Глава 3 Законы сохранения

ОТДАЧА

Даже тот, кто не был на войне, знает, что при выстреле из орудия его ствол резко отходит назад. При стрельбе из ружья происходит отдача в плечо. Но и не прибегая к огнестрельному оружию, можно ознакомиться с явлением отдачи. Налейте в пробирку воды, заткните ее пробкой и подвесьте пробирку на двух нитках в горизонтальном положении (рис. 3.1).

Теперь поднесите к стеклу горелку — вода начнет кипеть, и минуты через две пробка с шумом вылетит в одну сторону, а пробирка отклонится в противоположную.

Сила, которая выбросила пробку из пробирки, это давление пара. И сила, отклонившая пробирку, — тоже давление пара. Оба движения возникли под действием одной и той же силы. То же самое происходит и при выстреле, только там действует не пар, а пороховые газы.

Явление отдачи необходимо следует из правила равенства действия и противодействия. Если пар действует на пробку, то и пробка действует на пар в обратную сторону, а пар передает это противодействие пробирке.

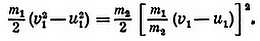
Но, может быть, вам приходит в голову возражение: разве может одна и та же сила приводить к столь разным следствиям? Ружье лишь слегка отходит обратно, а пуля летит далеко. Мы надеемся, однако, что такое возражение не пришло в голову читателю. Конечно, одинаковые силы могут приводит к разным следствиям: ведь ускорение, которое получает тело (а это и есть следствие действия силы), обратно пропорционально массе этого тела. Ускорение одного из тел (снаряда, пули, пробки) мы должны записать в виде а1 = F/m1, ускорение же тела, испытавшего отдачу (орудия, винтовки, пробирки), будет а2 = F/m2. Так как сила одна и та же, то мы приходим к важному выводу: ускорения, полученные при взаимодействии двух тел, участвующих в «выстреле», будут обратно пропорциональны их массам:

а1/а2 = m2/m1.

Это значит, что ускорение, которое получит пушка при откате, будет во столько раз меньше ускорения снаряда, во сколько раз пушка весит больше, чем снаряд.

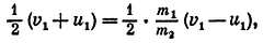
Ускорение пули, а также и ружья при отдаче, длится до тех пор, пока пуля движется в дуле ружья. Обозначим это время буквой t. Через этот промежуток времени ускоренное движение сменится равномерным. Для простоты будем считать ускорение неизменным. Тогда скорость, с которой пуля вылетит из дула ружья, будет v1 = а1t, а скорость отдачи v2 = а2t. Так как время действия ускорения одно и то же, то v1/v2а1/а2 и, следовательно,

v1/v2 = m2/m1.

Скорости, с которыми разлетаются тела после взаимодействия, будут обратно пропорциональны массам этих тел.

Если вспомнить векторный характер скорости, то последнее соотношение можно переписать так: m1v1 = = —m2v2; знак минус говорит о том, что скорости v1 и v2 направлены в противоположные стороны.

Наконец, перепишем равенство еще раз — перенесем произведения масс на скорости в одну сторону равенства:

m1v1 + m2v2 = 0.

ЗАКОН СОХРАНЕНИЯ ИМПУЛЬСА

Произведение массы тела на его скорость называется импульсом тела (другое название — количество движения). Так как скорость — вектор, то и импульс является векторной величиной. Разумеется, направление импульса совпадает с направлением скорости движения тела.

При помощи нового понятия закон Ньютона F = ma может быть выражен иначе. Так как а = (v2v1)/t, то F = (mv2 - mv1)/t, или Ft = mv2 - mv1. Произведение силы на время ее действия равно изменению импульса тела.

Вернемся к явлению отдачи.

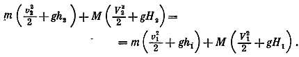
Наш результат рассмотрения отдачи орудия можно теперь сформулировать короче: сумма импульсов орудия и снаряда после выстрела остается равной нулю. Очевидно, такой же она была и до выстрела, когда орудие и снаряд находились в состоянии покоя.

Скорости, входящие в уравнение m1v1 + m2v2 = 0 — это скорости непосредственно после выстрела. При дальнейшем движении снаряда и орудия на них начнут действовать силы тяжести, сопротивление воздуха, а на пушку дополнительно — и сила трения о землю. Вот если бы выстрел был произведен в безвоздушном пространстве из орудия, висящего в пустоте, тогда движение со скоростями v1 и v2 продолжалось бы сколь угодно долго. Орудие двигалось бы в одну сторону, а снаряд — в противоположную.

В артиллерийской практике в настоящее время широко применяются орудия, установленные на платформе и стреляющие на ходу. Как же изменить выведенное уравнение, чтобы оно было применимо к выстрелу из такого орудия? Мы можем записать:

m1u1 + m2u2 = 0,

гдег u1 и u2 — скорости снаряда и орудия по отношению к движущейся платформе. Если скорость платформы V, то скорости орудия и снаряда по отношению к покоящемуся наблюдателю будут v1 = u1 + V и v2 = u2 + V.

Подставляя значения u1 и u2 в последнее уравнение, получим:

(m1 + m2)∙V = m1v1 + m2v2.

В правой части равенства у нас стоит сумма импульсов снаряда и орудия после выстрела. А в левой? До выстрела орудие и снаряд с общей массой m1 + m2 движутся вместе со скоростью V. Значит, и в левой части равенства стоит общий импульс снаряда и орудия, но до выстрела.

