ГЛАВА 5 Возраст Земли

В 1864 году Томсон опубликовал статью под названием «О вековом охлаждении Земли», которую за два года до этого представил в Эдинбургском королевском обществе. В этой работе ученый, опираясь на законы термодинамики, привел свои расчеты возраста Земли. Хотя результат, предложенный Томсоном, оказался ошибочным, его последующие дискуссии с другими исследователями приобрели большую известность. Эта полемика велась до самой смерти лорда Кельвина.

«Земля была создана между вечером субботы 22 октября и рассветом воскресенья 23 октября 4004 года до н.э. юлианского календаря» - эта точная оценка может считаться предварительным примером расчетов и экспериментов, достойных упоминания. Однако ее автор, епископ Джеймс Ашшер, основывался на Библии и числе поколений, которое, как он высчитал, прошло от Адама и Евы до наших дней. Богослов привел эти расчеты в 1650 году в своей книге Annales veteris testamenti, а prima mundi origine deducti ( «Анналы мира»). Он не первый делал оценки этого важного события, обладающие такой же точностью. Так, бенедиктинский монах Беда Достопочтенный в VIII веке указал, что создание Земли произошло в 3952 году до н.э., французский эрудит Жозеф Жюст Скалигер уверял в XVI веке, что это случилось в 3949 году до н.э., а английский священнослужитель и заместитель ректора Кембриджского университета Джон Лайтфут выступал в XVII веке за 3929 год до н.э.

Определение возраста Земли очень интересовало церковников, которые использовали эти оценки для придания Библии большей весомости, но проблема не вызывала интереса ученых. В частности, вычислением возраста Земли не занимались греки и арабы, имевшие многочисленные достижения в других научных областях. Только к середине XVIII века натуралисты разработали и применили некоторые методики, связывавшие ископаемые слои. Английский геолог Уильям Смит в 1790 году установил, что два слоя, содержащие ископаемые с похожими характеристиками, должны относиться к одному времени, даже если они находятся в очень удаленных друг от друга географических и/или геологических областях. А на основе числа слоев и оценок времени между ними можно установить возраст Земли. Михаил Ломоносов в середине XVIII века предположил, что Земле может быть несколько сотен тысяч лет.

Б свою очередь, Жорж-Луи Леклерк, граф де Бюффон, французский математик, биолог и естествоиспытатель, поставил в 1779 году эксперименты, в которых измерил время охлаждения железных шаров, состав которых предположительно подобен составу Земли, и, экстраполировав результаты, установил значение от 50 до 75 тысяч лет. Это утверждение стоило ему нескольких столкновений с Церковью и означало, что Земля древнее всех ископаемых остатков, известных на то время. Б 1860 году эти ископаемые привели английского геолога Джона Филипса к оценке возраста Земли примерно в 100 миллионов лет, что было представлено как верное значение прусским философом Иммануилом Кантом в его «Всеобщей естественной истории и теории неба», опубликованной в 1755 году. Но, без сомнений, дальше всех пошел шотландский натуралист Джеймс Геттон; в 1788 году он утверждал: не существует следов того, что у Земли когда-либо было начало, а также признаков того, что у нее когда-нибудь будет конец. Вплоть до XIX века эту идею принимали большинство геологов.

ТОМСОН СДЕЛАЛ СВОИ РАСЧЕТЫ ...

Английский натуралист Чарлз Дарвин в 1859 году опубликовал свою главную работу — «Происхождение видов путем естественного отбора, или сохранение благоприятных рас в борьбе за жизнь». Влияние этой работы на науку о жизни было, как хорошо известно, более чем примечательным. Основываясь скорее на качественных аргументах, связанных со скоростью протекания эволюционных биологических процессов, Дарвин склонялся к мысли о том, что Земля существует практически с неопределенного времени.

Друг Дарвина, британский адвокат и геолог Чарлз Лайель, один из основателей современной геологии, высказал в своих «Основных началах геологии», опубликованных в 1830 году, идею о том, что Земля имеет возраст порядка миллиардов лет или больше. Он опирался на то, что для завершения геологических процессов необходимы чрезвычайно большие сроки. Согласно Лайелю и его коллегам, силы, задействованные на геологическом уровне, в течение бессчетного количества лет оставались неизменными.

