ГЛАВА 2 Квантовая механика

Начиная с 1925 года квантовая механика со своими особенными и такими далекими от классической физики понятиями начала выстраиваться в последовательную теорию, позволяющую объяснить самые разные явления атомного мира. Дирак стал одним из ее творцов. С помощью нового и оригинального подхода он попытался создать солидную математическую основу для этой теории.

В мае 1925 года Нильс Бор посетил Кембридж, где провел большое количество семинаров по вопросам, связанным с квантовой теорией. Датский ученый был в то время самой важной фигурой в этой области физики; он являлся неиссякаемым источником идей и вдохновения для молодых исследователей, занимающихся данной темой. Бор напомнил о проблемах, поставленных квантовой теорией, и о своей неспособности их решить. Он также поделился своей глубокой неудовлетворенностью тем, что приходилось рассматривать свет в одних случаях как нечто, состоящее из частиц, а в других — как волновое явление. Бор был убежден в необходимости совершенно иного подхода, найти который, по его мнению, могли только молодые и блестящие умы.

На Дирака, присутствовавшего на семинарах, личность датского ученого произвела большое впечатление, равно как и сила и убедительность его размышлений — настоящий поток идей, порой довольно трудно усваиваемый. Но Дирак критически относился к тому, как Бор занимался физикой. Его никогда особо не привлекал принцип соответствия датского ученого, поскольку он не был выражен ясным образом в математических формулах. Дирак выказывал некоторую сдержанность в отношении аргументов Бора, утверждая, что они слишком сконцентрированы на размышлениях философского характера и им не хватает солидной математической основы.

Спустя два месяца, в конце июля 1925 года, молодой немецкий физик Вернер Гейзенберг, который был старше Дирака всего на восемь месяцев, приехал в Кембридж, где провел семинар по атомной спектроскопии в рамках квантовой теории того времени (теории Бора — Зоммерфельда). В Кембридже никто не знал, что Гейзенберг предложил новую формулировку квантовой теории. Его работу еще не опубликовали, и немецкий физик никому не рассказал о ней, за исключением Фаулера в частной беседе. Фаулер попросил его прислать экземпляр статьи сразу же после публикации и, как только получил его, в конце августа, сразу же переслал Дираку с запиской: «Что ты думаешь по этому поводу? Жду твоих комментариев».

Хотя Бор произвел на меня огромное впечатление, его аргументы носили качественный характер. Я же искал аргументов, которые могли быть выражены в виде уравнения. Работа Бора редко выражалась подобным образом.

Поль Дирак

С того момента в физике случился невероятный поворот — и в научной жизни Дирака тоже, поскольку он наконец получил возможность сконцентрироваться на «основополагающих» проблемах. Среди молодых и самых блестящих физиков началось настоящее соревнование за выстраивание нового видения природы, которое объяснило бы поведение микроскопического мира и для которого интуиция больше не являлась хорошим советником. В результате такого соревнования разные группы и исследователи получили независимо друг от друга одинаковые результаты — позже или раньше всего на несколько месяцев или даже на несколько недель.

Между 1925 и 1927 годами в трех странах появились три разные по виду формулировки новой квантовой теории: в Геттингене (Германия) Гейзенберг, Борн и Йордан разработали «матричную механику», в Цюрихе (Швейцария) Шрёдингер создал «волновую механику», а в Кембридже (Англия) Дирак представил собственное видение новой теории. Упомянутых физиков, а также Паули, можно считать основателями квантовой механики. Другие ученые тоже работали в данной области и внесли вклад в ее развитие; но эти шестеро первыми заложили фундамент нового научного здания.

ГЕЙЗЕНБЕРГ: РОЖДЕНИЕ КВАНТОВОЙ МЕХАНИКИ

Сначала Поль Дирак не смог осознать истинное значение статьи Гейзенберга. Напротив, она показалась ему преувеличенно сложной и несколько искусственной. Только углубившись в детали, он понял смысл революционного изменения, предложенного немецким физиком. Дирак начал усиленно изучать работу Гейзенберга, пытаясь понять ее и одновременно улучшить и превзойти.

Предложенная Гейзенбергом новая теория на самом деле противоречила принципу относительности, поэтому главной целью Дирака стало расширить данную теорию и снять это противоречие. Подобное намерение было исключительно амбициозным для того времени, даже для самого Дирака. Скоро ему пришла в голову главная идея, позволившая переформулировать теорию Гейзенберга. Она была связана с одним из аспектов теории, который сам немецкий физик считал достаточно спорным: некоммутативность переменных.

В чем заключалась новая теория, предложенная Гейзенбергом? Что сразу же сделало ее столь революционной? Косвенно ответ на данный вопрос давался во вступлении к статье: 

«[Речь идет о том, чтобы] заложить основы квантовой механики, основываясь исключительно на соотношениях между величинами, которые являются, в принципе, наблюдаемыми».

В классической теории понятие траектории частицы четко задано, и траектория даже может быть определена. Модель атома Бора состоит из электронов, движущихся вокруг ядра по определенным траекториям — орбитам электрона.

ГЕЙЗЕНБЕРГ И ПРИНЦИП НЕОПРЕДЕЛЕННОСТИ

В 1925 году Вернер Гейзенберг (1901-1976) опубликовал основополагающую статью, которая ознаменовала рождение квантовой механики.

Затем с Максом Борном и Паскуалем Йорданом он разработал матричную квантовую механику. В 1927 году Гейзенберг сформулировал принцип неопределенности, который выражается формулой

?? - ?? ? ђ/2.

В квантовой механике этот принцип устанавливает предел точности, с которой может быть измерена пара величин, например местоположение и импульс. Принцип неопределенности, лежащий в основе «копенгагенской интерпретации» квантовой теории, является одним из основополагающих принципов современной физики. Он косвенно заключает в себе объяснение взаимодействия частиц. Принцип Гейзенберга не является ограничением, связанным с погрешностью измерений; наоборот, он — важнейшее следствие квантовой теории. Даже в случае идеального опыта принцип неопределенности все равно будет действовать.