Мы доказали очень важный закон природы, который называется законом сохранения импульса. Доказали мы его для двух тел, но можно легко показать, что такой же результат имеет место и для любого числа тел. Каково же содержание закона? Закон сохранения импульса говорит, что сумма импульсов нескольких тел, находящихся во взаимодействии, не меняется в результате этого взаимодействия.

Ясно, что закон сохранения импульса будет справедлив лишь тогда, когда на ту группу тел, которую мы рассматриваем, не действуют силы со стороны. Такая группа тел называется в физике замкнутой.

Ружье и пуля во время выстрела ведут себя, как замкнутая группа двух тел, несмотря на то, что испытывают действие силы земного притяжения. Вес пули мал по сравнению с силой пороховых газов, и явление отдачи произойдет по одним и тем же законам, независимо от того, где будет произведен выстрел — на Земле или в ракете, летящей в межпланетном пространстве.

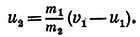
Закон сохранения импульса позволяет легко решать различные задачи, относящиеся к столкновениям тел. Попробуем одним глиняным шариком попасть в другой — они слипнутся и будут продолжать движение вместе; если выстрелить из ружья в деревянный шар, он покатится вместе с застрявшей в нем пулей; стоявшая вагонетка покатится, если человек с разбегу прыгнет в нее. Все приведенные примеры с точки зрения физика весьма похожи. Правило, связывающее скорости тел при столкновениях такого типа, сразу же получается из закона сохранения импульса.

Импульсы тел до встречи были m1v1 и m2v2 после столкновения тела объединились, их общая масса равна m1 + m2. Обозначив скорость объединившихся тел через V, получим:

m1v1 + m2v2 = (m1 + m2)∙V

или

V = (m1v1 + m2v2)/(m1 + m2)

Напомним о векторном характере закона сохранения импульса. Импульсы mv, стоящие в числителе формулы, надо складывать как векторы.

«Объединяющий» удар при встрече движущихся под углом тел показан на рис. 3.2. Для того чтобы найти скорость, надо длину диагонали параллелограмма, построенного на векторах импульсов встречающихся тел, разделить на сумму их масс.

РЕАКТИВНОЕ ДВИЖЕНИЕ

Человек движется, отталкиваясь от земли; лодка плывет потому, что гребцы отталкиваются веслами от воды; теплоход также отталкивается от воды, только не веслами, а винтами. Также отталкиваются от земли и поезд, идущий по рельсам, и автомашина, — вспомните, как трудно автомашине сдвинуться с места в гололедицу.

Итак, отталкивание от опоры — как будто бы необходимое условие движения; даже самолет и тот движется, отталкиваясь винтом от воздуха.

Однако так ли это? Нет ли какого-нибудь хитрого способа двигаться, ни от чего не отталкиваясь? Если вы катаетесь на коньках, то легко можете убедиться на своем опыте, что такое движение вполне возможно. Возьмите в руки тяжелую палку и встаньте на лед. Бросьте палку вперед — что произойдет? Вы покатитесь назад, хотя и не думали отталкиваться ногой от льда.

Явление отдачи, которое мы только что изучали, дает нам в руки ключ к осуществлению движения без опоры, движения без отталкивания. Отдача дает возможность ускорять движение и в безвоздушном пространстве, где уж решительно не от чего отталкиваться.

Отдача, вызываемая выбрасываемой из сосуда струей пара (реакция струи), использовалась еще в древности для создания любопытных игрушек. На рис. 3.3 изображена древняя паровая турбина, изобретенная во втором веке до нашей эры. Шаровой котел опирался на вертикальную ось. Вытекая из котла через коленчатые трубки, пар толкал эти трубки в обратном направлении, и шар вращался.

В наши дни использование реактивного движения уже вышло далеко за пределы создания игрушек и сбора интересных наблюдений. Двадцатый век называют иногда веком атомной энергии, однако с не меньшим основанием его можно назвать веком реактивного движения, так как трудно переоценить те далекие последствия, к которым приведет использование мощных. реактивных двигателей. Это не только революция в самолетостроении, это начало общения человека со Вселенной.

Принцип реактивного движения позволил создать самолеты, движущиеся со скоростью в несколько тысяч километров в час, летающие снаряды, поднимающиеся на высоту в сотни километров над Землей, искусственные спутники Земли и космические ракеты, совершающие межпланетные путешествия.

Реактивный двигатель — это машина, из которой выбрасываются с большой силой образующиеся при горении топлива газы. Ракета движется в сторону, обратную направлению газового потока.

Чему равна сила тяги, уносящая ракету в пространство? Мы знаем, что сила равна изменению импульса в единицу времени. Согласно закону сохранения, импульс ракеты меняется на величину импульса mv выброшенного газа.

Этот закон природы позволяет вычислить, например, связь между силой реактивной тяги и необходимым для этого расходом топлива. При этом нужно предположить, какова скорость истечения продуктов сгорания. Возьмем, например, такие цифры: газы выбрасываются со скоростью 2000 м/с в количестве 10 т/с, тогда сила тяги будет примерно равна 2∙1012 дин, т. е. круглым счетом 2000 тс.

Определим изменение скорости движущейся в межпланетном пространстве ракеты.

