ГЛАВА 2 Тепло атомов

Обучение Больцмана на факультете физики было головокружительным преддверием его последующей карьеры. Первые статьи, опубликованные до получения докторской степени, были полностью посвящены теме, которой он занимался всю оставшуюся жизнь: выведению законов тепла на основе атомной гипотезы. В 1872 году, уже будучи профессором, он получил свой первый великий научный результат, доказав второе начало термодинамики, используя только принципы механики.

Жизнь Больцмана можно рассматривать как хаотический маятник, этот образ применим и к его изменчивым состояниям духа, и к его судьбе, которая могла вести его от огромного профессионального успеха к упадку продолжительностью в несколько месяцев. В 1859-м скончался его отец, а в 1863-м Больцман снова пережил горе в связи со смертью брата. Однако череда несчастий внезапно закончилась в том же году, и началась эпоха счастья, которая длилась больше двух десятилетий. В течение первого, в 1872 году, ученый опубликовал одну из самых важных статей в своей карьере под названием "Новые исследования о тепловом равновесии в молекулах газа", в которой ему удалось наконец-то доказать, что второе начало термодинамики есть неизбежное следствие из атомной теории. До этого он уже опубликовал другие менее крупные, но значимые работы; одну, под названием "Механический смысл второго принципа термодинамики", в 1866 году, и вторую, "Исследования о равновесии энергии между подвижными материальными точками", в 1868 году.

1863 год начался с переезда семьи Больцманов из Линца, где Людвиг ходил в школу, в Вену. Все ради того, чтобы юноша мог изучать физику в престижном университете столицы, где, как выяснилось позже, находился один из самых динамичных в мире центров этой дисциплины.

ИНСТИТУТ ФИЗИКИ НА УЛИЦЕ ЭРДБЕРГ

В то время дисциплину, которую желал изучать Больцман, преподавали в Институте физики, расположенном на улице Эрдберг. Это было маленькое скромно оборудованное помещение, через которое прошла значительная часть великих австрийских физиков того времени. Центр был основан в 1849 году Кристианом Доплером (1803-1853), ученым, известным описанием эффекта, носящего его имя, который сегодня используется для вычисления скоростей как далеких галактик, так и автомобилей на шоссе. Доплер был директором, пока его не сменил Андреас фон Эттингсгаузен (1796-1893), несколькими годами позже передавший должность Йозефу Стефану (1835-1893), будущему наставнику Больцмана.

Институт на улице Эрдберг был кипучим центром. Физики, которые работали там, компенсировали отсутствие средств энтузиазмом и творчеством, подстегиваемые рьяным желанием понять этот мир. Напыщенность и формальности уступили место хорошему настроению и открытым отношениям; научный поиск считался приоритетным, а все остальное — незначительным. Больцман идеально вписался в эту динамичную атмосферу института благодаря Стефану, который быстро признал талант нового студента и поддержал его развитие. Этап на улице Эрдберг остался в памяти Больцмана как что-то вроде золотого века в сравнении с остальной его жизнью. В своей надгробной речи на похоронах Стефана он говорил о знаменитом центре следующими словами:

"Так, институт, располагавшийся тогда на улице Эрдберг, стал доказательством того, что значительные достижения возможны и в скромных помещениях. Действительно, всю мою жизнь Эрдберг был для меня символом серьезной и находчивой экспериментальной деятельности. Когда мне удалось вдохнуть немного жизни в Институт физики в Граце, я называл его "маленьким Эрдбергом*. Он был не таким уж и маленьким, потому что в два раза превосходил Эрдберг времен Стефана, но мне все еще не удалось насадить там дух Эрдберга".

ЭФФЕКТ ДОПЛЕРА

Эффект Доплера был впервые предложен в 1842 году Кристианом Доплером, который использовал его для объяснения особенного света, испускаемого бинарными звездными системами. Он утверждал, что на частоту волны (света или звука) влияет движение источника относительно приемника. Пример эффекта Доплера — машина "скорой помощи", которая приближается к наблюдателю, а затем удаляется: звук сирены внезапно кажется глуше. Объяснение этого явления проясняется, если посмотреть на прилагаемый рисунок: волны сжимаются перед с источником и становятся более разреженными позади него. Это происходит потому, что, двигаясь вперед, излучатель преследует свои собственные волны и "убегает" от распространяющихся назад. В случае со звуком более сжатые волны соответствуют более высокому звуку; в случае со светом они соответствуют цвету, приближающемуся к синему. Эффект Доплера, примененный к галактикам, привел к открытию расширения Вселенной.

-------------------конец врезки-----------

Фигура, которая передает дух Эрдберга как никто, — это Йозеф Лошмидт (1821 -1895), принятый в институт Стефаном и вскоре ставший большим другом как директора, так и Больцмана. Он был воплощением рассеянного ученого, для которого поиск знания оставался единственной достойной целью. Прочая светская суета, от политики до кулинарии, были лишь развлечениями, которые уводили его в сторону от преследования истины.

В некрологе насмерть Лошмидта Больцман вспоминал, как однажды он пришел к нему и с гордостью продемонстрировал прерыватель Фуко, который ему удалось почистить. Лошмидт внимательно осмотрел его и сказал, что не видит никаких изменений. "Но я же убрал всю грязь!" — возмутился Больцман, и Лошмидт ответил: "Я стараюсь от этого абстрагироваться", что показывает, каким человеком он был.

Оставлять в стороне второстепенное так же важно, как и придерживаться главного.

Йозеф Лошмидт

Лошмидт не только был дорогим другом Больцмана, но и сыграл ключевую роль в укреплении атомной теории. Как выдающийся химик он предложил молекулярные структуры для сотен веществ; некоторые авторы утверждают, что он предсказал циклическую форму бензола до Августа Кекуле (1829- 1896). Лошмидт также сформулировал один из двух парадоксов, с которыми пришлось бороться Больцману, парадокс обратимости сегодня все еще вызывает полемику среди ученых.