Гейзенберг получил Нобелевскую премию в 1932 году за «создание квантовой механики». Немецкий физик также работал над квантовой теорией излучения и первым ввел понятие «изоспина» в ядерном взаимодействии. Несмотря на трудности, с которыми он столкнулся в период фашизма, Гейзенберг решил остаться в Германии во время Второй мировой войны и был вынужден участвовать в немецкой ядерной программе. Это был самый противоречивый период его жизни. В последующие годы он сконцентрировал усилия на развитии науки в Германии, участвуя в конференциях и публикуя научные труды. Как и Эйнштейн, и другие физики после него, Гейзенберг посвятил последние годы поиску единой формулы, описывающей фундаментальные взаимодействия.

Идея Гейзенберга заключалась в радикальном изменении модели Бора. Он полагал, что местоположение, скорость и траектория не являются напрямую измеряемыми величинами, и следовательно, их нужно заменить на другие, имеющие более удовлетворительную квантовую интерпретацию — такие, например, как энергетические уровни и амплитуда перехода. С помощью этой основополагающей идеи Гейзенберг рассмотрел простую ситуацию с одномерным гармоническим осциллятором, которым являются, например, маятник или груз на пружине, и доказал, что описание динамических свойств (таких как положение или скорость частицы) требует введения операторов, зависящих от целых чисел (квантовых чисел), связанных с переходом от одного определенного квантового состояния к другому определенному квантовому состоянию.

Из этой зависимости от двух показателей следовало, что изначальные величины можно представить в виде строгой таблицы чисел, составленной из строк и столбцов. Такая конфигурация устанавливала более чем странное свойство: результат не обладал свойствами коммутативного умножения. Другими словами, итоговый результат зависел от порядка сомножителей. Сначала Гейзенберг посчитал данный результат ошибкой, недостатком теории, который следует устранить. И все же он рискнул послать статью своему научному руководителю, Максу Борну, который немедленно решил опубликовать ее.

НА СЦЕНУ ВЫХОДИТ ДИРАК

То, что Гейзенберг считал слабым местом новой теории, Дираку казалось наиболее важной ее идеей. Он детально изучил классическую механику и формализм Гамильтона и прекрасно знал о существовании переменных и величин, которые не обладают свойствами коммутативного умножения. Но можно ли было провести аналогию между новыми квантовыми величинами Гейзенберга и переменными классической теории? Ответ на данный вопрос пришел Дираку внезапно, когда он вспомнил о «скобках Пуассона». Позднее он рассказывал:

«Это произошло во время одной из моих воскресных загородных прогулок в октябре 1925 года. Я не мог выкинуть из головы комбинацию квантовых переменныхху — ухи внезапно вспомнил о конструкции, называемой «скобками Пуассона», которую достаточно часто использовала классическая механика. Вернувшись домой, я перечитал все свои записи и имевшиеся книги, чтобы разрешить собственные сомнения, но все было напрасно. Ночью я практически не сомкнул глаз. На следующий день с самого раннего утра я отправился в библиотеку и там нашел то, что искал, — в «Аналитической динамике» Уиттекера, которую я детально изучал в прошлом».

После нескольких недель упорной работы Дирак вывел искомое соотношение:

xy - yx = ih/2? [x,y].

Это уравнение напрямую связывало квантовые величины, или операторы Гейзенберга, с классическими переменными, введенными благодаря скобкам Пуассона, [х, у]. В уравнении использовалась постоянная Планка h, коэффициент 2? и мнимая единица i = ?-1. Уравнение можно было записать с помощью «редуцированной постоянной Планка», равной

? = h/2?

Данное понятие было введено Дираком в 1930 году.

Несмотря на проявленную ученым сдержанность в отношении принципа соответствия Бора, этот самый принцип представал здесь как основа теории. Соответствие между квантовыми переменными и классическими, а также Гамильтонов формализм быстро привели Дирака к его новой теории. Все обретало смысл, а результаты и основополагающие принципы, такие как принцип сохранения энергии и правило частот Бора, находили естественное объяснение.

Дирак закончил статью «Основные уравнения квантовой механики» в ноябре 1925 года и отправил ее Фаулеру, который тут же осознал важность и глубину работы своего студента.

СКОБКИ ПУАССОНА

Скобки Пуассона были введены в 1809 году французским физиком и математиком Симеоном Дени Пуассоном (1781-1840). Они представляют собой очень полезное понятие в аналитической механике: с их помощью можно вывести основные уравнения движения. Общее определение этого понятия следующее.

Возьмем две произвольные функции F и G, зависящие от обобщенных пространственных и временных координат: qj, рj. Скобки Пуассона определяются через

[F,G] = ?(?F/?qj ?G/?pj - ?F/?pj ?G/?qj).

Отношение между классическими переменными задано: [qi,qj]=[pi,pj=0; [qi, pj] = ?ij, где ?ij является функцией дельты Кронекера, то есть ?ij = 0 для i ? j и ?ij =1 для i = j. В особых случаях функции Гамильтона (гамильтониан) H (qj,pj,t), то есть функции, определяющей энергию системы, скобки Пуассона позволяют получить следующие основные уравнения движения:

dqj/dt = [qj,H]; dpj/dt = [pj,H];

dF/dt = [F,H] + ?F/?t.

Методом Пуассона можно идентифицировать постоянные системы, то есть величины, которые сохранились. Любая функция, где скобки Пуассона с гамильтонианом равны нулю, соответствует постоянной движения. Соответственно, скобки Пуассона любой постоянной движения с гамильтонианом должны быть равны нулю.

Не прошло и трех недель, как она была опубликована в журнале Proceedings of the Royal Society. В то время имя Дирака было совершенно неизвестно международному научному сообществу, при этом его статья наделала много шума среди ведущих ученых в области квантовой физики. Бор выразил свое изумление «восхитительной работой» молодого неизвестного физика. А Гейзенберг, едва получив рукопись, отправил Дираку письмо с поздравлениями.

