ГЛАВА ПЯТАЯ ЭКСПЕРИМЕНТАЛЬНОЕ ПОДТВЕРЖДЕНИЕ МАКСВЕЛЛОВСКОЙ ЭЛЕКТРОДИНАМИКИ: ГЕЛЬМГОЛЬЦ И ГЕРЦ

Максвелловская попытка нащупать разумный компромисс между тремя исследовательскими программами – Юнга-Френеля, Фарадея и Ампера-Вебера – была подхвачена Германом Гельмгольцем в работе «Об уравнениях движения электричества в покоящихся проводящих средах», опубликованной в 1870. В гельмгольцевском формализме заряды и токи рассматривались в качестве источников электрических и магнитных полей, что напрямую вело к лоренцевскому дуалистическому объединению уравнений движения зарядов и уравнений поля в 1892—1900.

Будучи автором знаменитой монографии (1847), заложившей теоретические основы закона сохранения энергии, Герман фон Гельмгольц (1821—1894) исходил в его обосновании из ньютоновской парадигмы центральных сил, действующих мгновенно вдоль прямых линий. Это, с одной стороны, обусловило его постоянный поиск компромисса между теориями действия на расстоянии и полевыми представлениями уже в области электродинамики. С другой стороны, в области эпистемологии и натурфилософии он был убежденным противником т.н. «немецкой натурфилософии» Шеллинга и Гегеля, и рассматривал свое творчество как возвращение к серьезному и трезвому «аутентичному Канту». (Как известно, во время своего обучения в берлинском университете Гельмгольц посещал лекции по философии Канта).

Неслучайно Гельмгольц известен как один из создателей т.н. «теории иероглифов», согласно которой наши представления являются только знаками, но не копиями вещей «самих по себе», а пространственные характеристики объектов – это интерпретации наших ощущений, но не их непосредственный результат.

Конечно, Гельмгольц не был ортодоксальным кантианцем. Например, в своей статье (1918) глава марбургской школы неокантианства Эрнст Кассирер отмечал, что несмотря на то, что взгляды Гельмгольца «были сознательно связаны с Кантом» и на то, что Гельмгольц оказал «значительное влияние на формирование неокантианства», он сделал априорное зависящим от опыта, что, конечно, явилось значительным отходом от ортодоксального кантианства (Patton, 2009). Сам Гельмгольц рассматривал свою эпистемологию как разновидность «научно улучшенного кантианства» (Coffa, 1993,p. 171).

Гельмгольц высоко оценивал максвелловское доказательство того факта, что поляризованное вещество может способствовать распространению света как результат «исключительной важности». Но он скептически относился к максвелловской идее светового эфира и вместо нее разрабатывал концепцию, основанную на представлениях о диэлектрическом и диамагнитном веществе. В этой эфирной модели требование бесконечной проводимости заставляло заряд вести себя подобно несжимаемой жидкости, и делать все токи замкнутыми – как, впрочем, и в теории Максвелла. Гельмгольц упорно пытался переполучить все значимые результаты максвелловской теории, не отказываясь при этом от основных положений электродинамики Ампера-Вебера. В частности, он предполагал, что электростатические силы обязательно присутствуют в пространстве в качестве особого поля, и что изменение поляризации или смещения зарядов свидетельствует об изменении поля электростатического (Helmholtz, [1870], 1882).

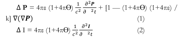
Исходя из описанных выше допущений, Гельмгольц успешно вывел обобщенные уравнения, во многом сходные с уравнениями Максвелла и показал, что в определенном предельном случае они переходят в максвелловские. Решив их для случая однородного диэлектрика, он пришел к следующим волновым уравнениям для векторов электрической и магнитной поляризации P и I (подробнее см. Smirnov-Rueda, 2001):

Уравнения (1) – (2) имеют решения, описывающие поперечные волны, распространяющиеся со скоростью:

Но уравнение (1) также содержит в качестве своего решения и продольные волны электрической поляризации, распространяющиеся со скоростью:

В итоге основные результаты максвелловской электродинамики воспроизводятся в предельном переходе k=0.

Таким образом, в дополнение к обычным поперечным электромагнитным волнам, Гельмгольц обнаружил продольные электрические волны, распространяющиеся с бесконечной скоростью в максвелловском пределе k=0.

