Предназначена ли вселенная для нас?

Я вас уже предупреждал, но дополнительная осторожность не помешает: хотя симметрии позволяют нам лучше понять тайны природы и форму законов физики, они ничего не говорят о конкретном значении постоянных, входящих в эти законы. Мы не собираемся «выводить» массу электрона (по крайней мере, до сих пор нам это не удавалось). Возможно, во вселенной есть нечто фундаментальное, и оно позволит нам вывести все физические константы, однако на данный момент мы блуждаем в потемках. Это означает, что мы не знаем, заложены ли физические постоянные в законах изначально или они оказались такими относительно случайно — как случайна температура за окном в тот или иной день. Симметрия подсказывает, как записать уравнения, однако молчит о числовых значениях переменных.

Есть довольно много параметров, например, заряд электрона, которые взяты более или менее с потолка. Может быть, эти параметры и меняются из конца в конец исполинской вселенной, и отдельным областям — например, нашей наблюдаемой вселенной — просто повезло, что они подходят для возникновения сложной жизни.

В том, что мы по чистой случайности живем в области, законы физики в которой идеально подходят для существования человека, нет ничего загадочного. Иначе и быть не могло! Иначе нас с вами не было бы и некому было бы об этом рассуждать. То есть большинству физиков антропная аргументация и в самом деле не по сердцу. Большинство из нас лелеет надежду, что когда-нибудь потом мы сумеем разработать Теорию Всего, основанную исключительно на основных принципах.

А если они не заложены в саму ткань мироздания, насколько тонкая настройка нужна законам физики, чтобы мы могли существовать? Каковы наши шансы?

Позвольте предвосхитить типичный вопрос о тонкой подстройке вселенной. Почему свет перемещается со скоростью 299 792 458 метров в секунду? Как мы уже видели, краткий ответ состоит в том, что гораздо разумнее просто сказать, что свет перемещается со скоростью одна световая секунда в секунду и оставить в стороне вопрос об определении метра как исторический курьез.

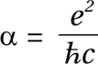
Иначе говоря, значения параметров, выраженные в каких-то единицах, почти никогда не относятся к делу, поскольку, очевидно, они зависят от того, какие единицы выберешь. Я об этом заговорил, поскольку есть несколько способ комбинировать физические постоянные так, чтобы все единицы сократились. Вот, например, так называемая постоянная тонкой структуры (коротко — ПТС), представляющая собой просто число безо всяких единиц.

Что это за буковки? В этом уравнении e — заряд электрона, с — само собой, скорость света, а ћ — постоянная Дирака, она же приведенная постоянная Планка[46]. Она вылезает везде, где замешана квантовая механика.

Значение постоянной тонкой структуры составляет примерно 1?137,035 999 08, и она входит в число самых точно подсчитанных постоянных за всю историю физики. И при всей этой точности мы не имеем ни малейшего представления, откуда она взялась. С числами в чистой математике так не бывает. Например, число p вполне можно вывести из основных принципов, даже если вы в жизни не видели круга. Вот как об этом говорит Ричард Фейнман:

Мы прекрасно знаем, какие танцы надо исполнить в экспериментах, чтобы измерить это число с очень большой точностью, но не понимаем, какие танцы надо исполнить на компьютере, чтобы получить это число — разве что тайком ввести его туда!

ПТС — это мера силы электромагнитного взаимодействия и, как вы, вероятно, заметили, она гораздо меньше единицы. С объективной точки зрения электромагнитная сила очень слаба. С другой стороны, по сравнению с другими взаимодействиями электромагнетизм неимоверно силен. Задумайтесь хотя бы о том, что электростатическое отталкивание между нашими кроссовками и полом с легкостью преодолевает гравитационное притяжение всей Земли!

В наших стандартных моделях космологии и физики частиц присутствует по меньшей мере 25 разных безразмерных и, судя по всему, независимых параметров. Предположим, мы возьмем и изменим одну только ПТС. Что будет?

Если бы ПТС была, например, больше 0,1 (примерно в 14 раз больше измеряемой величины), то углерод — а следовательно, и все элементы тяжелее углерода — не мог бы производиться в звездах. Это была бы катастрофа для углеродных форм жизни.

Или возьмем другой параметр — силу сильного ядерного взаимодействия, того самого, благодаря которому не рассыпаются ядра атомов. Если увеличить константу сильного взаимодействия всего на четыре процента, протоны быстро связывались бы друг с другом и формировали гелий?2, изотоп, у которого вообще нет нейтронов. Звезды быстро выгорали бы и вырабатывали бы только инертный гелий — и ничего интересного так не возникло бы.