Но эти качественные рассуждения не удовлетворяли Томсона, который изучал проблему, стремясь применить к физической системе, являющейся Землей, законы термодинамики, в которых он прекрасно разбирался. Отправная точка звучала просто: в соответствии с этими законами энергия, имеющаяся в распоряжении для осуществления всей геологической деятельности, изначально была конечной и с течением времени она должна постепенно уменьшаться. Основой расчетов Томсона был закон сохранения энергии. Его изначальная гипотеза была очень ясной: уровень тепла, потерянного планетой через ее поверхность, устанавливает определенные ограничения на отдаленность от нас момента, когда была образована Земля.

Это важное предположение, наряду с научным авторитетом, которым в то время уже обладал Томсон, позволило ему подойти к проблеме с чрезвычайным высокомерием, безжалостно круша геологов и биологов своего времени. В качестве примера достаточно начала его работы «О вековом охлаждении Земли»:

«В течение 18 лет меня беспокоила мысль о том, что основные принципы термодинамики игнорируются этими геологами, которым они упорно противопоставляют всяческие безумные гипотезы. Они утверждают не только то, что сейчас перед нами на Земле происходят примеры всевозможных действий, из-за которых ее оболочка менялась на протяжении геологической истории, но и что эти действия в целом никогда не были более интенсивными, чем сейчас».

Другой пример едкой дискуссии мы видим в разговоре Томсона с шотландским геологом Эндрю Рамзаем в 1867 году. На его утверждение - «Я не могу оценить и понять причин, по которым вы, физики, ограничиваете геологическое время, так как вы не способны понять геологических причин наших ограничительных оценок» — Томсон ответил: «Ты сможешь понять рассуждение физиков, если начнешь над этим думать».

Согласно модели Томсона, Земля образовалась в результате застывания некоторого количества расплавленного материала. После застывания у системы должна была быть однородная начальная температура, и она должна была находиться в среде, поддерживавшей на поверхности Земли постоянную температуру. Томсон предположил, что дополнительные источники тепла отсутствовали, и рассмотрел систему, используя уравнение распространения тепла в твердых телах, которое за несколько лет до этого разработал Фурье и с которым Томсон был хорошо знаком с молодых лет. При таких обстоятельствах температура в любой точке земного объема зависела только от расстояния от этой точки до поверхности и от времени, пройденного от начального состояния. Решая уравнение Фурье, ученый нашел отношение между временем, пройденным от начала, начальной температурой системы, температурным градиентом на поверхности и константой, которая называется термодиффузией. Этих величин было достаточно, чтобы оценить возраст Земли.

На тот момент Томсон не располагал достаточным количеством экспериментальных данных для проведения необходимых расчетов и определения возраста Земли, так что он начал измерять температурный градиент на земной поверхности, проводимость различных пород и так далее. Через несколько лет, когда ученый представил Эдинбургскому королевскому обществу свою работу «О вековом охлаждении Земли», у него уже была информация, необходимая для таких расчетов. Он рассматривал средний температурный градиент земной поверхности около 35 °с/км; для термодиффузии он предложил значение порядка 10-6 м2 с-1 и оценил начальную температуру Земли примерно в 4000 °С, что было равно температуре плавления некоторых пород. При таких значениях было установлено, что возраст Земли равен 130 миллионам лет.

Томсон (в центре) с физиком Николсом и дипломатом Шурманом в Корнелльском университете, США.

Томсон с супругой в день обретения ученым дворянского титула. Фотография 1892 года.

Томсон и его супруга на железнодорожном заводе.