В дальнейшем, совместно со своими учениками американцем Генри Роуландом и русским физиком Николаем Шиллером, Гельмгольц провел в берлинском университете в 1873-78 гг. серию экспериментов по открытым токам. Для разрешения проблем, возникших в связи с этими экспериментами, Гельмгольц организовал в 1879 г. конкурс с премией за «экспериментальное упрочение любого отношения между электромагнитным действием и поляризацией диэлектриков» и уговорил одного из лучших своих студентов – Генриха Герца – принять в этом конкурсе участие.

Вот как Гельмгольц впоследствии вспоминал (в предисловии к герцевским «Принципам механики») обстоятельства этой проблемной ситуации, предварительно красочно описав «ставшее неуправляемым» положение, когда многочисленные «чрезвычайно сомнительные» теории Неймана, Римана, Грассмана, Клаузиуса и др. спорили друг с другом за объяснение многочисленных явлений электромагнетики: «Я пришел к следующему общему результату. Явления с полностью замкнутыми токами … могут быть одинаково хорошо выведены из любой упомянутой выше гипотезы… С другой стороны, выводы, следующие из них в случае неполностью замкнутых токов, значительно отличались друг от друга… Поэтому всякое расхождение между любой новой теорией и любым известным фактом в этой хорошо проторенной области должно вскорости привлечь внимание и использовано для опровержения этой теории.

Но на открытых концах незамкнутых проводников, между которыми расположены изолирующие массы, любое движение электричества вдоль длины проводника немедленно вызывает накопление электрических зарядов; это вызвано накоплением электричества, которое не может пробить себе дорогу через изолятор, находящийся между концами проводника. Между электричеством, накопленным на конце, и электричеством того же типа, которое растет против него, возникает сила отталкивания; и этой силе необходимо чрезвычайно короткое время для достижения такой величины, которая полностью сдерживает рассматриваемый поток электричества. Тогда рост прекращается; и через мгновение покоя снова начинается рост аккумуляции электричества в противоположном направлении» (Helmholtz 1899, pp. X – XI).

И в 1886—88 гг. Генрих Герц занялся в Карлсруэ – пригороде Берлина – исследованием соотношений между теориями Максвелла и Гельмгольца в новой серии экспериментов. Как впоследствии описывал истоки своих исследований сам Герц в статье «Силы электрических колебаний, рассматриваемые с точки зрения теории Максвелла»: «моя первоначальная интерпретация этих экспериментов основывалась на старых взглядах и частично пыталась объяснить эти феномены как возникающие из-за совместного действия электростатических и электромагнитных сил. Максвелловской теории в ее чистом виде подобное разделение чуждо» (Hertz [1889], 1893,p. 137).

Он наметил целую серию измерений, исходящих из гельмгольцевского разделения общей электрической силы на электростатическую и электродинамическую компоненты, распространяющиеся с принципиально отличными друг от друга скоростями. Согласно Герцу, «Общая сила может быть разделена на электростатическую и электродинамическую части; несомненно, что на коротких расстояниях преобладает и определяет направление действие общей силы первая компонента, а на длинных – вторая « (Hertz [1888], 1893, p. 110).

В соответствии с законом Кулона, электростатическая компонента должна быть пропорциональна обратному квадрату расстояния, в то время как электродинамическая компонента – только расстоянию в минус первой степени. В стандартном разделе классической электродинамики этой ситуации соответствует член, описывающий продольную компоненту электромагнитного поля, и член, описывающий поперечную, или радиационную компоненту.

Для проведения задуманной серии экспериментов необходимы были устройства, генерирующие электрические колебания, гораздо более быстрые по сравнению с уже существующими. Герцевские усилия и в этом отношении направлялись исследованиями Гельмгольца: «именно Гельмгольц в своей статье Ueber die Erhaltung der Kraft впервые установил (в 1847), что разряд лейденской банки носит осцилляторный характер» (Hertz [1890b],1893,p. 269).