Другим человеком, оказавшим большое влияние на Больцмана, был Йозеф Стефан: не только потому что был его наставником в Эрдберге, но и потому что познакомил с работами британских ученых (в частности, Максвелла), которые Больцман затем расширил и получил статистическую формулировку термодинамики. Стефан, значимый физик-теоретик, занимался разнообразными темами, от электромагнетизма до термодинамики; также он был успешным экспериментатором, до такой степени, что изобрел инструмент, диатермометр, в свое время имевший некоторую популярность и использовавшийся для измерения способности газа к теплопередаче. Однако открытие, благодаря которому он известен сегодня,— закон излучения черного тела (излучения, которое испускает абсолютно черное тело); один из столпов, на которые опирался Макс Планк, чтобы дать стартовый сигнал квантовой механике. Закон Стефана был доказан Больцманом благодаря его особому подходу к статистическим проблемам.

О Стефане и Лошмидте (и об особенностях работы Эрдберга в целом) Больцман говорил следующее:

"В чем они полностью совпадали, так это в отсутствии претензий, простоте и скромности. Они никогда не стремились демонстрировать свое духовное превосходство. Хотя я провел с ними много лет, сначала как студент, а затем как ассистент, я никогда не слышал других слов, кроме тех, что говорятся друзьями. Олимпийское спокойствие и утонченный юмор, которые превращали самую ярую дискуссию в забавную игру, произвели на меня такое впечатление, что в какой-то степени стали частью моего образа жизни".

В 1864 году Больцман получил грант. На следующий год он опубликовал свою первую статью, подсказанную Стефаном и Лошмидтом, озаглавленную "Движение электричества в кррвых поверхностях". Однако первая значимая публикация появилась в 1866 году под заголовком "Механический смысл второго принципа термодинамики".

СТАТЬЯ 1866 ГОДА

Первая статья Больцмана считается незначительной работой, но она имеет определенную важность: с одной стороны, в ней обозначена тема, к которой физик обращался снова и снова в 1870-е годы и которой посвящены его весомые публикации, связанные с механической интерпретацией второго начала; с другой стороны, Больцман обращался к кинетической теории газов как к обоснованию того, что было определяющим для всех последующих его работ. Прежде чем говорить о стратегии Больцмана, нужно кратко проанализировать понятия энтропии и кинетической теории.

Вспомним, что второе начало получило свою окончательную формулировку за год до этого, благодаря Клаузиусу, высказавшему мнение, что "энтропия Вселенной стремится к максимуму". Понятие энтропии было не очень понятным, и, действительно, пришлось ждать статьи Больцмана 1877 года, чтобы получить очевидное объяснение этому явлению. До той поры в распоряжении ученых была только последовательность верных догадок и несколько смутных определений. Единственное, что не вызывало сомнений, — это математическое выражение величины, обозначенное как пропорция между теплом и температурой. Было известно, что энтропия постоянна в цикле Карно, то есть в процессе, в котором участвовала идеализированная паровая машина, в которой пар нагревался, приводил в движение поршень и снова охлаждался. Также было известно, что поскольку машина Карно идеальна, ее нельзя сконструировать, и, следовательно, в любом реальном процессе энтропия должна возрастать.

Физический смысл энтропии был неясен, несмотря на то что математическое выражение было хорошо известно. Научное сообщество того времени знало, что это мера полезности энергии системы: чем выше энтропия, тем сложнее получить полезную работу. Клаузиус сначала связал ее с теплом, а затем окрестил "значением соответствия", подразумевая, что это вид соответствия работе в виде тепла. Затем он понял, что это не так, и в итоге предположил, что она связана с диффузией молекул, то есть со степенью их разъединения в газе. Больцман взял эту несколько смутную идею и превратил ее в точное определение.

В основу своей статьи 1866 года Больцман положил кинетическую теорию газов. Ей было уже более ста лет, ведь ее история началась в XVIII веке с Даниила Бернулли (1700— 1782), который разработал свои уравнения, исходя из того, что жидкости есть скопления молекул, находящиеся в постоянном движении. Основываясь на этом тезисе, он сделал вывод, что давление — это эффект столкновения таких молекул со стенками сосуда, в котором они находятся; он также сделал вывод, что температура — это мера энергии частиц. Его теория опередила его эпоху почти на восемьдесят лет и не была принята, поскольку многие термины, необходимые для ее понимания, должным образом развились только в XIX веке.

МАТЕМАТИЧЕСКОЕ ВЫРАЖЕНИЕ ЭНТРОПИИ

Для выражения энтропии Клаузиус прибегнул к анализу бесконечно малых. Приращение энтропии при добавлении некой величины ?Q тепла к системе с температурой Т может быть выражено как

?S = ?Q/T.

где ? обозначает приращение, S — энтропию, Q — тепло, а Т — температуру. То есть увеличение энтропии пропорционально увеличению тепла и обратно пропорционально температуре системы. Клаузиус выяснил, что если сложить все малые приращения энтропии ?S во время полного цикла Карно, то общий результат будет равен нулю: система получает столько же энтропии при нагревании, сколько теряет при охлаждении, что можно выразить как

?цикл?S = ?цикл?Q/T = Q.

где символ ? обозначает сумму. Но двигатель Карно — это идеализированный двигатель, имеющий максимальную эффективность. У реального двигателя будут потери, следовательно, в конце любого процесса окажется, что приращение энтропии положительно, то есть

?S ? 0,

что соответствует второму принципу термодинамики. На языке анализа бесконечно малых, когда приращение энтропии ?S становится очень маленьким, оно заменяется выражением dS, где буква d — "дифференциал" и обозначает бесконечно малое приращение. Точно так же суммы заменяются интегралами, которые обозначаются символом ?. Когда интеграл берется для замкнутого цикла, символ заменяется на ??, где круг обозначает возвращение к отправной точке. На языке дифференциального исчисления выражение энтропии выглядит следующим образом:

dS = dQ/T.

а тот факт, что ее приращение равно нулю в цикле Карно, выражается так:

??dS = ?? dQ/T = Q.

Оба выражения равносильны предыдущим в анализе бесконечно малых и именно их использовал Клаузиус, за исключением небольшой вариации dQ для внесения ясности.

Клаузиус был первым именитым ученым, заинтересовавшимся кинетической теорией, которую он использовал для выведения первого начала на основе принципов механики. Он обратился к тому же понятийному аппарату, что и Бернулли: для него газы — это множество молекул, беспорядочно движущихся и сталкивающихся друг с другом и со стенками сосуда (рисунок 1). Тепловая энергия газа может быть определена как кинетическая (связанная с движением) энергия отдельных молекул, что доказывает: тепло и работа — это формы передачи энергии. В своей статье 1866 года Больцман пришел к тому же результату с помощью других инструментов.