РАСЧЕТ ТОМСОНА

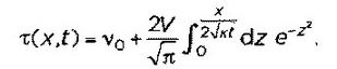
Условия, взятые Томсоном за основу для осуществления расчетов о возрасте Земли, позволили ему рассматривать очень простую модель, схематически представленную на рисунке. Земля после образования имела однородную температуру Т0 и взаимодействовала со средой с постоянной температурой Тсреда. Первым шагом был расчет температуры ?(х, t) в любой точке земного объема, расположенной на расстоянии х от поверхности по истечении времени t от начального момента. Для этого Томсону нужно было только решить уравнение теплопроводности Фурье

??(x,t)/?t = ? · ?2?(x,t)/?x2,

где ? — термодиффузия. Томсон предложил в качестве решения этого уравнения функцию

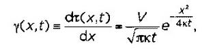
Здесь ?0 = (T0 + Тсреда)/2, а V = (Т0 - Тсреда)/2. Простой расчет позволяет проверить, что это решение действительно удовлетворяет дифференциальному уравнению. Кроме того, видно, что при начальном состоянии, t = 0, все внутренние точки земного объема (то есть при х > 0, справа от земной поверхности на рисунке) имеют температуру T0, а все внешние относительно Земли точки (то есть при х < 0, слева от земной поверхности на рисунке) имеют температуру Тсреда. Таким образом, можно вычислить температурный градиент, ?(x, t), в любой точке, то есть коэффициент изменения температуры в этой точке на единицу длины, перпендикулярной плоскости поверхности, который будет равен

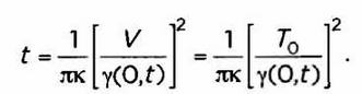
а на земной поверхности, то есть для х = 0, он равен

?(0,t) = V/?(??t)

Если выделить t в этом уравнении и учитывать, что поскольку T0 (порядка нескольких тысяч °С) намного больше Tсреда (порядка нескольких десятков °С), V ~ Т0, то получается

Теперь достаточно подставить значения, указанные в тексте (? = 10-6 м2 с-1, T0 = 4000 °С и ?(0, t) = 35 °С/км), чтобы получить для t 130 миллионов лет, предложенные Томсоном.

На самом деле Томсон определил диапазон от нескольких десятков до нескольких сотен миллионов лет, поскольку учел возможные погрешности экспериментальных данных, использованных для расчета. Через некоторое время он пересмотрел свои вычисления и свел оценку к 20 миллионам лет.

...НО ОШИБСЯ

Томсон доверял своей оценке возраста Земли в свете другого результата, который он сам получил немного ранее. Это очень важно для науки, поскольку если один и тот же результат можно найти двумя различными способами, не связанными между собой, достоверность этого результата растет. Воспроизводимость научных результатов - один из столпов, на которых основывается наука, и обязательный элемент ее развития.

Томсон изучал происхождение тепла, испускаемого Солнцем, и предположил, что время, в течение которого оно освещает Землю, и возраст нашей планеты должны быть одного и того же порядка. В соответствии с данными, доступными к 1850 году, было возможно вычислить (по крайней мере приблизительно) норму выработки тепла Солнцем. Но задача состояла в том, чтобы выяснить, обладает ли Солнце невозобновляемым источником тепла, ресурс которого истощается с момента образования светила, и, кроме того, может ли какой-то внешний процесс увеличивать этот запас тепла так, чтобы тепловая радиация могла поддерживаться в течение большего или меньшего времени.

За несколько лет до этого, в 1843 году, Джоуль экспериментально установил механический эквивалент тепла, доказав, что энергия тела, которое падает и сталкивается с другим, может быть трансформирована в тепло. На основе этой идеи некоторые ученые предположили, что возможный механизм производства солнечного тепла состоит в постоянном воздействии на Солнце метеоритов. Томсон вычислил, что в соответствии с солнечным теплом, измеряемым на поверхности Земли, норма материи, которая должна была действовать на Солнце, составляла бы примерно 5 кг в час (примерно 45 тонн в год), а поскольку масса светила - примерно 2 х 1030 кг, этот поток материи, влияющей на Солнце, мог бы сохраняться в течение миллионов лет. При этом изменение размера звезды было бы с Земли незаметно.

Следует отметить, что оценка Томсона о норме материи, воздействующей на Солнце, недостаточно учитывала реальное значение произведенной им энергии, поскольку, с одной стороны, значительная часть солнечного тепла отражается, прежде чем достигнуть земной поверхности, а с другой стороны, большая часть солнечной энергии испускается в виде света, ультрафиолетового излучения, радиоволн и так далее.