Импульс массы газа ΔM, выброшенной со скоростью u, равняется u∙ΔM. Импульс ракеты массы М возрастет при этом на величину М∙ΔV. Согласно закону сохранения, эти две величины равны друг другу:

u∙ΔMМ∙ΔV

т. е.

ΔV = u∙(ΔM/M).

Однако, если мы захотим вычислить скорость ракеты при выбрасывании масс, сравнимых с массой ракеты, то выведенная формула окажется непригодной. Ведь она предусматривает неизменную массу ракеты. Однако в силе остается следующий важный результат: при одинаковых относительных изменениях массы скорость увеличивается на одну и ту же величину.

Читатель, знакомый с основами интегрального исчисления, сразу же получит и точную формулу. Она имеет вид:

Если у вас под руками логарифмическая линейка, то вы выясните, что при уменьшении массы ракеты вдвое скорость ее достигнет 0,7u.

Для того чтобы, довести скорость ракеты до 3 u, надо сжечь массу вещества m = 19/20 М. Это значит, что лишь 1/20 массы ракеты можно сохранить, если мы желаем довести скорость до 3 u, т. е. до 6–8 км/с.

Чтобы добиться скорости в 7 u, масса ракеты за время разгона должна уменьшиться в 1000 раз.

Эти расчеты предостерегают нас от погони за увеличением массы горючего, которое можно захватить в ракету. Чем больше мы возьмем горючего, тем больше придется его сжечь. При данной скорости истечения газов очень трудно добиться увеличения скорости ракеты.

Основное в задаче достижения больших скоростей у ракет — увеличение скорости истечения газов. В этом отношении существенную роль должно сыграть применение в ракетах двигателей, работающих на новом, ядерном горючем.

При неизменной скорости истечения газов выигрыш в скорости при той же массе горючего получается при использовании многоступенчатых ракет. В одноступенчатой ракете уменьшается масса топлива, а пустые баки продолжают движение с ракетой. На ускорение массы ненужных топливных баков требуется дополнительная энергия. Целесообразно с израсходованием топлива отбросить и топливные баки. В современных многоступенчатых ракетах отбрасываются не только баки и трубопроводы, но и двигатели отработавших ступеней.

Разумеется, лучше всего было бы отбрасывать ненужную массу ракеты непрерывно. Пока такой конструкции не существует. Стартовый вес трехступенчатой ракеты с таким же «потолком», как у одноступенчатой ракеты, может быть сделан в 6 раз меньшим. «Непрерывная» ракета выгоднее трехступенчатой в этом смысле еще на 15 %.

ДВИЖЕНИЕ ПОД ДЕЙСТВИЕМ СИЛЫ ТЯЖЕСТИ

Будем скатывать небольшую тележку с двух очень гладких наклонных плоскостей. Одну доску возьмем значительно короче другой и положим их на одну и ту же опору. Тогда одна наклонная плоскость будет крутой, а другая — пологой. Верхушки обеих досок — места старта тележки — будут на одинаковой высоте. Как вы полагаете, какая из тележек приобретет большую скорость, скатившись с наклонной доски? Многие решат, что та, которая съехала по более крутой плоскости.

Опыт покажет, что они ошиблись, — тележки приобретут одинаковую скорость. Пока тело движется по наклонной плоскости, оно находится под действием постоянной силы, а именно (рис. 3.4) под действием составляющей силы тяжести, направленной вдоль движения. Скорость u, которую приобретает тело, движущееся с ускорением а на пути S, равна, как мы знаем, v = √(2aS).

Откуда же видно, что эта величина не зависит от угла наклона плоскости? На рис. 3.4 мы видим два треугольника. Один из них изображает наклонную плоскость. Малый катет этого треугольника, обозначенный буквой h, — высота, с которой начинается движение; гипотенуза S есть путь, проходимый телом в ускоренном движении. Маленький треугольник сил с катетом ma и гипотенузой mg подобен большому, так как они прямоугольные и углы их равны как углы со взаимно перпендикулярными сторонами. Значит, отношение катетов должно равняться отношению гипотенуз, т. е.

h/ = S/mg, или aS = gh.

Мы доказали, что произведение aS, а значит, и конечная скорость тела, скатившегося с наклонной плоскости, не зависит от угла наклона, а зависит лишь от высоты, с которой началось движение вниз. Скорость v = √(2gh) для всех наклонных плоскостей при единственном условии, что движение началось с одной и той же высоты h. Эта скорость оказалась равной скорости свободного падения с высоты h.

Измерим скорость тела в двух местах наклонной плоскости — на высотах h1 и h2. Скорость тела в момент прохождения через первую точку обозначим v1, а скорость в момент прохождения через вторую точку — v2.

Если начальная высота, с которой началось движение, есть h, то квадрат скорости тела в первой точке будет v12 = 2g∙(h h1), а во второй точке v22 = 2g∙(h h2).

Вычитая первое из второго, мы найдем, как связаны скорости тела в начале и в конце какого угодно кусочка наклонной плоскости с высотами этих точек:

v22v12 = 2g∙(h1 h2),

Разность квадратов скоростей зависит лишь от разности высот. Заметим, что полученное уравнение одинаково пригодно для движений вверх и для движений вниз. Если первая высота меньше второй (подъем), то вторая скорость меньше первой.