Клаузиус ввел понятие длины свободного пробега, представляющее собой среднее расстояние, которое одна молекула газа может пройти, прежде чем столкнуться с другой (рисунок 2). Длина свободного пробега тем меньше, чем больше молекул и чем больше их размер. Так, если человек знает длину свободного пробега некоторого газа, он может составить представление о размере молекул и об их числе. Это открытие оказалось актуальным в конце XIX века, поскольку существование атомов еще не было доказано, а возможность вычислять их свойства давала повод поверить в их реальность.

РИС. 1

РИС . 2

Лошмидт оказался первым ученым, использовавшим понятие длины свободного пробега для вычисления числа и диаметра молекул газа, связав введенную Клаузиусом величину с пропорцией между объемом в газообразном состоянии вещества и объемом этого вещества в сжиженном состоянии. На основе этой идеи он смог установить, что в случае с воздухом один кубический метр содержит примерно 19 квадриллионов молекул, то есть 19 с 24 нулями. Вычисление Лошмидта стало первой оценкой постоянной Авогадро, устанавливающей число молекул в одном моле вещества (моль — химическая единица, макроскопическое представление атомной массы молекулы).

ЧИСЛО АВОГАДРО

Одна из самых важных величин в химии — это число Авогадро, которое, несмотря на название, было вычислено Лошмидтом. Оно обозначается так в память об Амедео Авогадро (1776-1856), впервые предположившем, что объем газа должен быть пропорционален числу содержащихся в нем молекул. Химикам привычно измерять вещества единицей под названием моль. Идея, лежащая в основе понятия моль, заключена в том, что число частиц важнее массы или объема. Так, один моль любого вещества (чистого или составного элемента) имеет ровно то же самое число частиц, что и моль другого вещества, в котором эти частицы могут быть атомами или молекулами. Другая важная величина — это атомная масса. Она определяется как отношение между средней массой атомов некоего элемента и 12-й частью массы углерода-12. Моль вещества определяется как атомная масса в граммах: например, один моль газа водорода (атомная масса 1), молекулы которого состоят из двух атомов, весит два грамма; один моль кислорода (атомная масса 16), молекулы которого также состоят из двух атомов, весит 32 грамма. Так остается постоянной пропорция между массами различных веществ. Следует подчеркнуть, что можно использовать понятие моля без детализации знаний о ядре атомов: нужно только иметь представление о пропорции между количеством веществ, вступающих в реакцию. Если мы знаем, что один моль кислорода весит 32 грамма, и замечаем, что он всегда реагирует с четырьмя граммами водорода, то. имея формулу Н20, мы можем сделать вывод, что один моль водорода весит два грамма. Несмотря на то что Лошмидт вычислил плотность молекул на кубический метр воздуха, легко применить полученное им число для выяснения числа молекул в одном моле. Это 6,022 · 1023, и оно известно как постоянная Авогадро.

Теперь мы уже можем понять содержимое статьи Больцмана 1866 года. Работа начиналась с определения температуры газа со средней кинетической энергией молекул. Для этого физик доказал, что в состоянии равновесия (в котором нет теплопередачи между одним веществом и другим, поскольку оба находятся при одинаковой температуре) также нет передачи кинетической энергии между молекулами этого вещества.

Но когда два вещества пребывают в неравновесии, кинетическая энергия молекул стремится переходить от более теплого к более холодному. То есть среднее значение кинетической энергии ведет себя точно так же, как и температура: отождествить их обе кажется самым естественным выводом.

Больцман прибегнул к любопытной гипотезе: он предположил, что движение молекул периодично. То есть при достаточном времени молекула будет менять значения энергии, пока не вернется к значению, которое имелось вначале. Также он добавил: "Если орбиты не замкнутся за конечное время, можно предположить, что это произойдет за бесконечное время". Идею можно интуитивно понять как то, что любая ситуация в итоге повторится, если подождать достаточно времени.

С толкованием температуры в терминах механики первое начало термодинамики было прояснено: как тепло, так и работа взаимозаменяемы, поскольку это просто формы движения. В первом случае — микроскопическое, во втором — макроскопическое. Оставалось обосновать второе начало, а это было намного сложнее, притом что энтропию столь сложно понять интуитивно. Для этого Больцман использовал сугубо математические аргументы, без углубления в физику, что было характерно для его более поздних работ. Ученый ограничился тем, что показал: тепло, понимаемое как поставляемая энергия, разделенное на температуру, полученную его выделением, порождает величину, которая ведет себя в точности как энтропия. В итоге он воспользовался макроскопическими термодинамическими аргументами (не интересуясь молекулярным поведением) для доказательства второго начала.

ПРЕДШЕСТВЕННИК БОЛЬЦМАНА: ДЖЕЙМС КЛЕРК МАКСВЕЛЛ

Кроме Клаузиуса, великим знаменосцем кинетической теории в конце XIX века был Джеймс Клерк Максвелл (1831- 1879). Больцман познакомился с его работой благодаря своему наставнику, Йозефу Стефану, большому поклоннику британца. Первое, что сделал Стефан, познакомившись с Больцманом, — дал ему копию статей Максвелла, одного из величайших физиков XIX века. Его теория электромагнетизма соответствует ньютоновскому исследованию тяготения за 200 лет до этого и предвосхитила первый большой шаг к специальной теории относительности Эйнштейна, возникшей, когда выяснилось, что уравнения Максвелла несовместимы с новыми представлениями о пространстве и времени.