ВОСПРОИЗВОДИМОСТЬ

В научной методологии «воспроизводимость» — это свойство повторяемости, то есть то, что может быть воспроизведено с теми же результатами. Чтобы проиллюстрировать важность этой характеристики в науке, можно упомянуть два показательных примера. Ускоритель БАК (Большой адронный коллайдер) был построен для дополнения так называемой стандартной модели, открытия бозона Хиггса и изучения его свойств. Через некоторое время после его запуска, 4 июля 2012 года, было объявлено, что получены признаки существования этой частицы, обладающей характеристиками, которые предположил британский физик Питер Хиггс в 1964 году. БАК — это ускоритель огромных размеров (он занимает круглый туннель радиусом 27 км) и стоимости (несколько миллиардов евро), что несколько снижает воспроизводимость экспериментов. Чтобы преодолеть это ограничение, для сопоставления результатов были разработаны два детектора, ATLAS и CMS.

Установки БАК в Европейской организации по ядерным исследованиям в Женеве (Швейцария).

Холодный ядерный синтез

В 1989 году два авторитетных электрохимика, американец Стэнли Понс и британец Мартин Флейшман, сообщили, что во время простого электролиза тяжелой водой с палладиевыми электродами был получен избыток тепла, который можно объяснить только в рамках реакций ядерного синтеза, поскольку ученые наблюдали появление нейтронов и трития (радиоактивного изотопа водорода, имеющего в своем ядре протон и два нейтрона) — типичных продуктов для процессов данного типа. Холодный ядерный синтез — как был назван наблюдаемый процесс — в одночасье породил надежды на новый, практически неисчерпаемый источник дешевой энергии. Понс и Флейшман сообщили эту новость напрямую СМИ, не пропустив ее через фильтр, необходимый, когда речь идет о публикации любого научного открытия. Многие лаборатории мира попытались воспроизвести результаты, полученные этими учеными, и хотя вначале некоторые опыты показались положительными, через несколько месяцев было доказано, что эксперимент невоспроизводим, и его результаты были признаны недействительными.

Возмущения планетных орбит

Самая простая модель, необходимая для изучения орбиты планеты, вращающейся вокруг Солнца, - это предположение о том, что существует только Солнце и рассматриваемая планета. В этом случае планета следует вокруг Солнца по орбите, характеристики которой были впервые описаны немецким астрономом и математиком Иоганном Кеплером (в 1609 и 1618 годах), а затем в 1685 году выведены Ньютоном на основе его законов о движении и закона всемирного тяготения. Траектории - это эллипсы, большая (а) и меньшая (Ь) оси которых зависят от массы Солнца и планеты. Солнце находится в одном из двух фокусов эллипса, расстояние между которыми равно

?a = ?(a2 - b2)

от центра О, где ? - эксцентриситет. Траектории планет имеют не очень большой эксцентриситет: для Земли ? = 0, 017, в то время как у Меркурия, с его наибольшим эксцентриситетом, ? = 0, 21. Однако на орбиту каждой планеты влияет присутствие остальных планет, поскольку все они взаимно притягиваются. Именно это возмущение позволило Леверье предположить существование неизвестной планеты: для объяснения отклонений, наблюдаемых в орбите Урана, в 1846 году он сделал вывод о существовании Нептуна. Леверье сообщил о своем предположении астроному Иоганну Гопфриду Галле, который открыл планету менее чем в одном градусе от вычисленного положения. Леверье также заметил еще одну аномалию - в орбите Меркурия: происходило незначительное смещение перигелия его орбиты (на несколько десятков угловых секунд на век), что можно было объяснить с помощью законов классической механики. Воодушевленный успехом с Нептуном, Леверье предположил в 1859 году существование кольца материальных частиц между Меркурием и Солнцем — новой планеты, которую он назвал Вулканом. Хотя многие астрономы уверяли, что различили новую планету, другие наблюдения, произведенные во время солнечных затмений, дали отрицательные результаты, и после смерти Леверье в 1877 году существование Вулкана было отвергнуто. С объяснением упомянутой аномалии Меркурия пришлось ждать до 1915 года. Эйнштейн осуществил расчет в рамках своей недавно предложенной общей теории относительности. Таким образом, смещение перигелия Меркурия оказалось одним из первых подтверждений новой теории.