Несомненно, Дирак сделал огромный шаг вперед в своей научной карьере, расположившись в авангарде новой квантовой теории и войдя в небольшую группу ее создателей. В то время физики яростно соревновались за право считаться создателями основ новой теории, и неудивительно, что некоторые испытали разочарование после появления статьи Дирака. В связи с этим можно оценить тактичность, с которой после поздравлений Гейзенберг написал Дираку следующее:

«Надеюсь, Вы не будете огорчены, узнав, что существенная часть Вашей работы уже была проделана ранее и опубликована Борном и Йорданом. Это никоим образом не умаляет заслуг Вашей статьи; ее формулировки в некотором смысле превосходят полученные здесь».

На самом деле Борн, Йордан и Гейзенберг сформулировали то, что называется «матричным формализмом» квантовой механики. Благодаря работам, законченным незадолго до Дирака, они получили одинаковые с ним результаты без использования скобок Пуассона.

Дирака вовсе не разочаровал тот факт, что не он первым открыл основные уравнения квантовой механики (кстати, это был не последний раз, когда его обошли). Напротив, его уверенность в том, что его теория верна и корректна, а в некоторых аспектах и превосходит формулировку, выработанную немецкими коллегами, только возросла. Дирак последовал совету американского физика Джона X. Ван Флека («Я бы хотел увидеть, сможет ли одна из развившихся теорий воспроизвести энергетические уровни старой модели Бора для атома водорода») и решил проверить, может ли его модель воспроизводить энергетические уровни. Похожий результат был получен несколькими месяцами ранее Паули.

МАКС БОРН И ПАСКУАЛЬ ЙОРДАН

Борн и Йордан вместе с Гейзенбергом создали матричный формализм квантовой механики. Макс Борн (1882-1970) работал в разных центрах (Кембридж, Берлин, Франкфурт) и сотрудничал с блестящими физиками и математиками того времени: Томсоном, Лармором, Минковским, Планком и Штерном. В 1921 году он стал профессором физики университета Геттингена (Германия), где преподавал в течение следующих 12 лет. Это был наиболее плодотворный период его научной деятельности, в течение которого Борн превратил университет Геттингена в главный центр исследования квантовой теории. Его учениками и ассистентами были Гейзенберг, Паули, Йордан, Оппенгеймер, Ферми, Теллер, Вигнер и Вайскопф. Семеро его студентов получили Нобелевскую премию. Паскуаль Йордан (1902-1980) начал свое образование в техническом университете Ганновера, сменив его в 1923 году на университет Геттингена. Он стал первым ассистентом математика Рихарда Куранта, а затем Борна, под руководством которого и написал диссертацию.

Макс Борн.

Математическое основание квантовой механики

В кильватере первопроходческой работы Гейзенберга 1925 года Борн и Йордан (потом совместно с Гейзенбергом) разработали общую формулировку квантовой механики благодаря использованию матричного исчисления. В 1926 году Борн ввел вероятностную интерпретацию волновой функции, придав ей физическое значение. Этот вывод, вызвавший бесконечные споры об основах квантовой механики, лежит в основе «копенгагенской интерпретации». В 1933 году Борн переехал в Великобританию, где в 1936 году стал профессором университета Эдинбурга. В 1954 году он получил Нобелевскую премию по физике. Йордан со своей стороны работал над созданием солидной математической основы квантовой теории и вместе с Дираком сформулировал новаторские идеи в области квантовой теории поля. В 1933 году он вступил в партию нацистов, в результате чего Нобелевскую премию ему не присудили. В последние годы научная деятельность Йордана была связана главным образом с исследованиями в области геологии и биологии.

АЛГЕБРА КВАНТОВЫХ ЧИСЕЛ

Дирак разработал формализм квантовой механики независимо от своих коллег в университете Геттингена и ввел понятие «q-чисел» для квантовых переменных. Он также четко разграничил q-числа, в которых буква «q» отсылает к quantum (квантовый) или к queer (странный, причудливый), и с-числа, в которых буква «с» означает classics (классический) или commuting (коммутативный). Так он четко отделил квантовый мир от классического. Хотя Дирак был убежден в превосходстве своей версии квантовой теории над матричной механикой Гейзенберга, Борна и Йордана, он быстро осознал, что на самом деле оба подхода равносильны:

«Мне понадобилось время, чтобы убедиться: мои q-числа на самом деле не являются более общими, чем матрицы, и обладают теми же недостатками, что и математически доказанные недостатки матриц».

Летом 1926 года Дирак разработал новую версию своей квантовой теории, известной под названием «алгебры q-чисел». Представленная в виде чисто математической теории, без каких-либо отсылок к проблемам именно физики, данная работа не произвела особого впечатления на сообщество ученых-физиков. Только некоторые из них, интересовавшиеся исключительно математическими аспектами квантовой механики, такие как Йордан, проявили любопытство. Последний оценил теорию Дирака следующим образом: «Я нахожу публикацию Дирака крайне интересной. По моему мнению, математика столь же интересна, как и физика». Дирак ввел общее определение различения квантовых переменных (q-чисел) и из этой дифференциации вывел коммутативное соотношение между операторами положения (q), момента (р) и орбитального момента (L) — эти отношения уже были найдены в матричной механике Борна, Йордана и Гейзенберга. Данные результаты сегодня являются отправной точкой любой работы в области квантовой механики.