МНОГОГРАННЫЙ ДЖЕЙМС КЛЕРК МАКСВЕЛЛ

Многие считают Джеймса Клерка Максвелла Ньютоном XIX века. Он осуществил ряд открытий, но главным было объединение законов электромагнетизма. Связь между электричеством и магнетизмом была известна с момента знаменитого эксперимента Ханса Кристиана Эрстеда (1777- 1851), который выяснил, что стрелка компаса меняет направление, если находится рядом с электрическим током. Майкл Фарадей (1791-1867) позже взял на себя доказательство того, что колеблющееся магнитное поле создает электрическое поле, и наоборот. В середине XIX века в распоряжении физиков было большое число законов, по одному на каждый небольшой раздел теории: закон Кулона для определения силы взаимодействия между двумя электрическими зарядами, закон Ампера для того же самого с силой тока, закон Фарадея для связи между магнитной и электрической силами. Максвеллу удалось обобщить все знание того времени в собрание из четырех уравнений, кроме того, он предрек новое явление — электромагнитные волны. Вскоре ученый открыл, что сам свет должен быть волной этого типа, и предсказал его скорость, которая была экспериментально подтверждена через несколько лет. Именно измерение скорости света вскрыло проблемы теории Ньютона, которая в конце концов была вынуждена уступить место специальной теории относительности Эйнштейна, исследующей объекты, перемещающиеся на скоростях, близких к скорости света.

Другие открытия

Кроме вклада в электромагнетизм и кинетическую теорию газов, среди достижений Максвелла первая цветная фотография (1861). Он также издал книгу по теории управления, где объяснял, как улучшить производительность паровых машин на основе регулирующих устройств.

Максвелл заложил основы, которые Больцман превратил в законченную теорию. Большим вкладом британского ученого было введение функции распределения; позже Больцман воспользовался ею. Идея этой функции была в том, чтобы задаться вопросом: "Сколько из огромного множества молекул имеет определенный диапазон скоростей?", что было более практично, чем сосредоточиваться на отдельных частицах, число которых было непригодно с математической точки зрения. Функция распределения показывает, как распределяются скорости между молекулами, и может использоваться для вычисления большинства значимых свойств газов.

Для получения приемлемого механического описания флюида Максвеллу нужно было найти подходящую функцию распределения для газа некой температуры и доказать, что это единственно возможная функция. Он преуспел в первом, но не во втором — для этого потребовался вклад Больцмана. Максвелл предположил, что единственная функция распределения, которая верно представляет распределение скоростей, — это "гауссова кривая", названная в честь математика Карла Фридриха Гаусса (1777-1855). Она имеет форму видоизмененного колокола и представляет собой распределение вероятностей для большого числа произвольных переменных.

Чтобы понять форму распределения Максвелла, нужно сосредоточиться на движении молекул в газе. Очень небольшое их количество стоит на месте, поскольку энергия, имеющаяся в распоряжении и обеспечивающая движение, очень высока. Можно объяснить это также тем, что столкновения происходят очень часто, так что любая частица в состоянии покоя через короткое время выйдет из него. Молекул с чрезвычайно высокой скоростью мало, поскольку имеющейся в распоряжении энергии недостаточно. Тогда следует ожидать, что большинство молекул будут иметь скорость, близкую к средней, и что каждый раз будет все меньше молекул, удаленных от нее. Это происходит на видоизмененном колоколе на рисунке, где показано четыре распределения для постоянной температуры.

Несмотря на то что обоснование Максвелла использования гауссовой функции было неточным, его идеи оказали большое влияние на молодого Больцмана, который прочитал статьи британца через некоторое время после публикации своей статьи в 1866 году. После прочтения Максвелла у него появились новые идеи, и в 1868-м он вновь взялся за дело, пользуясь другим математическим аппаратом.

Различные формы распределении скоростей для четырех благородных газов при постоянной температуре. На графике отражены случаи ксенона, аргона, неона и гелия.

В 1867 году Больцман получил должность приват-доцента, а также степень доктора. Он не писал диссертацию, поскольку это не было необходимо в Венском университете до 1871 года. Достаточно было сдать экзамены по физике, математике и философии. Больцман получил оценку "отлично" по последнему предмету, что контрастирует с "хорошо" Эрнста Маха (1838- 1916), его жесточайшего врага в области философии. Больцман был реалистом (верил в реалистичность внешнего мира), в то время как Мах утверждал, что законы физики должны ограничиваться рассуждениями об ощущениях, которые являются единственным знанием, в котором нет никакого сомнения. Их спор настолько значим, что ведется до сих пор приверженцами многомировой интерпретации квантовой механики (сторона Больцмана) и копенгагенской интерпретации (сторона Маха). Первые утверждают, что математика в теории описывает реальный мир, тогда как вторые верят, что она ограничивается тем, что предсказывает результат экспериментов, при этом реальность описываемого ею мира в некоторой степени незначима. То есть математический аппарат теории — это лишь средство получения экспериментальных прогнозов, а существование реальности, которую он описывает, — вопрос веры, а ей не место в научной деятельности.

ГАУССОВА КРИВАЯ

Гауссова кривая — центральный элемент теории вероятностей. Можно математически доказать, что в среднем множество независимых случайных переменных будет распределяться по этой модели. Ее применение видно на примере экспериментальной физики: когда измеряется некоторая величина, обычно получают несколько результатов, которые колеблются вокруг среднего значения, но, как правило, они неодинаковые из-за того, что называют случайной ошибкой. Слово "ошибка" означает не то, что эксперимент провалился, а что при измерении на него может повлиять большое число неуточненных (поэтому и "случайная") причин. Итак, если взять достаточное число измерений, они будут распределяться в виде гауссовой кривой вокруг среднего значения. Это мощный инструмент статистического анализа данных, поскольку к гауссову распределению очень легко подойти математически, не прибегая к числовым методам, требующим компьютерных вычислений. В целом принято считать, что любые экспериментальные данные, будь то область физики, химии или общественные науки, ведут себя согласно гауссову, или "нормальному", распределению.

СТАТЬЯ 1868 ГОДА — ПРЕДШЕСТВЕННИЦА Н-ТЕОРЕМЫ

В 1868 году Больцман получил право на преподавание, что позволяло ему читать лекции в университете. В том же году он опубликовал новую статью по кинетической теории под названием " Исследования о равновесии энергии между подвижными материальными точками". В ней он исходил из распределения Максвелла и обобщал его применительно к системам, в которых молекулы подвержены действию произвольной силы. Статья 1868 года стала большим шагом вперед в развитии интерпретации термодинамики, основанной на кинетической теории: Больцман привел более мощное обоснование применения гауссова распределения к описанию газа и показал, что оно должно использоваться для чрезвычайно общего множества случаев, а также расширил работу Максвелла и включил в исследование газы, подверженные действию различных сил.