Эту формулу можно переписать следующим образом:

(v12/2) + gh1 = (v22/2) + gh2

Мы хотим подчеркнуть такой записью, что сумма половины квадрата скорости и высоты, умноженной на g, одинакова для любой точки наклонной плоскости.

Можно сказать, что величина (v2/2) + gh сохраняется во время движения.

Самое замечательное в найденном нами законе то, что он справедлив для движения без трения по любой горке и вообще по любому пути, состоящему из чередующихся подъемов и спусков различной крутизны. Это следует из того, что любой путь можно разбить на прямолинейные участки. Чем меньше брать отрезки, тем ближе будет приближаться ломаная линия к кривой. Каждый прямой отрезок, на которые разбит криволинейный путь, можно считать частью наклонной плоскости и применить к нему найденное правило.

Значит, в любой точке траектории сумма (v2/2) + gh одинакова. Поэтому изменение квадрата скорости не зависит от формы и длины пути, по которому двигалось тело, а определяется лишь разностью высот точек начала и конца движения.

Читателю может показаться, что наше заключение не совпадает с повседневным опытом: на длинном отлогом пути тело вовсе не набирает скорость и в конце концов остановится. Так оно и есть, но ведь мы в наших рассуждениях не учитывали силу трения. Написанная выше формула верна для движения в поле тяжести Земли под действием одной лишь силы тяжести. Если силы трения малы, то выведенный закон будет выполняться совсем неплохо. На гладких ледяных горах санки с металлическими полозьями скользят с очень небольшим трением. Можно устроить длинные ледяные дорожки, начинающиеся с крутого спуска, на котором набирается большая скорость, а затем причудливо извивающиеся вверх и вниз. Конец путешествия по таким горкам (когда санки остановятся сами собой) при полном отсутствии трения произошел бы на высоте, равной начальной. А так как трения избежать нельзя, то точка, с которой началось движение санок, будет выше того места, где они остановятся.

Закон, по которому конечная скорость не зависит от формы пути при движении под действием силы тяжести, может быть применен для решения различных интересных задач.

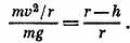
В цирке много раз показывали как захватывающий аттракцион вертикальную «мертвую петлю». Велосипедист или тележка с акробатом устанавливаются на высоком помосте. Ускоряющийся спуск, затем подъем. Вот акробат уже в положении вниз головой, опять спуск — и мертвая петля описана. Рассмотрим задачу, которую приходится решать инженеру цирка. На какой высоте надо сделать помост, с которого начинается спуск, чтобы акробат не свалился в наивысшей точке мертвой петли? Условие нам известно: центробежная сила, прижимающая акробата к помосту, должна уравновесить силу тяжести, направленную в противоположную сторону. Значит, mg =< mv2/r (=< — знак меньше или равно. — Прим. [☺]) где r — радиус мертвой петли, а v — скорость движения в верхней точке петли. Для того чтобы эта скорость была достигнута, надо начать движение с места, расположенного выше верхней точки петли на некоторую величину h. Начальная скорость акробата равна нулю, поэтому в верхней точке петли v2 = 2gh. Но, с другой стороны, v2 >= gr. Значит, между высотой h и радиусом петли имеется соотношение h >= r/2. Помост должен возвышаться над верхней точкой петли на величину, не меньшую половины радиуса петли. Учитывая неизбежную силу трения, приходится, конечно, брать некоторый запас высоты.

А вот еще одна задача. Возьмем круглый купол, очень гладкий, чтобы трение было минимальным. На вершину положим небольшой предмет и едва заметным толчком дадим ему возможность скользить по куполу. Рано или поздно скользящее тело отделится от купола и начнет падать. Мы можем легко решить вопрос, когда именно тело оторвется от поверхности купола: в момент отрыва центробежная сила должна равняться составляющей веса на направление радиуса (в этот момент тело перестанет давить на купол, а это и есть момент отрыва). На рис. 3.5 видны два подобных треугольника; изображен момент отрыва.

Составим отношение катета к гипотенузе для треугольника сил и приравняем к соответствующему отношению сторон другого треугольника:

Здесь r — радиус сферического купола, a h — разность высот от начала до конца скольжения. Теперь используем закон о независимости конечной скорости от формы пути. Так как начальная скорость тела предполагается равной нулю, то v2 = 2gh. Подставив это значение в написанную выше пропорцию и произведя арифметические преобразования, найдем: h = r/3. Значит, тело оторвется от купола на высоте, находящейся на 1/3 радиуса ниже вершины купола.

ЗАКОН СОХРАНЕНИЯ МЕХАНИЧЕСКОЙ ЭНЕРГИИ

Мы убедились на только что рассмотренных примерах, как полезно знать величину, не изменяющую свое числовое значение (сохраняющуюся) при движении.

Пока мы знаем такую величину лишь для одного тела. А если в поле тяжести движется несколько связанных тел? Считать, что для каждого из них остается верным выражение (v2/2) + gh, явно нельзя, так как каждое из тел находится под действием не только силы тяжести, но и соседних тел. Может быть сохраняется сумма таких выражений, взятая для группы рассматриваемых тел?

Сейчас мы покажем, что это предположение неправильно. Сохраняющаяся при движении многих тел величина существует, но она не равна сумме

а равна сумме подобных выражений, умноженных на массы соответствующих тел; иначе говоря, сохраняется сумма

Для доказательства этого важнейшего закона механики обратимся к следующему примеру.