Таким образом, алгебра q-чисел появилась как альтернатива матричной механике. С момента публикации первой статьи Гейзенберга Дирак почти все свое время посвящал разработке собственной системы, стремясь показать, что его подход способен объяснить основные результаты, полученные в субатомном мире. Однако он занимался столь упорно, что не успевал обращать внимание на новые формулировки квантовой механики. Работы Дирака этого периода были приняты научным сообществом физиков с большим уважением, но произвели меньшее впечатление, нежели работы Гейзенберга, Борна и Йордана. Вникнуть в суть работы Дирака было нелегко, многим коллегам его стиль казался непонятным. Например, физик Джон Слейтер не скрывал своей неудовлетворенности:

«Существует два типа теоретических физиков. Первый объединяет таких людей, как я, — прозаичных и прагматичных, всегда пытающихся говорить и писать как можно яснее. Второй состоит из «волшебников», жестикулирующих так, словно сейчас достанут из шляпы кролика (как Дирак), и находящих удовлетворение только тогда, когда их тексты и объяснения выглядят глубоко таинственными ».

Начиная с весны 1926 года внимание всех, кто интересовался квантовой теорией, было приковано к университету Цюриха. Именно там практически никому не известный физик Эрвин Шрёдингер (1887-1961), до этого времени не принимавший никакого участия в разработке квантовой теории, предложил свой формализм квантовой механики. Большинству физиков того времени его описание показалось гораздо более понятным, нежели сложные матричные и алгебраические языки, использовавшиеся до тех пор.

ВОЛНОВАЯ МЕХАНИКА ШРЁДИНГЕРА

Дирак, по всей видимости, впервые услышал о новой теории Шрёдингера тогда же, когда была опубликована его первая статья, — во время приезда Зоммерфельда в Кембридж в марте 1926 года. Но тогда он был слишком погружен в разработку собственного формализма квантовой теории, чтобы уделять достаточно внимания новым предлагаемым подходам. Кстати, Дирак не был впечатлен волновым уравнением Шрёдингера, которое поначалу счел обратной стороной теории Луи де Бройля, уже оставшейся в прошлом. Вот как Дирак писал об этом:

УРАВНЕНИЕ ШРЁДИНГЕРА

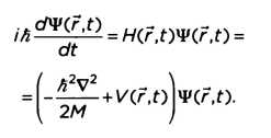
В теории Шрёдингера состояние квантовой системы определяется через сложную математическую функцию, называемую волновой функцией ?, которая зависит от времени и всех координат, определяющих наблюдаемую систему. Уравнение Шрёдингера представляет собой дифференциальное уравнение первого порядка. Оно включает зависимость от времени, которая выглядит следующим образом:

Переменная Н является функцией Гамильтона, которая включает в себя всю информацию об общей энергии системы — кинетической и потенциальной. Кинетическая энергия (связанная с движением) определяется дробью

где М является массой системы, а

— оператором Лапласа:

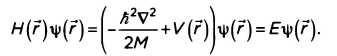
Наконец, величина V(?,t) означает потенциальную энергию. Когда гамильтониан не зависит от времени, уравнение Шрёдингера может быть решено через определение того, что мы называем «стационарными состояниями». Независимое от времени уравнение Шрёдингера позволяет определить волновую функцию, зависящую от пространственных переменных:

В данном случае (то есть в стационарном состоянии) гамильтониан, действуя на волновую функцию, выражает общую энергию системы. Иначе говоря, энергия Е составляет собственную величину гамильтониана. Уравнение Шрёдингера несовместимо с теорией относительности. Мы увидим, что способ введения пространственно-временных переменных в уравнение разнится. Если время появляется как производная первого порядка, то пространственные координаты выражаются производными второго порядка. Этот аспект противоречит неотъемлемому принципу теории относительности — симметричному обращению с четырьмя составляющими (тремя пространственными составляющими и одной временной), которые образуют «четырехмерный вектор пространство — время».

«Сначала я испытал некоторую враждебность по отношению к теории Шрёдингера. Зачем надо было возвращаться к состоянию, предшествовавшему Гейзенбергу, если уже была квантовая механика? Меня глубоко беспокоил риск возврата назад и, возможно, забвения всего прогресса, осуществленного квантовой теорией. На протяжении некоторого времени я испытал настоящую враждебность по отношению к идеям Шрёдингера».

Доказательством полного отсутствия интереса к формализму Шрёдингера служит тот факт, что Дирак никак не упомянул о нем в диссертации, которую представил в мае 1926 года.

Несмотря на сдержанность Дирака, волновую механику ждал огромный успех, большинство физиков того времени были рады забыть сложный и непонятный язык матриц и q-чисел ради простоты дифференциального уравнения Шрёдингера. В серии статей, опубликованных весной-летом 1926 года, Шрёдингер сформулировал основы своей новой теории, учитывающей энергетические уровни атома водорода. У него вся информация о системе заключалась в «волновой функции» — сложной математической функции, значение которой тогда не было очевидным.

Язык Шрёдингера сильно отличается от языка, используемого Гейзенбергом, Борном и Йорданом, а также Дираком. Это расхождение в теориях, описывающих и объясняющих одни и те же природные явления, особенно трудно было принять Дираку, который всегда пытался найти последовательное и единое описание субатомного мира. Физическую интерпретацию волновой функции дал Борн летом 1926 года. Сегодня она известна как «вероятностная интерпретация». Согласно ей «плотность вероятности нахождения частицы характеризуется квадратом волновой функции». Что касается соотношения обеих теорий — волновой и матричной механики, — сам Шрёдингер доказал их математическую эквивалентность в третьей статье. Похоже, Паули доказал это немного раньше, хотя ничего на данную тему не опубликовал.

ДИРАК И ВОЛНОВАЯ МЕХАНИКА

Доказательство математической эквивалентности волновой и матричной теории, или алгебры q-чисел, развеяло все сомнения, которые Дирак еще мог испытывать по поводу нового формализма. С тех пор ученый занял очень прагматичную позицию и признал, что некоторые проблемы значительно легче решаются с помощью волновой механики.

Так, очень скоро Дирак опубликовал новую статью под названием «О теории квантовой механики», в которой впервые использовал волновую теорию и применил ее к системам тождественных частиц.