Вторая часть статьи была перспективной, в ней он оставил стратегию 1866 года и принялся за другую, абсолютно отличающуюся, заинтересовавшись глобальным состоянием системы, а не отдельными скоростями молекул. В его новом подходе был использован математический объект, который физики называют "фазовым пространством". Речь идет об абстрактной сущности, в которую включается информация о положениях и импульсах (которые получаются умножением массы на скорость) всех частиц системы. Каждое положение задано тремя числами, или компонентами: по одному для каждой из пространственных осей. То же самое с импульсами, поскольку скорости могут быть направлены в любую сторону. Если газ состоит из N частиц, то точка в фазовом пространстве задана 6N числами, поскольку с каждой молекулой связано три числа для ее положения и три числа для ее импульса, всего шесть. Конфигурацию системы тогда можно уточнить, выбрав точку в фазовом пространстве; ее эволюция рассматривается как траектория, которую она описывает в этом пространстве, двигаясь от одной конфигурации к ближайшей.

Больцман воспользовался этой идеей, чтобы доказать: любой изолированный газ рано или поздно достигает гауссова распределения (в чем потерпел поражение Максвелл), и после его достижения других изменений больше не происходит. Он показал, что если энергия системы постоянна, постоянно и распределение вероятностей, и что при большом числе частиц это распределение окажется распределением Максвелла.

Он не только смог воспроизвести результат своего предшественника, но и предоставил гораздо более строгое и общее обоснование. Кроме того, он наметил контуры своей последующей статьи 1877 года, в которой полностью принял метод рассмотрения газа, положив начало статистической физике.

ДЕЙСТВИТЕЛЬНЫЕ ЧИСЛА И РАЦИОНАЛЬНЫЕ ЧИСЛА

Действительные числа состоят из суммы множеств рациональных и иррациональных чисел. Первые числа — те, что можно выразить в виде частного между двумя целыми числами; вторые нельзя выразить таким образом. Примеры рациональных чисел — 2,5/7 или 2,35; а ?, е или ?2 — иррациональные числа. Иррациональные числа в бесконечное число раз изобильнее, чем рациональные. В самом деле между двумя любыми действительными числами существует бесконечное число иррациональных чисел. Чтобы убедиться в этом свойстве, достаточно сосредоточиться на их десятичном выражении. Возьмем два очень близких числа, таких как 1,00000000250 и 1,00000000251. Если добавить произвольный набор нулей и единиц после 5, получается бесконечное число сочетаний (поскольку существует бесконечное число знаков после запятой) чисел, имеющих значение между двумя предыдущими. Какой бы маленькой ни была разница, их всегда будет бесконечное число, поскольку бесконечность минус конечное число остается бесконечностью. При заданном конечном времени невозможно, чтобы молекула прошла через все возможные состояния энергии, если она способна принимать любые действительные значения. Единственное, в чем можно быть уверенными, — траектории будут "плотными", и с математической точки зрения это означает, что они будут проходить произвольно близко к любому числу.

Но в выводе Больцмана наблюдалась одна проблема, и состояла она в использовании того, что позже получило название "эргодической гипотезы". Речь о допущении, что при достаточном времени молекула пройдет через все возможные значения энергии, что необходимо для применения теории вероятностей в строгом виде. Предположим, что некая молекула находится в состоянии покоя в некий момент; каждый раз, когда она будет подвергаться столкновению, ее кинетическая энергия будет изменена и примет новое произвольное значение; если подождать достаточно времени, кажется логичным предположить, что молекула пройдет через все возможные значения энергии.

Однако действительные числа (рациональные и иррациональные) обладают свойствами, о которых Больцман не знал и которые противоречат его гипотезе: между двумя любыми числами существует бесконечное число других действительных чисел. Итак, даже если в нашем распоряжении будет бесконечное время, ничто не гарантирует, что произвольно меняющееся значение повторится, поскольку бесконечность действительных чисел имеет больший порядок. Если вновь обратиться к газу Больцмана, то число возможных состояний энергии бесконечно больше, чем число изменений скоростей, даже если в нашем распоряжении есть бесконечное время.

Больцман сомневался в своем предположении и старался нс использовать его в большинстве работ; в статье 1872 года он нашел изобретательный способ избежать его, благодаря чему на тридцать лет приблизился к квантовой механике.

ПЕРВОЕ ПРЕБЫВАНИЕ В ГРАЦЕ

Удача, которая сопутствовала ему с момента поступления в Венский университет в 1863 году, продолжала улыбаться и после получения права на преподавание. Его слава распространялась с момента публикации статьи 1868 года, кроме того, его поддерживал Стефан. В 1869 году освободилась кафедра математической физики в Грацском университете, очень престижном в ту пору. Кафедру экспериментальной физики тогда занимал Август Теплер (1836-1912), который был знаком с работой Больцмана и высоко ее оценивал. Несмотря на то что имелись два других кандидата на должность, шансы которых сперва были выше, чем у Больцмана, благодаря давлению Стефана и Теплера кафедру в итоге получил он.

В Граце Больцман оправдал надежды. Он сдружился с Теллером, физиком-экспериментатором, энтузиазм которого в науке соответствовал его собственному. Они оба работали в новом здании (Больцман позже называл его "маленьким Эрдбергом") и даже совместно подписывали статьи. Это был один из самых плодотворных периодов Людвига.

Университет был доволен его отдачей и поддержал ученого значительной прибавкой к жалованью и постоянными разрешениями на посещение других исследовательских центров. Больцману они пошли на пользу. В 1871-м он съездил в Гейдельберг, где познакомился с Густавом Кирхгофом (1824-1887) и Робертом Бунзеном (1811-1899); позже он отправился в Берлин, где подружился с Германом фон Гельмгольцем (1821-1894), которого потом долгие годы считал единственным, кто его понимал.

В Гейдельберге он произвел большое впечатление. Математик Лео Кёнигсбергер (1837-1921), один из преподавателей университета, в автобиографии рассказывает, что Больцман, присутствовавший на одном из его семинаров, с удивительной легкостью решил задачу, когда никто другой не мог найти ее решение. Кёнигсбергер поговорил с Больцманом и предложил ему навестить Кирхгофа, который тогда считался одним из главных интеллектуалов Германии, поскольку был убежден, что эти двое хорошо поладят. Больцман не заставил себя упрашивать, запросто предстал перед Кирхгофом и, едва увидев его, выпалил, что обнаружил ошибку в одной из его статей. Немец рассердился, но был вынужден признать, что Больцман прав, и это стало началом многолетней дружбы.