Через блок перекинуты два груза, — большой массы М и маленький массы m. Большой груз тянет маленький, и эта^группа из двух тел движется с возрастающей скоростью.

Движущей силой является разность в весе этих тел, Mg — mg. Так как в ускоренном движении участвует масса обоих тел, то закон Ньютона для этого случая будет записан так:

(Мm)∙g = (M + m)∙а.

Рассмотрим два момента движения и покажем, что сумма выражений (v2/2) + gh, помноженных на соответствующие массы, действительно остается неизменной.

Итак, требуется доказать равенство

Заглавными буквами обозначены физические величины, характеризующие большой груз. Индексы 1 и 2 относят здесь величины к двум рассматриваемым моментам движения.

Так как грузы связаны веревкой, то v1 = V1, v2 = V2.Используя эти упрощения и перенося все члены, содержащие высоты, вправо, а члены со скоростями — влево, получим:

Разности высот грузов, разумеется, равны (но с обратным знаком, так как один груз поднимается, а другой опускается). Таким образом,

где S — пройденный путь.

На стр. 51 мы узнали, что разность квадратов скоростей v12v22 в начале и конце отрезка S пути, проходимого с ускорением а, равна

v12v22 = 2aS

Подставляя это выражение в последнюю формулу, найдем:

(m + М)∙а = (Мm)∙g.

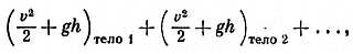
Но это есть закон Ньютона, записанный выше для нашего примера. Этим доказано требуемое: для двух тел сумма выражении (v2/2) + gh, умноженных на соответствующие массы[7], во время движения остается неизменной, или, как говорят, сохраняется, т. е.

Для случая с одним телом эта формула перейдет в ранее доказанную:

(v2/2) + gh = const.

Половина произведения массы на квадрат скорости называется кинетической энергией К:

K = mv2/2

Произведение веса тела на высоту называют потенциальной энергией тяготения тела к Земле U:

U = mgh.

Мы доказали, что во время движения системы из двух тел (и можно доказать то же самое для системы, состоящей из многих тел) сумма кинетической и потенциальной энергий тел остается неизменной.

Другими словами, увеличение кинетической энергии группы тел может произойти лишь за счет убыли потенциальной энергии этой системы (и, разумеется, наоборот).

Доказанный закон называется законом сохранения механической энергии.

Закон сохранения механической энергии является очень важным законом природы. Значение его мы еще не показали в полной мере. Позже, когда мы познакомимся с движением молекул, будет видна его универсальность, применимость ко всем явлениям природы.

РАБОТА

Если толкать или тянуть тело, не встречая при этом никакой помехи, то результатом будет ускорение тела. Происшедшее при этом приращение кинетической энергии называют работой силы А:

A = (mv22/2) — (mv12/2)

По закону Ньютона ускорение тела, а следовательно, и прирост кинетической энергии определяется векторной суммой всех сил, приложенных к телу. Значит, в случае многих сил формула A = (mv22/2) — (mv12/2) есть работа результирующей силы. Выразим работу А через величину силы.

Для простоты мы ограничимся случаем, когда движение возможно лишь в одном направлении — будем толкать (или тянуть) вагонетку массы m, стоящую на рельсах (рис. 3.6).

Согласно общей формуле равномерно-ускоренного движения v22v12 = 2aS. Поэтому работа всех сил на пути S

A = (mv22/2) — (mv12/2) = 2aS

Произведение та равно составляющей суммарной силы на направление движения. Таким образом, А = fпродS.

Работа силы измеряется произведением пути на составляющую силы вдоль направления пути.

Формула работы справедлива для сил любого происхождения и для движений по любой траектории.

Заметим, что работа может быть равна нулю и тогда, когда на движущееся тело действуют силы.

Например, работа силы Кориолиса равняется нулю. Ведь эта сила перпендикулярна к направлению движения. Продольной составляющей у нее нет, поэтому равна нулю и работа.

Любое искривление траектории, не сопровождающееся изменением скорости, не требует работы — ведь кинетическая энергия при этом не меняется.

Может ли быть работа отрицательной? Конечно, если сила направлена под тупым углом к движению, то она не помогает, а мешает движению. Продольная составляющая силы на направление будет отрицательной. В этом случае мы и скажем, что сила производит отрицательную работу. Сила трения всегда замедляет движение, т. е. производит отрицательную работу.

По приращению кинетической энергии можно судить о работе лишь результирующей силы.

Что же касается работ отдельных сил, то мы должны их вычислять как произведения fпродS. Автомобиль равномерно движется по шоссе. Прироста кинетической энергии нет, значит, работа результирующей силы равна нулю. Но, разумеется, не равна нулю работа мотора — она равна произведению силы тяги на пройденный путь и полностью компенсируется отрицательной работой сил сопротивления и трения.

Пользуясь понятием «работа», мы можем более коротко и ясно описать те интересные особенности силы тяжести, с которыми мы только что знакомились. Если под действием силы тяжести тело перейдет из одного места в другое, то кинетическая энергия его изменится. Это изменение кинетической энергии равно работе А. Но из закона сохранения энергии нам известно, что прирост кинетической энергии происходит за счет убыли потенциальной.

Таким образом, работа силы тяжести равна убыли потенциальной энергии:

A = U1 — U2.