Усилия Герца были, как известно, вознаграждены; он быстро продемонстрировал существование чрезвычайно быстро изменяющихся токов с сильным индуктивным действием через разрядную полость (Hertz, [1887]). Он также установил резонансное соотношение между первичной и вторичной электрической цепями в присутствии регулярных колебаний. Как впоследствии – в предисловии к первому сборнику своих статей – отмечал сам Генрих Герц, «вскоре после начала экспериментов я был поражен явной обратной связью между одновременными электрическими искрами… [Но] что меня особенно удивило, так это постоянное увеличение расстояния, на котором я мог воспринимать это действие; до этого общепринятые воззрения состояли в том, что электрические силы ослаблялись в соответствии с ньютоновским законом, и поэтому быстро стремились к нулю по мере роста расстояния» (Hertz, 1893, pp. 4,6).

Следующий важный шаг состоял в модификации и улучшении приемного устройства (вторичной цепи). Сделав это, Герц приступил к проблеме распространения колебаний в воздухе. В конце 1887 г. он наблюдал стоячие волны, образованные интерференцией колебаний, распространяющихся в воздухе и в медном проводе. Полученный результат – значительно отличающаяся от скорости света скорость наблюдавшихся колебаний, – сначала сильно озадачил Герца. Он вынужден был повторить свои эксперименты осенью 1888 г., используя значительно более короткие длины волн – порядка 30 см. Теперь уже разработанная техника позволила Герцу начать серию экспериментов по отражению, преломлению и поляризации радиоволн, наглядно раскрыв потрясающую аналогию между оптическим излучением и радиоволнами (Hertz, [1888b]).

Необходимо отметить, что заголовок герцевской работы 1888 г. «О конечной скорости распространения электромагнитного действия» с современной точки зрения может характеризоваться как старомодный, поскольку сторонники максвелловской теории, особенно т.н. «максвелловцы» (the Maxwellians) никогда не употребляли термины гельмгольцевской электродинамики. И тем более они никогда не расщепляли общую электрическую силу на электромагнитную и электростатическую части. Но для тех современников Герца, которые поддерживали теорию Гельмгольца, значение полученных Герцем результатов было ясно: герцевские эксперименты делали качественное заключение о конечности распространения электромагнитной части, но ничего определенного не могли сказать об электростатической компоненте. Поэтому Герц в этой статье и делал важную оговорку: «Из этого следует, что абсолютное значение первого из всего этого – того же самого порядка, что и скорость света. Ничего до сих пор нельзя сказать определенного о распространении электростатического действия».

Правда, как отмечает цитировавшийся выше современный исследователь творчества Г. Гельмгольца и Г. Герца Роман Смирнов-Руэда, некоторые герцевские измерения, судя по всему, свидетельствовали о мгновенном характере электростатической компоненты, но до конца он не был в этом убежден. Поэтому Герц предпочитал осторожные выражения: «В силу того, что интерференции вне всякого сомнения изменяют знак после 2,8 метров в окрестности первого осциллятора, мы можем заключить, что электростатическая сила, которая в данном случае превалирует, распространяется с бесконечной скоростью» (Hertz [1888], 1983, p. 110).

По сути дела последняя часть приведенной цитаты предвещает последующий переход Герца в «максвелловскую веру». С точки зрения Герца, существование двух различных скоростей, приписываемых двум различным частям электромагнитного действия, делает задачу анализа слишком сложной. То есть из двух различных объяснений полученных данных Герц выбрал такое, которое в большей степени соответствует критерию «простоты», который им и до этого применялся постоянно к уравнениям Максвелла.

«Гельмгольц различает между двумя видами электрической силы – электромагнитным и электростатическим, – которым, до тех пор пока экспериментом не будет доказано противоположное, – приписывается две различные скорости. Интерпретация этих экспериментов с этой точки зрения ни в коей мере не является ошибочной, но она, возможно, излишне усложнена. В особом предельном случае теория Гельмгольца становится значительно проще, и ее уравнения в этом случае сводятся к уравнениям максвелловской теории; остается только одна сила, которая и распространяется со скоростью света» (Hertz [1889], 1893, p. 123).

С нашей точки зрения, именно попытка обосновать рациональность принятия более простого объяснения опытов с радиоволнами вынудила Герца «забросить» сулящие колоссальные эвристические (не говоря уже о технологических) перспективы опыты и посвятить последние три года своей и без того короткой жизни своему утопическому проекту преобразования классической механики. Об этом предельно ясно говорит в предисловии к своей книге «Принципы механики» сам Герц: «было бы чересчур поспешным попытаться основать уравнения движения эфира на законах механики до тех пор, пока мы не решим для себя окончательно, что же под этим понимать» (Hertz, 1893,p. XXI).