Через год он нанес визит Гельмгольцу в Берлине и нашел в нем того, кто не только был способен понять его математические выкладки, но и исследователя, с кем он мог обсудить их как с равным. Больцман, всегда любивший научные споры, ощутил огромное удовлетворение от этой "находки". Однако Гельмгольц был чрезвычайно холодным и закрытым человеком, с которым Больцман никогда не чувствовал себя абсолютно комфортно, не мог вести себя с ним естественно, считая поведение немцев слишком натянутым. Некоторые биографы объясняют холодностью Гельмгольца отказ Больцмана от кафедры математики в Берлинском университете, что произошло спустя несколько лет. Этот эпизод поверг австрийца в глубокую депрессию, от которой он так и не оправился.

Сравнивая поведение немцев с тем, к чему он привык в Эрдберге, Больцман комментировал: "Я тогда не догадывался, что мне как ученику не следовало выбирать (...) такой тон. Когда в ходе своего последующего визита в Берлин я неосмотрительно воспользовался им в первый же день, одного взгляда Гельмгольца было достаточно, чтобы мне это стало ясно".

КИРХГОФ, БУНЗЕН И СПЕКТРОГРАФИЯ

Густав Кирхгоф был одним из великих ученых того времени и совместно со своим коллегой Бунзеном изобрел спектрографию. Эта технология нацелена на то, чтобы разделить свет, исходящий от какого-то вещества, и определить полосы различных цветов, характерных для каждого элемента. Рождение спектрографии не только позволило определить большое число неизвестных до этого элементов, но и обеспечило базу астрофизике, поскольку стало возможным разложить свет звезд, чтобы выяснить, из каких элементов они состоят. Кирхгоф также известен тем, что обобщил закон Ома, позволяющий вычислить силу тока в цепи, если известны сопротивление и напряжение. Роберт Бунзен (1811-1899), в свою очередь, прославился как изобретатель "горелки Бунзена", часто используемой в лабораториях из-за ее очень горячего пламени.

Спектроскоп, разработанный Кирхгофом совместно с Бунзеном, гравюра 1895 года.

ВЕЛИКАЯ СТАТЬЯ 1872 ГОДА

Поездки в Германию стали очередным стимулом в и без того активной деятельности Больцмана. Он часто посещал вечеринки и вел разгульный образ жизни, что может себе позволить только юноша, у которого все впереди. Не одну бессонную ночь он провел не за научной работой, а распивая пиво в огромных количествах. Больцман жил полной жизнью, возможно, зная, что скоро начнется его самая главная работа. Она обрела форму в 1872 году и имела загадочное название "Новые исследования о тепловом равновесии молекул газов". Больцман наконец-то достиг цели, которая ускользала от него с 1866 года, он доказал второе начало термодинамики на основе принципов механики. Статья принесла ему международную научную славу и ознаменовала рождение статистической физики.

В работе 1872 года содержались два больших новшества: с одной стороны, то, что сегодня называют "уравнением Больцмана", описывающим поведение газа в абсолютно разнообразных ситуациях; с другой стороны, его первое доказательство того, что второе начало есть следствие из атомной теории и вероятности, сегодня это известно как "Н-теорема".

Множественные случайные воздействия порождают нулевую силу.

Статья начиналась с ярой защиты кинетической теории, что сопровождалось ясным изложением ее постулатов. До этого объяснялось, что газ представляет собой огромное множество молекул, движущихся во всех направлениях, охватывая огромный диапазон скоростей, которые обычно очень высоки. Причина того, что человек не падает под ударами молекул, состоит в том, что их воздействие на его тело взаимно уничтожается, порождая нулевую силу. Когда средняя скорость не равна нулю, а направлена в определенную сторону, говорят, что "дует ветер". Однако скорость ветра всегда намного меньше, чем скорость любой отдельной молекулы газа. Больцман объяснял это следующим образом:

"Тот факт, что мы можем [...] наблюдать окончательно определенные законы в теплых телах, обязан тому обстоятельству, что самые случайные события, происходящие в одной и той же пропорции, дают одно и то же среднее значение. [...] Молекулы тела так многочисленны и движение их настолько быстрое, что мы можем воспринимать только их средние значения".

Больцман исходил из классической модели кинетической теории и вновь воспользовался предложенной Максвеллом идеей о функции распределения. Она давала вероятность того, что случайно выбранная молекула будет находиться в определенном диапазоне скоростей. Более детальный анализ понятия функции распределения не только поможет лучше понять статью Больцмана, но и даст представление о том, какими инструментами пользуются физики при подходе к проблеме, которая вначале кажется непригодной. Больцман оперировал двумя упрощающими гипотезами, которые можно обобщить так.

1. Газ однороден в пространстве.

2. Скорости в каждом направлении равновероятны.

Понять мотивацию этих двух гипотез нам поможет объяснение этапов, которые должен преодолеть физик при вычислении функции распределения. Сначала нужно выяснить, от каких переменных она зависит, то есть какие факторы влияют на вероятность того, что молекула будет двигаться с определенной скоростью? Одна возможность — положение внутри газа. Однако если газ однородный (с одинаковой плотностью и давлением везде), то в этом немного смысла. Молекулы в правом нижнем углу будут двигаться в среднем точно так же, как и молекулы в левом верхнем углу. Если бы дело обстояло не так, можно было заметить турбулентности газа, и, следовательно, он бы не был однородным. Это соотносится с первой гипотезой: если газ однороден в пространстве, то функция распределения не зависит от положения.

Так Больцман (и до этого Максвелл) пришел к выводу, что функция распределения может зависеть только от скорости. Однако чтобы выразить скорость частицы, обычно нужно три числа, по одному для каждого направления, что усложняет вычисления. Больцману понадобилась другая упрощающая гипотеза: предположить, что скорости не зависят от направления; то есть что скорость 20 м/с равновероятно направлена влево так же, как и вверх. Отсюда следовало, что функция распределения может зависеть только от величины скорости, а не от ее направления, что обосновывалось второй гипотезой.