Что такое «тождественные частицы» в квантовой теории и в чем именно состоит вклад Дирака? Чтобы ответить, нам надо ненадолго вернуться в предыдущий 1925 год и задаться другим вопросом: почему мы можем объединять химические элементы в определенные группы по их химическим свойствам? Паули объяснил, что химические свойства являются следствием того, каким образом электроны располагаются на соответствующих орбитах. Каждый электрон описывается серией квантовых чисел, характеризующих волновую функцию. Эти квантовые числа определяют энергию электрона, его орбитальный момент и новое свойство, которое пришлось ввести для объяснения результатов последних опытов, — «спин» (мы подробно рассмотрим его в следующей главе). Паули сформулировал следующий принцип:

«Два электрона не могут находиться в одном квантовом состоянии, то есть они не могут иметь одну и ту же совокупность квантовых чисел».

Данный принцип объяснил, почему атомные электроны располагаются на разных орбитах, занимая только те, которые свободны. На самом деле принцип Паули позволяет понять, почему вещество является таким, какое оно есть.

Другим важным свойством квантового мира является то, что мы не можем различить тождественные частицы. В классической физике положение частицы и ее состояние движения настолько прекрасно определяются, что даже при большом количестве частиц можно узнать, какое положение занимает каждая из них. Напротив, в квантовом мире положение четко определить невозможно и, соответственно, в случае с двумя электронами (назовем их a и b) и двумя квантовыми состояниями (m и n) невозможно узнать, в каком именно состоянии находится каждый электрон. На самом деле ситуация, соответствующая электрону a в состоянии m (обозначим ее am) и электрону b в состоянии n (bn)> имеет такую же вероятность, как и обратная комбинация, an,bm. Если использовать более техническую терминологию, обе комбинации представляют одно и то же квантовое состояние и таким образом должны быть пропорциональны, с коэффициентом пропорциональности +1 или -1. Добавим, что если мы поменяем два раза подряд положение двух электронов, то полученная комбинация должна быть тождественна изначальной комбинации.

Дирак заключил из этого, что наиболее общим описанием квантового состояния должна быть линейная комбинация двух возможностей: ambn ± anbm. Если мы рассмотрим знак «+» и поменяем состояния тип или электроны а и 6, то получим один и тот же результат. Данное свойство называется «симметричной комбинацией». Наоборот, знак «-» соответствует антисимметричной комбинации, в которой изменение состояний и электронов означает изменение знака.

Поведение двух решений, таким образом, очень разное. Какое решение соответствует принципу запрета Паули? Дирак заключил, что единственно возможным ответом является антисимметричная комбинация. В этом случае, если два электрона окажутся в одном состоянии (то есть если m = n), полученная комбинация тождественна нулю. Иначе говоря, такого состояния не существует.

Дирак распространил свое исследование на молекулы газа, ошибочно предположив, что их можно описать как электроны с антисимметричными волновыми функциями. С помощью статистических методов он в итоге получил энергетическое распределение молекул. Кроме того, он показал, что кванты света или фотоны могут быть описаны через симметричные комбинации. В отличие от электронов, принцип запрета Паули не применялся к излучению: фотоны собирались в группы и стремились принять одинаковое состояние. Описание этого типа частиц как симметричных комбинаций привело Дирака к «статистике Бозе — Эйнштейна», появившейся несколькими годами раньше.

ДИРАК И ЭФФЕКТ КОМПТОНА

В 1916 году Эйнштейн ввел понятие «кванта света», или «фотона», обладающего определенной энергией и моментом импульса. Опыт, который наиболее очевидно показал корпускулярную природу света, был осуществлен в 1923-1924 годах американским физиком Артуром X. Комптоном (1892-1962). Параллельно Луи де Бройль высказал идею о дуалистической природе (корпускулярно-волновой) излучения. Рассеивая лучи определенной частоты графитом, он заметил, что у излучения длина волны меняется в зависимости от угла рассеивания (как показано на рисунке). Его результат противоречил классической теории излучения. Комптон объяснил изменение длины волны рассеянного излучения, рассматривая процесс как упругое столкновение фотона (частицы) и электрона графита.

Анализ Дирака

Дирак знал об опыте Комптона и решил применить свою теорию к этому явлению. Ему удалось воспроизвести изменение длины волны рассеянного излучения; кроме того, ученый, рассчитав интенсивность данного излучения, обнаружил, что его результат слегка отличался от результата Комптона 1923 года. Его работа, опубликованная в конце апреля 1926 года, была восторженно встречена в сообществе физиков. Однако слишком лаконичный стиль письма Дирака, а также трудный математический язык сделали его труды практически не поддающимися расшифровке для большинства коллег. Дирак понял и указал: его вычисления различаются с данными Комптона, и из этой разницы «следует, что абсолютная величина показателей Комптона на самом деле примерно на 25% меньше». Почти сразу после публикации статьи Комптон сообщил в письме Дираку: новые опыты, осуществленные в университете Чикаго, полностью подтвердили его теорию.

СТАТИСТИКА ФЕРМИ — ДИРАКА

Дирак опубликовал свою статью в августе 1926 года, вскоре после того, как Гейзенберг закончил похожее исследование атома гелия. Сразу же после выхода статьи Дирак получил письмо от итальянского физика Энрико Ферми, в котором были такие слова:

«В своей недавней работе Вы развили теорию идеального газа, основываясь на принципе запрета Паули. Я хотел бы привлечь Ваше внимание к похожей статье, которую я опубликовал в начале 1926 года».

Ситуация была достаточно неловкой для Дирака, который тут же извинился перед Ферми, признав, что видел его работу, но в то время не обратил на нее должного внимания:

«Когда я читал работу Ферми, я не смог оценить должным образом ее значение в связи с основными проблемами квантовой механики, которые меня интересовали. Во время написания собственной статьи об ассиметричных волновых функциях я просто забыл о его работе».