Герцевская «сверхзадача» состояла, в первом приближении, в элиминации понятия «силы». Но – лишь в первом приближении. На самом деле Герц ставил перед собой более амбициозную задачу – приведение опоры всей классической физики – ньютоновской механики – в большее соответствие с прагматическим «духом времени», состоящим в конструктивистском выборе самых простых, удобных, менее «вычурных» вариантов, в оперировании только с теми величинами, которые можно измерить: «мы можем ожидать найти в этих уравнениях [ электромагнитного поля] отношения между физическими величинами, которые наблюдаются на самом деле, а не между теми величинами, которые служат только для вычислений» (Hertz [1890a], 1893, p. 196).

Каковы же были критерии, при помощи которых Генрих Герц намеревался подвергнуть классическую механику критическому анализу? – Они, вне всякого сомнения, отыскивались Герцем в сфере кантовской эпистемологии, изложению основных идей которой и посвящено знаменитое введение к его работе. Неслучайно еще до знакомства с Гельмгольцем Герц посещал в Дрездене лекции по кантовской эпистемологии. В своей «Механике» Герц отмечал, что в процессе познания внешнего мира мы формируем для себя образы или символы внешних объектов. Та форма, которую мы им придаем, такова, что необходимые следствия образов в мыслях всегда являются образами необходимых следствий в природе тех вещей, которые нами изображаются. Для того, чтобы это требование могло быть удовлетворено, должно существовать определенное «конформное сходство» между природой и нашей мыслью. Опыт учит нас, что это требование может быть удовлетворено, и что поэтому подобное сходство существует на самом деле. Когда из нашего аккумулированного предыдущего опыта нам удалось вывести образы рассматриваемой природы, мы можем тогда в течение короткого времени развить с их помощью, как посредством моделей, те следствия, которые во внешнем мире возникают или только в течение сравнительно долгого времени, или в результате нашего собственного вмешательств.

«Те образы, о которых мы только что говорили, – это наши концепции вещей. С вещами самими по себе они находятся в состоянии сходства только в одном важном аспекте, а именно в удовлетворении того требования, о котором говорилось выше. Для наших целей не является необходимым, чтобы они находились в состоянии сходства с вещами в любом другом отношении. Как правило, мы и не знаем, и у нас нет других средств для того, чтобы узнать, находятся ли наши концепции вещей в конформном сходстве с ними в любом другом аспекте, который отличается от данного фундаментального аспекта.

Те образы, которые мы можем сформировать о вещах, не детерминируются однозначным образом тем требованием, согласно которому следствия образов должны быть образами следствий. Возможны разные образы одних и тех же объектов, и эти образы могут отличаться друг от друга в самых разных отношениях. Мы должны обозначить как недопустимые все образы, которые неявно противоречат законам нашей мысли» (Hertz, 1899,p. 1).

С нашей точки зрения, конец этой по необходимости пространной цитаты имеет непосредственное отношение к рассмотренной выше ситуации выбора между теориями Гельмгольца и Максвелла. Герц уже сделал к этому времени свой выбор – в пользу теории Максвелла, и теперь он должен его эпистемологически обосновать.

«Но два [логически] допустимых и [эмпирически] корректных образа одних и тех же внешних объектов могут тем не менее отличаться в отношении соответствия [appropriateness]. Из двух образов одного и того же объекта тот является наиболее соответствующим, который изображает большее число существенных отношений объекта, – тот, который мы можем называть более отчетливым [distinct]. Из двух одинаково отчетливых образов наиболее соответствующим является тот, который содержит, вдобавок с существенных характеристикам, меньшее число излишних, или пустых, отношений – тот, который из двух является самым простым. Без пустых отношений полностью обойтись нельзя: они входят в образы потому, что это просто образы, – образы, созданные нашим сознанием и с необходимостью вызванными характеристиками его способа изображения» (Hertz 1899,p. 2).