Было и третье предположение, которое в научной литературе обычно обозначают как Stofizahlansatz, или "молекулярный хаос", понятие, оказавшееся ключевым в последующей полемике с Лошмидтом о парадоксе обратимости. Здесь скрывается предрассудок об оси времени, который привел к тому, что Больцман получил в результате второе начало.

В модели Больцмана атомы или молекулы двигались по газу, сталкиваясь друг с другом; для простоты он рассматривал столкновения только между двумя атомами и игнорировал (как менее частые) столкновения между тремя или более. Предположение Больцмана состояло в том, что до столкновения скорости атомов не были связаны между собой; то есть они были абсолютно случайными. Иначе дело обстояло после столкновения, поскольку направление, в котором двигалась одна из молекул, зависело от той молекулы, с которой она столкнулась. Это предположение вызывало временною асимметрию в математическом анализе, поскольку при нем можно было разделить прошлое (где не было связи) и будущее, что в свою очередь являлось причиной временно-асимметричного результата, каковым и является второе начало. Тот факт, что в чем-то настолько тривиальном скрывается секрет термодинамической необратимости, иллюстрирует утонченность и сложность идей, на которых держится теоретическая физика.

Скорости случайны до столкновения, но связаны между собой после него. Для большей ясности математика упрощена, как будто речь идет о столкновении водном измерении.

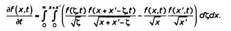
После пояснения всех гипотез можно прокомментировать первый значительный результат статьи, что позднее стало известно как "уравнение Больцмана". В нем было описание эволюции функции распределения на основе различных факторов, которые могли повлиять на нее. Он доказал, что изменение в функции распределения обязано только действию внешних сил, столкновениям между молекулами и диффузией; под последней Больцман понимал статистическую тенденцию находящихся в определенной области частиц распространяться до заполнения всего разрешенного объема.

УРАВНЕНИЕ БОЛЬЦМАНА

В самом простом виде уравнение может быть записано так:

В этом случае f представляет собой функцию распределения. Член слева — ее производная относительно времени, она показывает изменение f с его течением; член справа — изменение f, вызванное силами, диффузией и столкновениями. Уравнение Больцмана утверждает, что любое изменение в f должно быть вызвано как минимум одной из этих трех причин. Уравнение, приведенное в статье 1872 года, гораздо сложнее, поскольку Больцман не довольствовался его представлением вне развития, вычислил вклад каждого члена и пришел к интегрально-дифференциальному уравнению, которое вначале было невозможно решить. Он рассмотрел изменение функции распределения, вызванное столкновением двух молекул, которые исходно имели некоторую энергию, а в итоге другую, отличную от нее. Его использование переменных нехарактерно для сегодняшнего дня: для начальной энергии двух молекул он оперировал буквами х и х'; для энергии после столкновения — буквами ? и выражением х + х' - ?, поскольку конечная энергия второй частицы равна разности между общей энергией пары до столкновения и энергией, которую получает на выходе первая молекула. Конечное уравнение имело следующий вид:

Изменение времени в функции распределения (левая сторона) задано результатом действия сил, диффузии и столкновений (правая сторона) при сложении всех возможных состояний энергии всех частиц газа.

Воспользовавшись гипотезой молекулярного хаоса, Больцман смог трансформировать уравнение от общего (и поэтому менее полезного) вида к другому, более ясному, где для начала можно было вычислить решение. Полученное им уравнение оказалось очень мощным, и сегодня оно все еще используется для вычисления явлений, характерных для газов вне равновесия. Его также можно использовать в таких дисциплинах, как теория тяготения или электроника.

Больцман не смог или не захотел решить свое уравнение. Однако он воспользовался им для того, чтобы получить ряд результатов, благодаря которым его имя попало в историю науки. Он показал, что распределение Максвелла — решение его уравнения. Это было не то же самое, что привести общее решение, он ограничился констатацией: при вставке распределения Максвелла на место ? уравнение выполняется. Затем он доказал, что едва становится возможным описать систему с помощью распределения Максвелла, уже нельзя произвести никакое изменение. "Как только дело дойдет до этого распределения, на него не будут влиять столкновения"; то есть если любой газ каким-либо образом придет к распределению Максвелла, то внутренним столкновениям между молекулами уже не удастся изменить его состояние.

Следующий результат был еще более важным. Используя свое уравнение, он доказал, что если распределение газа не имеет форму Максвелла, с течением времени оно с каждым разом будет все больше приближаться к нему. То есть любой газ в любом состоянии будет стремиться приблизиться к распределению Максвелла и, как только достигнет его, останется в этом состоянии. Так Больцману удалось дать строгое обоснование распределению Максвелла и доказать, что любой газ должен быть описан с его помощью. Так результат, полученный на основе предположения, что газ ведет себя согласно уравнению Максвелла, автоматически оказывается справедливым.

Форма распределения Максвелла, которой воспользовался Больцман, была более общей, чем у его коллеги, и была выведена более строго. Поэтому сегодня оно известно как "распределение Больцмана", хотя иногда имя Максвелла также включается, чтобы подчеркнуть его роль в открытии. Несмотря на значение этого результата, еще более удивительным был метод, которым воспользовался австрийский ученый, чтобы обосновать его, и это привело к окончательному доказательству того, что второе начало происходит из принципов механики. Его результат сегодня известен как Н-теорема.

Больцман исходил из только что предложенного уравнения и сосредоточился на величине, связанной со средним значением функции распределения. Он брал среднее значение ее логарифма, то есть операции, обратной возведению в степень, окрестив это среднее значение "Н" (хотя в оригинальной статье по неизвестной причине назвал ее "Е"), и доказал, что если его уравнение справедливо, то Н должна оставаться одинаковой или уменьшаться для любого физического процесса. Вспомним, что энтропия имеет тенденцию оставаться одинаковой или увеличиваться. Итак, Больцману надо было только поменять знак функции Н, чтобы найти механический эквивалент энтропии, с теми же самыми свойствами, что у ее термодинамического двойника. В своей статье Больцман утверждал:

"Так как Е тесно связано с термодинамической энтропией в конечном состоянии равновесия, наш результат равносилен доказательству того, что энтропия должна всегда расти или оставаться постоянной, и, следовательно, он представляет собой микроскопическое толкование второго начала термодинамики".