На рисунке изображено поведение бозонов (слева) и фермионов (справа). Все бозоны (целый спин) стремятся занять состояние минимальной энергии. Фермионы (полуцелый спин) подчиняются принципу запрета Паули и не могут занимать состояния, имеющие те же квантовые числа.

Снова другой физик опередил Дирака в решении научной проблемы. Однако, как и в прошлый раз, ученый не огорчился, а его работа, несмотря ни на что, была хорошо принята в научном сообществе. С тех пор статистика, применяемая к системам таких частиц, как электроны, называется «статистикой Ферми — Дирака». Позднее, в 1947 году, Дирак ввел понятия «фермионов» и «бозонов» для частиц, которые подчинялись правилам статистики Ферми — Дирака и Бозе — Эйнштейна (см. рисунок на предыдущей странице).

Хотя работа Дирака и была принята с большим интересом, кое-кто из физиков счел ее слишком сложной для понимания, как многие его прошлые и будущие статьи. Шрёдингер смиренно, но не без иронии заметил Бору:

«Я нашел работу Дирака очень важной, хотя многие места не понял. [...] У Дирака оригинальный и подходящий ему способ мыслить, который — по той же самой причине — наверняка приведет его к самым важным и неожиданным результатам, пусть даже они останутся непонятными для нас. Дирак не имеет представления о том, насколько сложно обыкновенным людям воспринимать его работы».

ПЕРВАЯ ПОЕЗДКА: КОПЕНГАГЕН

В сентябре 1926 года Дирак решил дополнить свое научное образование годовой стажировкой в университете Геттингена, где родилась квантовая механика. Однако, по совету Фаулера, он отправился сначала на пять месяцев в Копенгаген. В датской столице Дирак оказался рядом с самыми блестящими физиками того времени: Бором, Гейзенбергом, Клейном, Эренфестом, Паули и другими. Бор не сыграл решающей роли в развитии квантовой теории, но имел большое влияние в этой области физики. В Копенгагене его институт был одним из центров новой теории, местом встреч ученых, обсуждений и сотрудничества. Таким являлся метод работы Бора, заключавшийся в бесконечных дискуссиях и доказательствах, которые доводили до изнеможения его коллег — как случилось со Шрёдингером через несколько недель после приезда Дирака. Нет никаких сомнений в том, что новая рабочая обстановка, создающая контраст с жесткой системой Кембриджа, оказала влияние на Дирака. Несколькими годами позже он вспоминал:

«Бор, кажется, был самым глубоким мыслителем из всех, кого я когда-либо встречал. [...] В то время мы вместе осуществляли долгие прогулки и бесконечно разговаривали. Хотя я должен признать, что в основном говорил Бор».

Несмотря на живую атмосферу Копенгагена, Дирак не изменил своим привычкам. Он продолжал работать в одиночестве и держался в стороне от постоянных обсуждений, происходивших в институте. Его повседневная жизнь заключалась в работе с понедельника по субботу в библиотеке и привычных загородных прогулках по воскресеньям. Свидетельства студентов того времени хорошо описывают характер и рабочие привычки физика:

«Дирак всегда казался нам таинственным. Он часто сидел один в самом отдаленном углу библиотеки, в самой неудобной позе, полностью погруженный в свои мысли. [...] Он мог провести весь день в одной позе, за один присест написать целую статью, ни разу не оторвав глаз от своего документа».

Дирак с самого начала не выказывал особого желания к возможной совместной работе с коллегами, в частности с Бором. Если он участвовал в семинарах и конференциях, организованных в институте, то лишь в качестве простого слушателя. В то время оживленные дискуссии об основах квантовой механики и вытекавшие из них гносеологические споры не представляли большого значения в его глазах; математическая формулировка теории казалась Дираку более важной. Его подход к физике не мог быть еще более отличным от подхода Бора. Дирак считал, что Бор излишне озабочен размышлениями, которые невозможно было ясно сформулировать; он блуждал вокруг одного и того же вопроса и не приходил ни к какому выводу.

Портрет Поля Дирака (вверху) и Нильса Бора. Они много общались во время пребывания Дирака в Копенгагене.

Поль Дирак (слева) с физиками Вольфгангом Паули (в центре) и Рудольфом Пайерлсом в университете Бирмингема.

По мнению Дирака, математическая формулировка была единственным способом точно определить физические понятия.

Различие взглядов Бора и Дирака ясно демонстрирует один дошедший до нас анекдот. Завершив исследование, Бор имел привычку диктовать своим молодым помощникам полученные результаты, что было настоящим кошмаром, поскольку ученый бесконечно менял аргументы и никогда не был удовлетворен способом изложения. Вскоре после приезда в Копенгаген Дираку выпала «честь» помогать блестящему Бору в работе над его новой статьей. Через несколько минут после начала «диктовки» Дирак пришел к выводу, что у него есть более полезные занятия, нежели бесконечное переписывание одной и той же фразы в ожидании того, когда Бор решит, является ли формулировка достаточно точной. Единственное замечание, сделанное Дираком, было кратким и ясным: «В школе меня учили, что нельзя начинать фразу, если не знаешь, как ее закончить». Так он дал понять Бору, что тому нужно найти другого помощника.

ТЕОРИЯ ПРЕОБРАЗОВАНИЙ

Дирак оказался в Копенгагене во время разгара споров о вероятностной интерпретации волновой функции Шрёдингера. Месяцем раньше Борн разработал эту вероятностную интерпретацию, использовав квадрат значения волновой функции. Однако ее отвергли такие блестящие физики, как Эйнштейн и в том числе сам Шрёдингер. Зато вероятностная интерпретация была принята Бором и большинством его соратников. Хотя Шрёдингер доказал математическое соответствие волновой и матричной механики, значительная часть физиков полагала, что необходимо выработать единую схему, которая объединила бы различные формулировки квантовой механики, введя вероятностную интерпретацию волновой функции и ее соотношение с матричными операторами. Эта схема была разработана независимо друг от друга Дираком и Йорданом. Статья Дирака появилась в январе 1927 года под названием с Физическая интерпретация квантовой динамики». Она считается одной из самых важных и самых полных его работ. В частности, в статье была представлена самая строгая и самая общая математическая формулировка квантовой механики.