Яркими примерами излишних образов являются «сила» и «электричество», вокруг которых нагромождено гораздо больше всевозможных связей и отношений, чем это необходимо. В частности, в механике сила вводится как причина движения до самого движения и независимо от него. Поэтому, по Герцу, надо создать такой вариант механики, который оперировал бы вместо понятия силы понятием энергии. Что касается электричества, то работа критерия простоты в этой области рассмотрена Герцем в докладе на заседании германской ассоциации содействия развитию естественных наук и медицины, сделанном в 1889 г., в которой он рассмотрел тот тупик, к которому пришла история теорий действия на расстоянии: «Стало необходимым увеличить число действий-на-расстоянии, и улучшить их форму. В результате эта концепция постепенно утратила свою простоту и физическую вероятность» (Hertz [1889], 1896,p. 315).

В итоге, в работе Герца обсуждение работы в науке «метафизического» критерия простоты завершается следующим заключением: «Сомнение, которое оказывает влияние на наше сознание, не может быть устранено за счет называния его метафизическим; каждый мыслящий разум как таковой обладает потребностями, которые ученые люди обычно называют метафизическими… Действительно, мы не можем a priori ни требовать от природы простоты, ни судить о том, что с ее точки зрения является простым. Но по отношению к созданным нами самими образам мы можем выдвигать требования. Наши решения оправдываются тем, что если наши образы хорошо адаптируются к вещам, то действительные отношения вещей должны репрезентироваться простыми отношениями между образами» (Hertz 1899,p. 23).

Кантианская компонента мировоззрения Герца и его эпистемологии проявляется не только в описанной выше познавательной схеме, придающей особое значение ясности, отчетливости и простоте теоретических построений. Как отмечает американский историк и методолог науки Джед Бухдал (Jed Z. Buchdahl), неслучайно уже в 1884 г. Герц разработал такую версию уравнений Максвелла, которая вообще не использовала понятие эфира.

«Герц, можно сказать, хотел в 1884 г. отбросить эфир, даже если при этом уравнения Максвелла были бы оставлены, для того, чтобы избежать работы с вещью, которая, с одной стороны, вела себя как лабораторный объект, а с другой – ей нельзя было манипулировать» (Buchdahl, 1998, p. 272).

Еще более важно, что в своих эмпирических схемах, аккумулировавших исследовательский опыт работы Герца с радиоволнами, Герц изображал самую важную часть своей установки – осциллятор радиоволн – как типичную кантовскую «вещь в себе». Так, на рисунке в статье «Силы электрических колебаний, рассматриваемые с точки зрения теории Максвелла» (Hertz [1889]), весьма и весьма подробно изображавшем силовые линии электромагнитного поля, осциллятор чисто символически представлен гантелями, обведенными в кружок. И это все; никаких деталей его работы и никаких исходящих из осциллятора силовых линий генерируемого им электромагнитного излучения.

Все это, конечно, неслучайно. Именно у своего учителя – Гельмгольца – Герц научился обращать внимание прежде всего на новые взаимодействия лабораторных объектов, не слишком утруждая себя рассмотрением их «природы» – тех скрытых процессов, которые за этими взаимодействиями стоят. Именно от Гельмгольца Герц научился тому, что должным образом сконструированные и эффективные физические теории основаны на потенциальных функциях, представляющих взаимодействия, имеющие место в данный момент. Подобный потенциал может быть функцией только от расстояния между объектами и от состояний, в которых объекты находятся в данный момент. Для того, чтобы определить, как изучаемые объекты будут вести себя в будущем, потенциальная функция должна подвергнуться виртуальному преобразованию. Именно Гельмгольц рассматривал потенциал как первичную, фундаментальную и ни к чему несводимую величину, из которой затем впоследствии должно быть выведено понятие силы.

«Именно потому, что Герц игнорировал физический характер объекта, производившего его излучение, – потому, что он поместил его в ментальный карантин для избегания вопросов о нем, – он и оказался способным достичь прогресса там, где его британские современники оказались бессильны» (Buchdahl, 1998,p. 272).

Любопытно, что и в наши дни проблема теоретического воспроизведения работы герцевского осциллятора остается весьма и весьма непростой. Так, в хорошо известном учебнике Чарльза Папаса «Теория распространения электромагнитных волн» (Papas, 1988) отмечается, что «детерминация антенного тока является граничной задачей значительной сложности»; автор далее старательно ее обходит.