Очевидно, что убыль (или прирост) потенциальной энергии, а значит и прирост (или уменьшение) кинетической энергии будут одни и те же, независимо от того, по какому пути тело двигалось. Это означает, что работа силы тяжести не зависит от формы пути. Если тело перешло из первой точки во вторую с увеличением кинетической энергии, то из второй точки в первую оно перейдет с уменьшением кинетической энергии на точно такую же величину. При этом безразлично, совпадает ли форма пути «туда» с формой пути «обратно». Значит, и работы «туда» и «обратно» будут одинаковы. А если тело проделывает длинное путешествие, но конец пути совпадает с началом, то работа будет равна нулю.

Представьте себе какой угодно причудливой формы канал, по которому без трения скользит тело. Отправим его в путешествие с самой высокой точки. Тело помчится вниз, набирая скорость. За счет полученной кинетической энергии тело будет преодолевать подъем и наконец вернется к станции отправления. С какой скоростью? Разумеется, с той же, с которой оно покинуло станцию. Потенциальная энергия вернется к прежнему значению. А если так, то кинетическая энергия не могла ни уменьшиться, ни увеличиться. Значит, работа равна нулю.

Работа по кольцевому (физики говорят — по замкнутому) пути равна нулю не для всех сил. Нет надобности доказывать, что работа сил трения, например, будет тем больше, чем длиннее путь.

В КАКИХ ЕДИНИЦАХ ИЗМЕРЯЮТ РАБОТУ И ЭНЕРГИЮ

Так как работа равна изменению энергии, то работа и энергия — разумеется, как потенциальная, так и кинетическая — измеряются в одних и тех же единицах. Работа равна произведению силы на путь. Работу силы в одну дину на пути в один сантиметр называют эргом (эрг)?

1 эрг = 1 дин ∙ 1 см.

Это очень небольшая работа. Такую работу против силы тяжести совершит комар, чтобы перелететь с большого пальца руки на указательный. Более крупная единица работы и энергии, употребляющаяся в физико, — джоуль (Дж). Он в 10 миллионов раз больше эрга;

1 Дж = 107 эрг.

Довольно часто используется единица работы 1 килограмм∙сила∙метр (1 кгс∙м) — это работа, которая совершается силой в 1 кгс на пути в 1 м. Примерно такая работа совершается килограммовой гирей, упавшей на пол со стола.

Как нам известно, сила 1 кгс = 981 000 дин, 1 м = 100 см. Значит, 1 кгс∙м = 9,81∙107 эрг=9,81 Дж. Наоборот, 1 Дж = 0,102 кгс∙м.

Новая система СИ требует, чтобы мы распрощались с килограмм-сила-метрами и использовали джоуль; 1 Дж равен работе, которая совершается силой в 1 Н на пути в 1 м. Зная, как просто определяется в данном случае сила, нетрудно понять преимущество системы СИ.

МОЩНОСТЬ И К.П.Д. МАШИН

Чтобы судить о возможности машины производить работу, а также о потреблении работы, пользуются понятием мощности. Мощность — это работа, совершенная в единицу времени.

Существует много различных единиц мощности. Системе CGS соответствует единица мощности эрг в секунду (эрг/с). Но 1 эрг/с — ничтожно малая мощность, и эта единица поэтому для практики неудобна. Несравненно более распространена единица мощности, которую получают делением джоуля на секунду. Эта единица называется ватт (Вт): 1 Вт = 1 Дж/с = 107 эрг/с.

Когда и эта единица мала, ее умножают на тысячу и пользуются киловаттом (кВт).

От старых времен перешла к нам в наследство единица мощности, называемая лошадиной силой. Когда-то на заре развития техники это название имело глубокий смысл. Машина мощностью в 10 лошадиных сил заменяет 10 лошадей — так заключал покупатель, даже если он не имел представления о единицах мощности.

Разумеется, лошадь лошади рознь. Автор первой единицы мощности, по-видимому, полагал, что «средняя» лошадь способна произвести за одну секунду 75 кгс∙м работы. Такая единица и принята: 1 л. с.= 75 кгс∙м/с.

Тяжеловозы способны производить большую работу, в особенности в момент трогания с места. Однако мощность средней лошади скорее близка к 1/2 лошадиной силы.

Пересчитывая лошадиные силы в киловатты, получим: 1 л. с. = 0,735 кВт.

В житейской практике и технике мы сталкиваемся с двигателями самых различных мощностей. Мощность патефонного моторчика 10 Вт, мощность двигателя автомашины «Волга» 100 л. с. = 73 кВт, мощность двигателей пассажирского самолета ИЛ-18 16 000 л. с.

Небольшая колхозная электростанция имеет мощность 100 кВт. Рекордная в этом отношении Красноярская ГЭС имеет мощность 5 млн. кВт.

Единицы мощности, с которыми мы познакомились, подсказывают еще одну единицу энергии, хорошо известную всюду, где установлены счетчики электрической энергии, а именно киловатт∙час (кВт∙ч). Один киловатт∙час — это работа, произведенная в течение одного часа мощностью в один киловатт. Легко пересчитать эту новую единицу в другие, уже знакомые: 1 кВт∙ч = 3,6∙106 Дж = 861 ккал = 367 000 кгс∙м. Читатель может спросить: неужели нужна была еще одна единица энергии? Ведь их и так уже немало! Но понятие энергии пронизывает разные области физики, и, думая об удобствах данной области, физики вводили все новые и новые единицы энергии. То же самое происходило и в отношении других физических величин. Это привело, наконец, к выводу о необходимости ввести единую для всех областей физики систему единиц СИ (см. стр. 14). Однако еще пройдет немало времени, пока «старые» единицы уступят место счастливой избраннице, и поэтому пока киловатт∙час еще не последняя единица энергии, с которой придется знакомиться в процессе изучения физики.