Оправданием Томсону может быть то, что в его время об этом еще не было известно.

Хотя сам Томсон был убежден в полученных результатах, он практически сразу же заметил некоторые проблемы, связанные с влиянием, которое такое количество материи, скопившейся на Солнце, могло оказывать на орбиты планет. Так, он заметил, что если бы метеориты падали на Солнце из более далеких точек, чем Земля, гравитационное взаимодействие между нашей планетой и Солнцем постепенно изменилось бы, и только за последние 2000 лет период вращения Земли вокруг Солнца увеличился бы, что привело бы к сокращению года на полтора месяца — количество времени, которым нельзя пренебречь.

Друг Томсона Стокс указал на то, что если бы метеориты падали на Солнце из точек, более близких к нему, чем Земля (что разрешало предыдущую трудность), но дальше, чем Меркурий или Венера, орбиты этих планет также изменились бы.

Когда в 1859 году французский математик Урбен Жан Жозеф Леверье открыл смещение перигелия орбиты Меркурия, он смог установить точные границы этого изменения, косвенно вынудив метеориты, ответственные за производство солнечного тепла, располагаться с самого образования звезды между нею и Меркурием, что невозможно, поскольку их никто никогда не наблюдал.

После того как была отвергнута метеоритная гипотеза, пришлось подождать некоторое время, пока в 1856 году фон Гельмгольц не предположил, что энергия, излучаемая Солнцем, и, следовательно, его светимость могут происходить из трансформации его гравитационной энергии. В работе «0 возрасте солнечного теша», опубликованной в 1862 году, Томсону удалось оценить возраст звезды на основе гипотезы фон Гельмгольца. Так, он установил, что время, в течение которого Солнце могло греть и освещать Землю, составляет от 10 до 20 миллионов лет, при этом маловероятно, что это происходит в течение 100 миллионов лет, и ни в коем случае - в течение 500 миллионов лет или больше. Действительно, если рассмотреть имеющиеся сегодня знания о величинах, участвующих в вычислениях ученого (универсальная гравитационная постоянная, профиль плотности Солнца, его масса и его радиус), то результат будет равен - самое большее - примерно 50 миллионам лет. Совпадение в оценках возраста Солнца и Земли придало теории Томсона еще большую весомость, хотя она и противоречила оценкам геологов и биологов.

Авторитет Томсона и строгость его расчетов затрудняли какую-либо критику полученного результата. Однако сегодня известно, что действительность ближе к значению, предложенному геологами XIX века, исходившими из качественных наблюдений. Методы радиоизотопного датирования, основанные на измерении числа различных радиоактивных атомов, присутствующих в геологических образцах или метеоритах, позволили определить возраст Земли с большой точностью, и сейчас принято значение 4500 миллионов лет, то есть в 5-20 раз больше, чем предложенное Томсоном.

Жители Земли не смогут продолжать наслаждаться светом и теплом, необходимыми для их жизни, в течение многих миллионов лет, если только в огромном складе мироздания не окажутся подготовленными источники тепла, неизвестные нам на данный момент.

Уильям Томсон

В чем была ошибка Томсона? Джон Перри (1850-1920), ирландский инженер и математик, а также помощник Томсона, рассказывает, что иногда его просили как-нибудь покритиковать расчеты Томсона, и всегда он отвечал одно и то же: «невозможно, чтобы лорд Кельвин совершил какую-нибудь ошибку в расчетах», и добавлял, что, может быть, секрет кроется в гипотезах, на которые опирался ученый. Каковы же были эти гипотезы? Вспомним, что основным вопросом в расчете Томсона было сохранение энергии, которым он воспользовался для анализа модели Земли — твердого тела с физическими свойствами, однородными по всему объему. При этом не существует дополнительных источников энергии или тепла, кроме того, что предоставлен начальным состоянием при постоянной и однородной температуре.