Дирак назвал ее «теорией преобразований». Ученый всегда испытывал некоторую гордость по поводу данной теории, которую он, по его собственным словам, шаг за шагом выстраивал, опираясь исключительно на логические рассуждения. «Эта работа доставила мне больше удовольствия, чем все другие, предыдущие или последующие»,— говорил Дирак. Коллеги признали общий и оригинальный характер его работы и были впечатлены неумолимостью его логики. Они увидели в ней «необычайный прорыв». Однако стиль Дирака остался неизменным, и такие крупные физики, как Оскар Клейн, не могли не заметить:

«Нам понадобилось некоторое время, чтобы понять его аргументы, поскольку на своих семинарах он тщательно писал на доске все формулы и рисовал графики, но практически не пояснял их. За ходом его рассуждений было действительно тяжело следить».

Матричная механика, или алгебра q-чисел, и волновая механика были очень разными теориями, которые описывали одни и те же природные явления. Требовалось соотнести их, чтобы показать, что они являются равнозначными. Дирак представил свою работу следующими словами:

«Вот общая схема, в ней сформулированы все вопросы, на которые квантовая теория может ответить однозначно. Она содержит всю физическую информацию, которую можно получить из квантовой динамики, и то, каким способом можно это осуществить».

Рассмотрим кратко некоторые основные аспекты новой теории Дирака. В рамках матричной механики Гейзенберга, Борна и Йордана утверждается использование канонических преобразований. «Каноническим преобразованием» называют любое преобразование, сохраняющее основные количественные отношения. Возьмем, например, случай с двумя квантовыми операторами, связанными с положением (q) и моментом (р), для которых qp -pq = i?I, где I является матрицей тождественного оператора. Каноническое преобразование заключается в определении оператора преобразования, который позволяет выстроить две новые динамические квантовые переменные (Р, Q), продолжающие соблюдать отношение квантования PQ - QP = i?I. Отношение между изначальными переменными и новыми выражается следующим образом:

Р=ТрТ-1, Q = TqT-1

где Т является оператором преобразования, а T-1 — его обратной величиной, то есть TT-1 = T-1T = I. Использование канонических преобразований подтверждается в процессе диагонализации гамильтониана, который позволяет определить энергии рассматриваемой системы.

Главной целью Дирака было определение «реального» значения оператора преобразования и его отношения к волновой функции Шрёдингера. Дирак заключил, что собственные функции волнового уравнения Шрёдингера соответствуют операторам преобразования, которые позволяют получить диагональный вид гамильтониана. Так физик соединил в одно целое формализм квантовых операторов Гейзенберга, Борна и Йордана и их правила квантования и формализм Шрёдингера с его дифференциальным уравнением и его волновой функцией. Теория преобразований вводила, кроме того, свойства и принципы, которые Дирак считал главными в любой квантовой теории. Эти свойства стали точкой отсчета значительной части его последующих работ.

Величие научной идеи зиждется на ее способности поощрять мысль и открывать новые направления для исследования.

Поль Дирак

В ходе разработки теории преобразований Дирак ввел новую важную переменную, которая со временем стала полезным инструментом развития современной физики, — функцию ?. Язык современной физики невозможно понять без ее использования. В наши дни любой текст по квантовой теории содержит специальные разделы, посвященные функции Дирака и ее главным свойствам, она участвует в решениях всех проблем, относящихся к субатомному миру. В статье «Физическая интерпретация квантовой динамики» Дирак писал о введении функции ?:

«Мы не можем двигаться вперед в развитии матричной теории с вереницей строк и столбцов, не введя для этого функцию с-числа, называемого х, которая равна нулю во всех точках — кроме точки, где x крайне мало, — и интеграл которой в любой окрестности x = 0 равен 1».

Дирак сформулировал свою функцию в следующем виде:

?(x) = 0, если x ? 0;

+?

??(x)dx = 1,

-?

и затем утверждал:

«Конечно, ?(x) не является собственно функцией числа х, но она может рассматриваться как предел последовательности ряда функций. Как бы там ни было, ?(x) может использоваться как собственно функция в практических целях разрешения любой проблемы квантовой теории, и полученные результаты никогда не будут ошибочными».

Работа Дирака в очередной раз показалась коллегам восхитительной, но он не первым пришел к подобному выводу. Йордан изучал ту же проблему и разработал собственную теорию преобразований. И если путь двух физиков был разным, выводы их совершенно совпадали. Через два месяца после публикации работ Дирака и Йордана Гейзенберг сформулировал принцип неопределенности, математическая формулировка которого основывалась большей частью на теории Дирака — Йордана. Дирак сформулировал в своей работе идею, близкую к принципу неопределенности Гейзенберга:

ФУНКЦИЯ ? ДИРАКА

Дирак не первым использовал функцию ?, но он обобщил ее применение, превратив ее в главный инструмент развития квантовой теории. Функция ?(x) не является математической функцией в обычном смысле слова, это не функция, которая имеет определенные значения в каждой своей точке. Напротив, она принимает значение 0 при всех значениях х, кроме точки, где х = 0 и где она превращается в бесконечность. Дирак называл ее «несвойственной функцией», чтобы отличить от обычных функций и показать, что ее использование должно ограничиваться определенным типом проблем, с которыми она совместима. Физик заметил, что его несвойственная функция при х=0 не имеет четко определяемого значения, поскольку она появляется как часть интегрирования, результат которого является прекрасно определяемой величиной. Строгий анализ функции ?(x) представлен в теории распределений, развитой в 1945 году математиком Лораном Шварцем (1915-2002). Поведение функции ?(?) показано на рисунке 1, где видно, что она равна нулю на всем интервале величин х за исключением маленькой окрестности ?(?) в самом начале. В представленном интервале максимум функции равен 1/?. Следовательно, функция

РИС. 1

охватываемой окрестности равна 1. Функция ?(x) появляется как предел функции, представленной на рисунке, когда величина параметра ? стремится к 0 (? ? 0). Множество других функций могут образовывать функцию ?(x). Например, ширина знаменитой гауссовой функции, представленной на рисунке 2, определяется коэффициентом ?. Если величина этого параметра уменьшается, функция сужается все больше и больше, значительно увеличивая свое максимальное значение. Для предела, в котором ширина стремится к нулю, максимальная величина стремится к бесконечности. Математически это выражается следующим образом:

Самое важное свойство функции Дирака выражается через следующий результат:

+?