При помощи различных машин можно заставить источники энергии производить различную работу — поднимать грузы, двигать станки, перевозить грузы и людей.

Можно подсчитать количество энергии, вложенной в машину, и значение полученной от нее работы. Во всех случаях цифра на выходе окажется меньше, чем цифра на входе, — часть энергии теряется в машине.

Доля энергии, которая полностью используется в машине на нужные нам цели, называется коэффициентом полезного действия (к. п. д.) машины. Значения к. п. д. дают обычно в процентах.

Если к.п.д. равен 90 %, это значит, что машина теряет всего 10 % энергии. К.п.д. 10 % означает, что машина использует всего лишь 10 % поступившей в нее энергии.

Если машина превращает в работу механическую энергию, то ее к.п.д. в принципе можно сделать очень большим. Увеличение к.п.д. достигается в этом случае борьбой с неизбежным трением. Улучшить смазку, ввести более совершенные подшипники, уменьшить сопротивление со стороны среды, в которой происходит движение, — вот средства приблизить к.п.д. к единице (к 100 %).

Обычно при превращении механической энергии в работу в качестве промежуточного этапа (как на гидроэлектростанциях) используют электрическую передачу. Разумеется, это тоже связано с дополнительными потерями. Однако они невелики, и потери при преобразовании механической энергии в работу и в случае использования электрической передачи могут быть сведены к нескольким процентам.

УМЕНЬШЕНИЕ ЭНЕРГИИ

Читатель, вероятно, обратил внимание на то, что при иллюстрациях закона сохранения механической энергии мы настойчиво повторяем: «при отсутствии трения, если бы не было трения…». Но ведь трение неизбежно сопровождает любое движение. Какое же значение имеет закон, не учитывающий столь важного практического обстоятельства? Ответ на этот вопрос мы отложим, а сейчас посмотрим, к чему приводит трение.

Силы трения направлены против движения, а значит, производят отрицательную работу. Это вызывает неминуемую потерю механической энергии.

Приведет ли эта неизбежная потеря механической энергии к прекращению движения? Нетрудно убедиться, что трение может остановить не всякое движение.

Представим себе замкнутую систему, состоящую из нескольких взаимодействующих тел. В отношении такой замкнутой системы справедлив, как мы знаем, закон сохранения импульса. Замкнутая система не может изменить своего импульса, поэтому движется прямолинейно и равномерно. Трение внутри такой системы может уничтожить относительные движения частей системы, но не повлияет на скорость и направление движения всей системы в целом.

Существует и еще один закон природы, называемый законом сохранения момента импульса (с ним мы познакомимся позже), который не дает трению уничтожить равномерное вращение всей замкнутой системы.

Таким образом, наличие трения приводит к прекращению всех движений в замкнутой системе тел, не препятствуя лишь равномерному прямолинейному и равномерному вращательному движению этой системы в целом.

Если земной шар и меняет незначительно скорость своего вращения, то причина этого — не трение земных тел друг о друга, а то, что Земля не является изолированной системой.

Что же касается движений тел на Земле, то все они подвержены трению и теряют свою механическую энергию. Поэтому движение всегда прекращается, если не поддерживается извне.

Таков закон природы. А если бы удалось обмануть природу? Тогда… тогда можно было бы осуществить перпетуум мобиле, что означает по-латыни «вечное движение».

ПЕРПЕТУУМ МОБИЛЕ

Об осуществлении перпетуум мобиле мечтает Бертольд — герой «Сцен из рыцарских времен» Пушкина. «Что такое перпетуум мобиле?» — спрашивает его собеседник. «Это вечное движение, — отвечает Бертольд. — Если найду вечное движение, то я не вижу границ творчеству человека. Делать золото — задача заманчивая, открытие может быть любопытное, выгодное, но найти разрешение перпетуум мобиле…».

Перпетуум мобиле, или вечный двигатель, — это машина, работающая не только вопреки закону уменьшения механической энергии, но и нарушающая закон сохранения механической энергии, который, как мы теперь знаем, выполняется лишь в идеальных, недостижимых условиях — при отсутствии трения. Вечный двигатель, как только он будет сконструирован; должен начать работать «сам по себе» — например, вращать колесо или подымать грузы снизу вверх. Работа эта должна происходить вечно и непрерывно, а двигатель не должен требовать ни топлива, ни рук человеческих, ни энергии падающей воды — словом ничего, взятого извне.

Первый до сих пор известный достоверный документ об «осуществлении» идеи вечного двигателя относится к XIII в. Любопытно, что спустя шесть веков, в 1910 г., в одно из московских научных учреждений был представлен на «рассмотрение» буквально такой же «проект».

Проект этого вечного двигателя изображен на рис. 3.7.