В итоге, природа электромагнитных волн представлялась Герцу своего рода «вещью в себе», которая допускает множество интерпретаций. Исследователь естественно выбирает из этого множества такое, с которым проще всего работать. Главное – уравнения, которые отражают объективно существующие связи и отношения между теоретическими объектами. Именно об этом и свидетельствуют знаменитые слова Герца: «На вопрос «что такое теория Максвелла?» я не знаю более короткого и более определенного ответа, чем следующий: теория Максвелла – это уравнения Максвелла. Каждая теория, которая ведет к той же самой системе уравнений, и поэтому содержит в себе (comprises) одни и те же возможные явления, будет рассматриваться мной как формирующая специальный случай теории Максвелла» (Hertz 1893, p. 21).

Для адекватной оценки значимости герцевского открытия важно, что Герц был отнюдь не первым, кто наблюдал радиоволны. Так, до него Хьюз обнаружил стоячие электромагнитные волны. Или, что еще более значимо, также наблюдал радиоволны в 1875-1882 гг. и сам Томас Альва Эдисон. Но никто из них не был настолько осведомлен в теории Максвелла для того, чтобы cвязать наблюдаемые эффекты с электромагнитными волнами (Sengupta, Sarkar, 2003).

С другой стороны, роль электромагнитной теории в открытии Герца не следует и преувеличивать. Так, в предисловии к основному сборнику своих статей «Электрические волны», опубликованному впервые в 1893 г., через пять лет после знаменитых опытов по обнаружению радиоволн, Герц специально отмечал: «Я также не верю в то, что можно было прийти к познанию этих явлений на основе одной только теории. Поскольку их появление на нашей экспериментальной сцене зависит не только от их теоретической возможности, но также и от особых и удивительных свойств электрической искры, которые не могут быть заранее предсказаны ни одной теорией» (Hertz,1893, p. 17).

В общем случае, мы можем сказать, что открытие Герца является результатом плодотворного взаимодействия двух исследовательских традиций – теоретической и экспериментальной, каждая из которых обладает своей собственной логикой эволюции. В этом процессе эти традиции «обтачиваются», используя термин Максвелла «are grinding out», шлифуют друг друга. А именно: в рамках теоретической традиции выдвигаются различные предсказания, предлагаются различные объяснения. Экспериментальная же традиция выбирает самое простое.

С другой стороны, эксперимент предоставляет в распоряжение исследователя чрезвычайно большое число опытных данных; теория же позволяет отобрать лишь наиболее существенные.

«Рука об руку с теоретическими дискуссиями я продолжал экспериментальную работу…» (Hertz 1893,p. 15).

Резюме пятой главы

Максвелловская попытка нащупать разумный компромисс между тремя исследовательскими программами – Юнга-Френеля, Фарадея и Ампера-Вебера – была подхвачена Германом Гельмгольцем. В его формализме заряды и токи рассматривались в качестве источников электрических и магнитных полей, что напрямую вело к лоренцевскому дуалистическому объединению уравнений движения зарядов и уравнений поля.

Гельмгольц скептически относился к максвелловской идее светового эфира и вместо нее разрабатывал концепцию, основанную на представлениях о диэлектрическом и диамагнитном веществе. В этой эфирной модели требование бесконечной проводимости заставляло заряд вести себя подобно несжимаемой жидкости, и делать все токи замкнутыми. Гельмгольц пытался переполучить все значимые результаты максвелловской теории, не отказываясь при этом и от основных положений электродинамики Ампера-Вебера. В частности, он предполагал, что электростатические силы обязательно присутствуют в пространстве в качестве особого поля, и что изменение поляризации или смещения зарядов свидетельствует об изменении поля электростатического.

В дальнейшем, совместно с Генри Роуландом и Николаем Шиллером, Гельмгольц провел в 1873—78 гг. серию экспериментов по проверке и уточнению своих теоретических представлений. В 1879 г. он организовал конкурс с премией за «экспериментальное упрочение любого отношения между электромагнитным действием и поляризацией диэлектриков» и уговорил Генриха Герца принять в этом конкурсе участие. В результате в 1886—88 гг. Генрих Герц занялся исследованием соотношений между теориями Максвелла и Гельмгольца в серии экспериментов.