?f(x)?(x-a) = f(a),

-?

в котором f(x) соответствует любой продолжающейся функции и а — любому действительному числу. Так, умножая функцию х на ?(x - a) и особенно интегрируя x, мы возвращаемся к вычислению функции f в точке х = а. Интервал интегрирования необязательно должен расширяться от -? до +?, но до любой окрестности, где находится критическая точка, в которой функция ? не обнуляется. Функция ? Дирака остается сегодня важным инструментом во всех областях физики.

РИС. 2

«В квантовой теории невозможно ответить ни на один вопрос, который отсылает к двум численным показателям двух квантовых переменных р и q (положение и начальный момент)».

ГЕТТИНГЕН И ЗАРОЖДЕНИЕ КВАНТОВОЙ ЭЛЕКТРОДИНАМИКИ

В начале февраля 1927 года Дирак отправился в Геттинген и провел там пять месяцев, оказавшись рядом с создателями матричной механики: Борном, Йорданом и Гейзенбергом. Университет Геттингена являлся одним из самых уважаемых исследовательских центров в мире: он был колыбелью новой квантовой теории и имел блестящие традиции в области математики. Гаусс, Риман, Дирихле, Клейн... Все они были профессорами университета Геттингена. В 1927 году в Геттингене находился и Давид Гильберт (1862-1943) — несомненно, самый влиятельный ученый-математик того времени. Некоторые из самых блестящих его учеников, такие как Джон фон Нейман (1903-1957) и Герман Вейль (1885-1955), позднее тоже сыграли важную роль в квантовой теории.

Дирак использовал пребывание в Геттингене, чтобы укрепить свои навыки и получить новые знания в разных областях математики. Он посещал занятия Вейля по теории групп. Речь идет об области математики, развившейся в XIX веке и получившей важное значение в теоретической физике благодаря работам Вейля и Юджина П. Вигнера (1902-1995). В последующие годы Вейль и Вигнер часто использовали теорию групп в рамках квантовой механики. Однако Дирак не выказывал особого интереса к этой теории, считая ее «поверхностной» для решения проблем физики.

В данном вопросе Дираку не хватило интуиции: теория групп стала краеугольным камнем в развитии современной физики. Однако Дирак оценил вклад этих ученых, особенно работу Вейля. Несколько лет спустя один журналист спросил его: «Профессор Дирак, Вам доводилось встречать кого-то, кого Вы не понимали?» Тот ответил: «Да, это был Вейль». Для части коллег Дирака, которые всегда жаловались на сложность его работ и невозможность понять его аргументацию, было откровением узнать, что существовал кто-то, чьи размышления не мог понять сам Дирак, и они наверняка испытали некоторое облегчение.

За время пребывания в Геттингене Дирак опубликовал две статьи, в которых развил основы квантовой теории излучения. Именно он считается основателем квантовой электродинамики. В главе 4 будет подробно рассказано о содержании этих двух статей. Дирак стал первым физиком, развившим квантовую теорию взаимодействия излучения и вещества. Данная теория стала для него большой наградой и еще большим разочарованием.

ВОЗВРАЩЕНИЕ В КЕМБРИДЖ

Пребывание Дирака в Геттингене закончилось в июне 1927 года. По пути в Кембридж он остановился в Лейденском университете (Нидерланды) по приглашению Пауля Эренфеста (1880-1933), с которым обсудил последние работы в области теории излучения. Эренфест неотступно стремился понять все существующие аспекты новой квантовой теории. Он был известен своей манерой превращать семинары в настоящие допросы выступающих. Его стремление все знать было настолько сильным, что часто повергало ученого в глубокую депрессию, связанную с невозможностью уследить за развитием всех открытий. Эренфест восхищался работами Дирака и считал их очень оригинальными, но трудными для понимания:

«Мы часами изучали несколько страниц его работы, в ней есть места столь же темные, как безлунная ночь».

Хендрик А. Лоренц (1853-1928), профессор Лейденского университета и старейшина голландских физиков, тоже восхищался работами Дирака. Он предложил ему должность в Лейденском университете на два года, однако Дирак вежливо отказался, поскольку получил новую стипендию в Кембридже. В июле 1927 года ученый вернулся в университет Кембриджа после десяти месяцев, проведенных на континенте.

За два года он стал одним из самых уважаемых физиков в международном сообществе. Его работы получили мировое признание. Они считались очень оригинальными и глубокими, хотя и совершенно непонятными. Однако, если физики и восхищались его работами, несомненно, именно из-за трудностей понимания последние оказывали меньшее влияние, нежели работы Гейзенберга, Борна и Йордана или Шрёдингера. Ситуация начала меняться в конце 1927 года, вместе с появлением двух первых статей Дирака о взаимодействии излучения и вещества. Но самая потрясающая работа была еще впереди. В начале 1928 года Дирак ошеломил своих коллег: он объединил теорию относительности и квантовую физику в одном уравнении. Оно знаменовало необыкновенные открытия и подняло проблемы, о которых прежде невозможно было и подозревать.

Более 800 000 книг и аудиокниг! 📚

Получи 2 месяца Литрес Подписки в подарок и наслаждайся неограниченным чтением

ПОЛУЧИТЬ ПОДАРОК