Похоже, так же обстоят дела с большинством фундаментальных постоянных. Мы живем во вселенной, где соотношение параметров таково, что обеспечивает наше существование. Это позволяет сделать всего три варианта выводов — причем все они не слишком соблазнительны.

1. Вселенная создана конкретно для людей или для сложной жизни в целом.

2. Параметры вселенной естественным образом следуют из какого-то еще не открытого закона физики, и нам просто чертовски повезло, что этот закон допускает наше существование.

3. Параметры во множественной вселенной варьируются, и по необходимости мы живем в одной из областей (возможно, очень редких), которая способна обеспечить условия для жизни (потому что при другом развитии событий нас бы не было).

Первый вариант попросту не имеет отношения к физике, вот почему он мне не нравится. Второй вариант, похоже, соответствует истине, однако физикам еще предстоит открыть Теорию Всего. А пока об этом можно сказать очень мало, и поэтому второй вариант оставляет у меня ощущение глубокой неудовлетворенности. Что же можно сказать о третьем варианте?

Вместо того чтобы задаваться вопросом, что бы случилось, если бы изменилась ПТС (или любой другой параметр), можно задаться вопросом, ответ на которые дадут наблюдения — вопросом о том, меняется ли она вообще, — а для этого придется заглянуть в пучины пространства.

Если мы хотим посмотреть, как меняется вселенная на космологических расстояниях от нас, придется начать с наблюдения объектов, которые находятся от нас на расстоянии в миллиарды световых лет. К счастью, природа обеспечила нас идеальными маяками — квазарами. В сущности, квазары — это гигантские черные дыры, впитывающие огромные количества вещества. Поскольку вещество падает в них с околосветовой скоростью, оно нагревается и производит излучение в достаточном количестве, чтобы его было видно в дальних уголках Вселенной.

Пространство между нами и квазарами заполнено облаками газа, и этот газ отчасти поглощает излучение по пути к нам. Облака поглощают свет только в определенном диапазоне длин волн, и эти длины определяются значением ПТС. Стоит изменить ПТС, и этот диапазон тоже изменится.

Начиная с 1999 года Джон Уэбб из Университета Нового Южного Уэльса и его сотрудники проверяют, меняется ли ПТС со временем и расстоянием, а для этого они наблюдают фотоны, поглощаемые разнообразными ионами железа и магния в очень далеких облаках. Изучая относительные длины волн поглощенных фотонов, ученые получают возможность сравнить ПТС на космологических расстояниях с тем, что получается по данным лабораторных измерений здесь, на Земле.

Результаты получились крайне неожиданные. Данные наблюдений далеких галактик в одной области неба показывают, что ПТС там примерно на одну стотысячную больше, чем на Земле, а в другой области — на одну стотысячную меньше.

Если эти результаты верны, их значение колоссально. Выходит, что ПТС почему-то варьируется в разных областях вселенной — и не надо забывать, что мы, прежде всего, не знаем, откуда вообще берется значение ПТС. Это плевок в лицо космологическому принципу.

Два очень важных факта. Во-первых, даже если этот результат верен, отклонение необычайно мало. Все то, что наблюдали Уэбб с коллегами, не делает ни тот, ни другой конец наблюдаемой вселенной непригодным для человеческой жизни. Для этого пришлось бы забираться неизмеримо дальше. Во-вторых, большинство физиков пока еще не убеждены, что результат верен. Сигнал относительно слаб, и целый ряд других исследовательских групп его не подтверждают. Лично я пока не собираюсь подбираться к своим учебникам с большой бутылью штрих-корректора. Если законы физики в пределах вселенной и меняются, то очень-очень мало.

В этой бочке дегтя есть, однако, и ложка меда. Даже если это отклонение и вправду есть, оно так незначительно, что мы можем ввести еще одну симметрию.

Трансляционная симметрия: законы физики в точности одинаковы во всех местах во Вселенной.

Крупномасштабная однородность — общее единообразие — структуры вселенной показывает, или по крайней мере предполагает, что во вселенной заложена трансляционная симметрия.

Более 800 000 книг и аудиокниг! 📚

Получи 2 месяца Литрес Подписки в подарок и наслаждайся неограниченным чтением

ПОЛУЧИТЬ ПОДАРОК