Для ее проведения необходимы были устройства, производящие электрические колебания, гораздо более быстрые по сравнению с уже существующими.

Усилия Герца были вознаграждены; он продемонстрировал существование чрезвычайно быстро изменяющихся токов с сильным индуктивным действием через разрядную полость. Он также установил резонансное соотношение между первичной и вторичной электрической цепями в присутствии регулярных колебаний. В 1888 г. разработанная техника позволила Герцу начать серию экспериментов по отражению, преломлению и поляризации радиоволн, наглядно раскрыв аналогию между оптическим излучением и радиоволнами.

Полученные результаты были подытожены в серии статей, особое место среди которых занимает работа «О конечной скорости распространения электромагнитного действия» (1888). Ее заголовок с современной точки зрения выглядит старомодным, поскольку т.н. «максвелловцы» (the Maxwellians) никогда не употребляли термины гельмгольцевской электродинамики. И тем более они никогда не расщепляли общую электрическую силу на электромагнитную и электростатическую части. Но для тех современников Герца, которые поддерживали теорию Гельмгольца, значение полученных Герцем результатов было ясно: герцевские эксперименты делали качественное заключение о конечности распространения электромагнитной части, но ничего определенного не могли сказать об электростатической компоненте. Поэтому Герц и сделал оговорку: «Из этого следует, что абсолютное значение первого из всего этого – того же самого порядка, что и скорость света. Ничего до сих пор нельзя сказать определенного о распространении электростатического действия».

Правда, некоторые герцевские измерения, судя по всему, свидетельствовали о мгновенном характере электростатической компоненты, но до конца он не был в этом убежден. Поэтому Герц предпочитал осторожные выражения: « В силу того, что интерференции вне всякого сомнения изменяют знак после 2,8 метров в окрестности первого осциллятора, мы можем заключить, что электростатическая сила, которая в данном случае превалирует, распространяется с бесконечной скоростью» (Hertz [1888], 1983, p. 110).

По сути дела последняя часть приведенной цитаты предвещает последующий переход Герца в «максвелловскую веру». С точки зрения Герца, существование двух различных скоростей, приписываемых двум различным частям электромагнитного действия, делает задачу анализа слишком сложной. Из двух различных объяснений полученных данных Герц выбрал такое, которое в большей степени соответствует критерию «простоты», который им и до этого применялся постоянно к уравнениям Максвелла.

Именно попытка обосновать рациональность принятия более простого объяснения опытов с радиоволнами вынудила Герца «забросить» сулящие эвристические (не говоря уже о технологических) перспективы опыты и посвятить последние три года своей жизни утопическому проекту преобразования классической механики.

В своих эмпирических схемах, аккумулировавших исследовательский опыт работы Герца с радиоволнами, Герц изображал самую важную часть своей установки – осциллятор радиоволн – как типичную кантовскую «вещь в себе». Аналогично, природа электромагнитных волн представлялась Герцу своего рода «вещью в себе», которая допускает множество интерпретаций. Исследователь естественно выбирает из этого множества такое, с которым проще всего работать. Главное – уравнения, которые отражают объективно существующие связи и отношения между теоретическими объектами. Именно об этом и свидетельствуют слова Герца: «На вопрос «что такое теория Максвелла?» я не знаю более короткого и более определенного ответа, чем следующий: теория Максвелла – это уравнения Максвелла.

Открытие Герца является результатом плодотворного взаимодействия двух исследовательских традиций – теоретической и экспериментальной, каждая из которых обладает своей собственной логикой эволюции. В этом процессе эти традиции «обтачиваются», используя термин Максвелла «are grinding out», шлифуют друг друга. А именно: в рамках теоретической традиции выдвигаются различные предсказания, предлагаются различные объяснения. Экспериментальная же традиция выбирает самое простое.

С другой стороны, эксперимент предоставляет в распоряжение исследователя чрезвычайно большое число опытных данных; теория же позволяет отобрать лишь наиболее существенные.

Более 800 000 книг и аудиокниг! 📚

Получи 2 месяца Литрес Подписки в подарок и наслаждайся неограниченным чтением

ПОЛУЧИТЬ ПОДАРОК