При вращении колеса грузы перекидываются и поддерживают, по мысли изобретателя, движение, так как откинувшиеся грузы давят гораздо сильнее, действуя на более далеком от оси расстоянии. Построив эту отнюдь не сложную «машину», изобретатель убеждается, что, повернувшись по инерции на один или два оборота, колесо останавливается. Но это не приводит его в уныние. Допущена ошибка: рычаги надо сделать длиннее, форму выступов изменить. И бесплодная работа, которой многие доморощенные изобретатели посвящали свою жизнь, продолжается, но, разумеется, с тем же успехом.

Вариантов предлагавшихся вечных двигателей было в общем немного: разнообразные самодвижущиеся колеса, в принципе не отличающиеся от описанного, гидравлические двигатели — например, показанный на рис. 3.8 двигатель, изобретенный в 1634 г.; двигатели, использующие сифоны или капиллярные трубки (рис. 3.9), потерю веса в воде (рис. 3.10), притяжение железных тел магнитами. Далеко не всегда можно догадаться, за счет чего же должно было, по идее изобретателя, происходить вечное движение.

Еще до установления закона сохранения энергии утверждение о невозможности перпетуум мобиле мы находим в официальном заявлении французской Академии, сделанном в 1775 г., когда она решила не принимать больше для рассмотрения и испытания никакие проекты вечных двигателей.

Многие механики XVII–XVIII вв. уже клали в основу своих доказательств аксиому о невозможности перпетуум мобиле, несмотря на то, что понятие энергии и закон сохранения энергии вошли в науку много позже.

В настоящее время ясно, что изобретатели, которые пытаются создать вечный двигатель, не только входят в противоречие с экспериментом, но и совершают ошибку против элементарной логики. Ведь невозможность перпетуум мобиле есть прямое следствие из законов механики, из которых они же исходят, обосновывая свое «изобретение».

Несмотря на полную бесплодность, поиски вечного двигателя, вероятно, сыграли все же какую-то полезную роль, так как в конечном счете привели к открытию Закона сохранения энергии.

СТОЛКНОВЕНИЯ

При всяком столкновении двух тел всегда сохраняется импульс. Что же касается энергии, то она, как мы только что выяснили, обязательно уменьшится из-за различного рода трения.

Однако, если сталкивающиеся тела сделаны из упругого материала, например из кости или стали, то потеря энергии будет незначительной. Такие столкновения, при которых суммы кинетических энергий до и после столкновения одинаковы, называются идеально упругими.

Небольшая потеря кинетической энергии происходит и при столкновении самых упругих материалов — у костяных биллиардных шаров она достигает, например, 3–4 %.

Сохранение кинетической энергии при упругом ударе позволяет решить ряд задач.

Рассмотрим, например, лобовое столкновение шаров разной массы. Уравнение импульса имеет вид (мы считаем, что шар № 2 покоился до удара)

m1v1 = m1u1 + m2u2

а энергии —

(m1v12/2) = (m1u12/2) + (m2u22/2),

где v1 — скорость первого шара до столкновения, a u1 и u2 — скорости шаров после столкновения.

Так как движение происходит вдоль прямой линии (проходящей через центры шаров — это и означает, что удар лобовой), то применять векторные обозначения здесь не обязательно.

Из первого уравнения имеем:

Подставляя это выражение для u2 в уравнение энергии, получим:

Одним из решений этого уравнения является решение u1 = v1 и u2 = 0. Но этот ответ нас не интересует, так как равенство u1 = v1 и u2 = 0 показывает, что шары вовсе не сталкивались. Поэтому ищем другое решение уравнения. Сократив на m1∙(v1u1), получим:

т. е.

m2v1 + m2u1 = m1v1 + m1u1

или

(m1 m2)∙v1 = (m1 + m2)∙u1

что дает следующее значение для скорости первого шара после удара:

u1 = [(m1 m2)/(m1 + m2)]∙v1

При лобовом столкновении с неподвижным шаром налетающий шар отскакивает обратно (u1 отрицательно), если его масса меньше. Если m1 больше m2, то оба шара продолжают движение в направлении удара.

При биллиардной игре в случае точного лобового удара часто наблюдается такая картина: шар-снаряд резко останавливается, шар-мишень отправляется в лузу. Это объясняется только что найденным уравнением. Массы шаров равны, и уравнение дает u1 = 0, а значит, u2 = v1. Налетающий шар останавливается, а второй шар начинает движение со скоростью налетевшего. Шары как бы меняются скоростями.

Рассмотрим еще один пример столкновения тел по закону упругого удара, а именно косой удар тел равной массы (рис. 3.11).

Второе тело до удара покоилось, поэтому законы сохранения импульса и энергии имеют вид

mv1 = mu1 + mu2,

(mv12/2) = (mu12/2) + (mu22/2).

Сократив на массу, получим:

v1 = u1 + u2, v12 = u12 + u22

Вектор vx есть векторная суммам u1 и u2. Но ведь это означает, что длины векторов-скоростей образуют треугольник.

Что же это за треугольник? Вспомним теорему Пифагора. Ее выражает наше второе уравнение. Это значит, что треугольник скоростей должен быть прямоугольным с гипотенузой v1 и катетами u1 и u2. Значит, u1 и u2 образуют между собой прямой угол. Этот интересный результат показывает, что при любом косом упругом ударе тела равной массы разлетаются под прямым углом.

Более 800 000 книг и аудиокниг! 📚

Получи 2 месяца Литрес Подписки в подарок и наслаждайся неограниченным чтением

ПОЛУЧИТЬ ПОДАРОК