Определение энтропии Клаузиуса справедливо только для систем в равновесии и неспособно дать последовательного значения для систем, которые не находятся в нем; принимая во внимание, что Больцман не оговаривал отдельно эти обстоятельства, его определение было справедливо для любой ситуации. То есть Больцману не только удалось вывести формулу энтропии из самых базовых принципов, он еще и распространил ее дальше собственной области применения. Сегодня физическое сообщество располагает определениями энтропии, которые справедливы в квантовых и релятивистских системах.

Большое отличие статьи 1872 года от статей 1860-х годов заключено в открытом использовании вероятности. С самого начала Больцман утверждал, что "проблемы механической теории тепла — на самом деле проблемы вычисления вероятностей". Из-за огромного количества частиц газа единственные данные, которые можно получить экспериментальным способом, — это средние значения. Итак, если нужно понять макроскопическое поведение газа, нужно сосредоточиться на статистическом подходе к молекулам, которые его образуют.

Что любопытно, факт использования вычисления вероятностей, казалось, не вызывает у Больцмана никаких сомнений в справедливости его гипотез. Несмотря на то что в его время теория вероятностей считалась чем-то малодостоверным (этот предрассудок все еще жив в некоторых научных кругах), Больцман утверждал, что результаты, полученные с ее помощью, будут такими же точными, как и результаты, достигнутые в любой другой области физики. Поэтому сложно представить себе, что Больцман тогда осознавал, что у его второго начала могут быть исключения. Очень вероятно, что его напор в отношении непогрешимости начала, которое он подтвердил, стал причиной его проблем в будущем, когда его критики доказали: в некоторых специфических случаях энтропия должна уменьшаться. Больцман в итоге понял ошибку и незаметно изменил свою позицию в статье, опубликованной в 1877 году.

ИЗЛУЧЕНИЕ ЧЕРНОГО ТЕЛА

"Черное тело" — это объект, который не отражает излучения никакого типа, так что все испускаемое им излучение вызвано исключительно его температурой. Сначала его изучал Стюарт Бальфур (1828-1887), а затем Густав Кирхгоф. И хотя абсолютно черных тел не существует, в конце XIX века физикам удалось смоделировать устройства с похожим поведением. Кирхгоф открыл, что излучение, испускаемое черным телом, зависит только от его температуры; он также понял, что обычные тела испускают излучение, соответствующее одной и той же модели. Это помогает определить температуру объекта без использования термометра; именно так можно замерить температуру Солнца или, как было сделано недавно, температуру микроволн, которые пронизывают Вселенную и открытие которых дало толчок теории Большого взрыва.

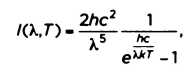
Спектр излучения черного тела. Пунктирная линия показывает прогнозы теории Максвелла, в то время как сплошные линии соответствуют результатам экспериментальных измерений.

Больцман сыграл важную роль в истории изучения черного тела, подведя теоретическое обоснование под формулу, выведенную Йозефом Стефаном. То, что сегодня известно как закон Стефана — Больцмана, имеет следующее выражение: j = ?Т4 где j — мощность, излучаемая на единицу площади, Т — абсолютная температура (в Кельвинах), а ? — константа. В конце XIX века было обнаружено, что электромагнитная теория не может объяснить все экспериментальные результаты, которые показывали, что излучение имеет вершину на определенной длине волны и с тех пор уменьшается, как для больших, так и меньших длин волн. Однако электромагнетизм Максвелла прогнозировал другие результаты, согласно которым излучение должно увеличиваться, по мере того как длина его волны уменьшается. Эта проблема была решена Планком в 1900 году. Воспользовавшись статистикой Больцмана и сделав допущение, что энергия излучения тела может принимать только дискретные значения (эту уловку он также скопировал у Больцмана), он смог вывести закон, в котором точно воспроизводились экспериментальные результаты, а именно:

где I обозначала мощность, испускаемую на единицу площади, а ? — длину волны. В этой формуле впервые появилась h, постоянная Планка, которая определила эру квантовой механики, а также постоянная Больцмана k.

Но есть еще кое-что в статье 1872 года. Речь идет о математической уловке, к которой он прибегнул, чтобы доказать свой результат по-другому, намереваясь придать ему еще большую достоверность. Уловка заключалась в том, чтобы высказать догадку о природе атомов, и 30 лет спустя она обеспечила Планку инструменты для анализа излучения черного тела, и был дан стартовый сигнал квантовой механике.

Ранее упоминались использование эргодической гипотезы (предположения, что молекула проходит через все возможные состояния энергии) и проблемы, которые в связи с этим возникали. В своей статье 1872 года Больцман избежал ее, предположив, что существует только конечное число возможных состояний энергии, что сегодня известно как "дискретизация". Физик ввел допущение, что энергия молекул газа может принимать лишь некоторые значения (кратные некоторому числу), чтобы затем привести к произвольно малому значению, и это делало результат более обобщенным. Итак, для доказательства своего начала, используя энергию вместо скорости, Больцман дискретизировал энергию молекул так, что общая энергия могла быть вычислена в виде суммы. У дискретизации было две задачи: с одной стороны, она упрощала расчеты; с другой стороны, когда все возможные значения энергии стали конечным числом, оказалось ясно, что при достаточном времени молекулы в итоге пройдут через них все.

Распределение Больцмана, примененное к черному телу, точно объясняло результаты Планка, сразу принявшего точку зрения атомизма. Через некоторое время Эйнштейн объяснил фотоэлектрический эффект, создание электрического тока на основе света, испускаемого на металл, пользуясь похожей гипотезой: свет состоит из частиц, энергия которых может принимать не любое значение, а также дискретна. Квантовая механика родилась из статистической физики.

Н-теорема была очень важным результатом, так что на нее обратило пристальное внимание все научное сообщество. Это принесло Больцману не только репутацию, которая росла в течение жизни, но одновременно и шквал критики его вероятностного подхода ко второму началу. Одним из самых мощных критиков оказался его друг Лошмидт, изложивший парадокс обратимости и заставивший Больцмана размышлять о своем доказательстве и о природе времени. Плодом этого размышления стала последняя великая статья 1877 года, в которой содержалась формула, выгравированная на его могиле.

Более 800 000 книг и аудиокниг! 📚

Получи 2 месяца Литрес Подписки в подарок и наслаждайся неограниченным чтением

ПОЛУЧИТЬ ПОДАРОК