КВАНТОВАЯ ТЕОРИЯ ЧАСТИЦ И ПОЛЕЙ

Декарт научил нас не только сомневаться, но и решать уравнения.

Ж- Фурье

Мы уже много раз поминали всуе знак h - постоянную Планка. Пора приступить к делу и показать не на словах, а на формулах, как эта величина участвует в квантовых явлениях. Одновременно это послужит лучшему пониманию того, что представляет собой качественный анализ и как он работает. Мы получим самые важные соотношения квантовой механики, пользуясь только качественными соображениями, отбрасывая несущественные трудности. Мы найдем уровни энергии атома, вращающегося тела, осциллятора и обсудим следствия применения квантовой механики к электромагнитному и другим полям.

Квантование атома

Согласно квантовой механике энергия электрона в атоме может принимать только дискретные значения.

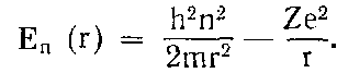
Возможные значения энергии электрона в поле ядра с зарядом Z (для водорода Z = 1) даются выражением

Разности значений Еп для двух разных п (п = 1, 2, 3…) определяют с большой точностью возможные частоты наблюдаемых на опыте спектральных линий. Эта формула - результат точного решения уравнения Шрё-дингера для волновой функции, описывающей движение электрона. Посмотрим, к чему приводит качественный анализ.

Как мы уже знаем, идея де Бройля состояла в том, что каждая частица, в данном случае электрон, характеризуется волновым процессом с длиной волны

где v - скорость частицы. Дискретные значения энергии электрона получаются из условия, чтобы на той длине, на которой движется электрон, укладывалось целое число волн. Если радиус орбиты г, то электрон движется на длине 2лх и n-ному состоянию электрона соответствует условие 2ягД = п или v = hn/mr. Отсюда нетрудно найти кинетическую энергию в n-ном состоянии:

Полная энергия электрона складывается из кинетической энергии и потенциальной энергии в поле ядра, которая отрицательна и равна - Ze2/r. Полная энергия:

Длина г характеризует ту область радиусов, где в основном находится электрон; ее можно оценить из условия, чтобы полная энергия была минимальна. Нетрудно сообразить, что этому соответствуют такие г, при которых первое слагаемое приблизительно равно второму. Действительно, при малых г, когда первое слагаемое больше второго, энергия понижается при увеличении г, а при больших г, когда второе слагаемое много больше первого, г выгодно уменьшать. Точный расчет дает для минимума энергии условие 2T = V. Таким образом, получаем:

При n = 1 это выражение дает правильную оценку

для радиуса атома в наинизшем состоянии. Подставляя значение г в выражение для Е_n (r), получим:

то есть в точности то выражение, которое мы приводили. В действительности электрон может с разной вероятностью находиться на любом расстоянии от ядра. Наше упрощение состояло в предположении, что это расстояние определенное, равное г, и находится из условия минимальности энергии. Разумеется, мы действовали грубо. Поэтому нельзя доверять численному множителю перед формулой. Но все остальное получилось верно! И множитель mZ2e4/h2 и, что особенно важно, зависимость от «квантового числа» n.

Точное решение потребовало бы знания основного уравнения квантовой механики - уравнения Шрёдин-гера - и очень сложной по школьным понятиям математики. То, что мы нашли, и есть качественное решение, когда результат получается с точностью до неизвестного численного множителя, в несколько раз отличающегося от единицы, но характер зависимости от параметров задачи передается правильно. Качественное решение чрезвычайно облегчает получение точного, поскольку выясняются главные черты явления. Более того, если есть качественное решение, а точного не удается получить аналитически, можно найти его без особых потерь в понимании задачи, с помощью вычислительных машин.

Более 800 000 книг и аудиокниг! 📚

Получи 2 месяца Литрес Подписки в подарок и наслаждайся неограниченным чтением

ПОЛУЧИТЬ ПОДАРОК