьером де Ферма, посвященной решению этой задачи, были заложены основы теории вероятностей. Также ученый разработал то, что сегодня известно как треугольник Паскаля, состоящий из рядов чисел. Каждое число треугольника равно сумме двух расположенных над ним чисел. Данный треугольник используется в теории вероятности. Но, без сомнения, самое известное изобретение Паскаля — его вычислительная машина, паскалина, с помощью которой можно было совершать сложение и вычитание.

Паскалина — вычислительная машина, придуманная Паскалем.
Сам Паскаль создал фабрику для изготовления паскалины, как было названо это изобретение. Поскольку процесс был полностью ручным, цена конечного продукта оказалась такой высокой, что производство не удалось поставить на поток. В итоге было изготовлено около полусотни машин, из которых сегодня осталось несколько, хранящихся в научных музеях.
В середине 1660-х годов появляются новые машины, на этот раз созданные математиком Сэмюэлем Морлендом (1625-1695), который, кроме того, был дипломатом, шпионом, академиком и в особенности изобретателем: он разработал портативные плиты на пару и водяные насосы. Морленд был знаком с машиной Паскаля и, похоже, также с машиной, сконструированной Рене Грийе де Ровеном, часовщиком Людовика XIV, на которой, как считается, основывалась машина Лейбница. Он создал три вычислительные машины: одну — для осуществления тригонометрических вычислений, другую — складывающую и третью — позволяющую умножать и делить. Последние две машины представлены в книге Морленда „Описание и применение двух арифметических инструментов“.
Суммирующая машина имела ряд колес, подобно машине Паскаля, но они были независимы друг от друга. К каждому из них был присоединен маленький круг, указывающий число полных оборотов, которые сделало большое колесо, и количество этих оборотов потом нужно было прибавить вручную. Данная машина была придумана для работы с английской монетной системой и считается первым карманным калькулятором.
Умножающая машина была основана на тех же принципах, что и таблицы Непера. Она состояла из плоской пластинки с несколькими отверстиями, куда можно было поместить ряд взаимозаменяемых дисков, которые были в основном круглой версией таблиц Непера. Некоторые из таких дисков позволяли вычислять квадратные и кубические корни. Есть предположение, что конструкция умножающей машины была придумана под влиянием другой машины, созданной в 1659 году итальянцем Тито Ливио Бураттини (1617-1681).

Механизмы арифметической машины Лейбница. Это была первая машина такого типа,которая позволяла осуществлять четыре базовые арифметические операции.
АРИФМЕТИЧЕСКАЯ МАШИНА ЛЕЙБНИЦА
Все машины того времени создавались по подобию машины Паскаля. Однако арифметическая машина, разработанная Лейбницем, была гораздо более прогрессивной моделью по сравнению с другими современными ему механизмами. Хотя изначально ученый основывался на том же подходе, что и Паскаль, вскоре он понял: для перехода от сложения и вычитания к более сложным операциям нужен более мощный и сложный механизм.
Возможно, конструкция этой машины уже была продумана Лейбницем в начале 1670-х годов. Во время своего первого визита в Париж он познакомился с наследием Паскаля и наверняка изучал его вычислительную машину. Хотя изначально Лейбниц назвал свою машину Staffehvalze (по-английски Stepped Reckoner), что-то вроде „ступенчатого калькулятора“, далее он говорил о ней как об арифметической машине.
Она состояла из двух частей: верхней, статичной, и нижней, наделенной самоходной кареткой. Но ее гениальность — в наличии ряда цилиндров, на которых находилось по девять зубцов различной длины (см. рисунок). Цилиндр был закреплен на оси и соприкасался с зубчатым колесом, прикрепленным к оси, параллельной предыдущей. Когда крутился соответствующий диск с цифрами, цилиндр продвигался вперед или назад, так что зубчатое колесо, приведенное в действие цилиндром, двигалось в зависимости от зубцов, которые могли его при этом цеплять. Данное колесо вращало последний диск, на котором появлялся результат — его можно было увидеть в окошке коробки.
В машине использовались три типа колес: сумма, множимое и множитель. При взаимодействии они позволяли вычислять суммы, разности, произведения и частные.
Первая машина, которую Лейбниц представил в научных сообществах, была прототипом, сделанным из дерева и имеющим проблемы в работе. В основном из-за дефектов изготовления ученый не смог доказать, что она осуществляет вычисления, для которых была предназначена. Позже Лейбниц нашел механика-часовщика, и ему удалось создать металлическую машину, которая работала.
Уже в середине 1670-х годов у Лейбница была машина, осуществлявшая все четыре операции. Он совершенствовал ее всю свою жизнь. Через несколько лет ученый попытался сконструировать ее таким образом, чтобы она работала в двоичной системе, но огромное количество цилиндров, необходимое для промежуточных операций, заставило его отказаться от этой идеи.
В то время механические машины обычно страдали от одной проблемы: они были сложными и очень затратными (если не невозможными) в производстве. Технологии той эпохи не позволяли реализовать конструкции, придуманные гениями. Хотя первые машины появились в начале XVII века, потребовалось еще два столетия на то, чтобы они приобрели популярность и коммерческий успех. Например, только в 1822 году стал продаваться арифмометр — первая механическая машина, созданная французом Шарлем Ксавье Тома де Кольмаром (1785-1870), который стал кавалером Почетного легиона за свое изобретение.
Так же как Исаак Ньютон стал известным в научных сообществах того времени после создания своего телескопа-рефлектора, имя Готфрида Вильгельма Лейбница начало упоминаться в главных академиях благодаря изобретенной им арифметической машине.
Более 800 000 книг и аудиокниг! 📚
Получи 2 месяца Литрес Подписки в подарок и наслаждайся неограниченным чтением
ПОЛУЧИТЬ ПОДАРОК