Обнаружение радиоактивности означало новый взгляд на эту проблему, поскольку сразу же была открыта роль ядерного распада в качестве источника энергии и, следовательно, возможный эффект, который следовало учитывать при оценке возраста Земли и Солнца. В случае с Землей включение этого нового источника тепла в расчет Томсона не изменило бы результатов слишком сильно. Это связано с тем, что на испускание тепла поверхностью планеты по-настоящему повлияла бы только радиоактивность, присутствующая в тонком поверхностном слое, так что даже учет земной радиоактивности в модели Томсона не позволил бы вычислить реальный возраст Земли. Сам Томсон придерживался своей идеи до конца жизни и продолжал доверять своим оценкам возраста нашей планеты.

Однако ситуация с радиоактивностью на Земле очень отличается от ситуации на Солнце, энергия которого, как мы знаем сегодня, является результатом ядерного синтеза: ядра водорода соединяются, образуя атомы гелия. Следовательно, учет ядерных и радиоактивных процессов значительно изменил бы оценку Томсона, касающуюся времени, в течение которого Солнце испускает тепло.

За год до открытия радиоактивности и за несколько лет до того, как была осознана ее роль в качестве источника тепла, Перри наметил решение. Для этого он включил в земную модель Томсона значительное новшество. Воспользовавшись своими же советами, Перри проанализировал гипотезу коллеги и вместо того, чтобы считать Землю твердым телом, предположил, что скалистая твердая часть составляет лишь внешний слой толщиной несколько десятков километров, а внутренняя часть мантии Земли расплавлена. Это фундаментальное изменение предполагало большую теплопроводность, чем в модели твердой Земли, поскольку при этом появляется второй механизм теплопередачи - конвекция, намного более эффективная, чем диффузия, в нетвердых средах. Перри, говоря о возрасте Земли, оценивал его в миллиарды лет, но его оценка не была принята в расчет. Отверг ее и сам Томсон. Однако спустя некоторое время радиоизотопное датирование позволило отдать гипотезе Перри должное. Современные исследователи Ингланд, Молнар и Рихтер в своей работе «Кельвин, Перри и возраст Земли» {American Scientist, 2007) уверяют, что если бы наука вовремя прислушалась к Перри, то важная для геодинамики теория дрейфа континентов была бы принята задолго до того, как это в итоге произошло.

Проблема возраста Земли вновь вышла на передний план в последние годы. «Креационистское» движение, которое в последнее время начало набирать силу и даже смогло изменить преподавание научных дисциплин в некоторых американских штатах, упорно выступает против достоверных результатов, полученных с помощью радиоизотопного датирования и геологических и биологических свидетельств. Креационисты утверждают, что Земля насчитывает самое большее примерно 10 тысяч лет и, следовательно, является самой молодой планетой. Интересный документ, оспаривающий доводы креационистов, на которых они строят свои расчеты, можно увидеть в работе Брента Далримпла под названием «Сколько лет Земле. Ответ «научному» креационизму».

Как уже было сказано, Томсон, вычисляя возраст Земли, допустил ошибки. И все же его попытка была прекрасным примером применеиия физики к проблеме, выходящей за рамки этой дисциплины. В наше время, когда междисциплинарность оказывается преимуществом в любых обстоятельствах, очень важно иметь перед глазами такой пример, как работа Томсона, который более 100 лет назад стремился использовать на практике некоторые понятия и законы физики.

И даже явный промах Томсона стал очень продуктивной ошибкой, потому что он вынудил научные сообщества геологов и биологов изменить методы исследований, развивать количественные техники и в то же время учитывать законы физики. Это стало очень важным изменением (которое даже можно назвать точкой бифуркации) в исследованиях, ведущихся с тех пор в этих естественных науках.

Более 800 000 книг и аудиокниг! 📚

Получи 2 месяца Литрес Подписки в подарок и наслаждайся неограниченным чтением

ПОЛУЧИТЬ ПОДАРОК