ГЛАВА ТРЕТЬЯ СЛЕДУЮЩИЙ ЭТАП РЕАЛИЗАЦИИ СИНТЕТИЧЕСКОЙ ПРОГРАММЫ МАКСВЕЛЛА: СТАТЬЯ «О ФИЗИЧЕСКИХ СИЛОВЫХ ЛИНИЯХ» (1861—1862)

Прошло шесть лет. За это время Максвелл стал профессором кафедры натуральной философии в Кингз-колледже (Лондонский университет), и имел теперь возможность встречаться с Майклом Фарадеем. Фарадей к тому времени уже завершил свои «Экспериментальные Исследования». Выйдя в отставку, он проживал в лондонском районе Хемптон Корт, не переставая, тем не менее, размышлять о проблемах электричества и магнетизма. В частности, по свидетельству одного из его биографов (Bence Jones, p. 379), именно в это время в его записной книжке появилась догадка о том, что возможная скорость распространения магнитных возмущений – того же порядка, что и скорость света.

Не общением беседами ли с Фарадеем объясняется не только появление статьи [II], но и сам ее тон?

Как писал Фарадей Максвеллу в письме, отправленном из Королевского Института 13 ноября 1857 г., «я бы хотел попросить Вас вот о чем. Когда математик, вовлеченный в исследование физических действий и результатов, приходит к своим собственным выводам, не могут ли эти выводы быть выражены при помощи обычного языка, так же полно, ясно и определенно, как в математических формулах? Если так, не будет ли слишком большой милостью для таких как мы выразить их следующим образом – перевести их с иероглифов на обычный язык так, чтобы мы тоже могли работать с ними в экспериментах» (цит. по: Dr. Bence Johns, 1870, p. 392).

Не следует также упускать из виду и то обстоятельство, что Максвелл как никто другой был заинтересован в экспериментальной проверке своих весьма нетривиальных теоретических выводов, подобных току смещения.

Как мы уже отмечали, одна из причин появления статьи [II] – в том, что проведенных в аспирантуре исследований оказалось явно недостаточно, и в 1861 г. Максвелл начинает публикацию в четырех частях в журнале «Philosophical Magazine» второй статьи, посвященной проблемам электричества и магнетизма – «О физических силовых линиях». Название первого раздела говорит само за себя:

«Применение теории молекулярных вихрей к явлениям магнетизма». Цель данного раздела – переполучить результаты, полученные теориями Вебера и Неймана, исходя на этот раз из новой, «вихревой» механической модели несжимаемой жидкости.

«Моя цель в этой статье – расчистить путь для спекуляций в этом направлении [применение концепции силовых линий] за счет исследования механических результатов определенных состояний натяжения и движения в веществе, и сравнения этого с наблюденными явлениями электричества и магнетизма» (Maxwell, [1861, p. 162).

В предыдущей статье, указывает Максвелл, им была дана геометрическая интерпретация «электротонического состояния» и определены математические соотношения между электротоническим состоянием, магнетизмом, электрическими токами и электродвижущей силой, «используя механические иллюстрации для того, чтобы помочь воображению, но не для объяснения явлений».

Теперь интонация изменяется, переходя от вопросительной и гипотетической интонации первой статьи к гораздо более твердой и уверенной.

«Теперь я предлагаю рассматривать магнитные явления с механической точки зрения, и определить, какие натяжения среды, и движения среды способны произвести наблюдаемые механические явления. Если, при помощи той же гипотезы, мы сможем связать явления магнитного притяжения с электромагнитными явлениями и с явлениями индуцированных токов, – значит мы нашли теорию, которая может быть и неистинной, но эксперименты, которые смогут ее опровергнуть, значительно расширят наши знания в этой области физики» (Maxwell, [1861], p. 163).

Максвелл констатирует, что для описания очередного ряда явлений магнетизма и электромагнетизма модель движения несжимаемой жидкости в трубках тока оказывается недостаточной и должна быть заменена другой моделью, основанной на иных представлениях. Каких? – Здесь исследования У. Томсона опять приходят на помощь. Согласно этим исследованиям, основанным на экспериментах Фарадея, если явления электричества имеют поступательный характер, то явления магнетизма – вращательный.

Как указывал сам Томсон в своем докладе в фарадеевском Королевском Институте, «определенное выравнивание осей вращения в этом вихревом движении и есть магнетизм; фарадеевский магнито-оптический эксперимент превращает это высказывание не в гипотезу, а в очевидное утверждение» (цит. по: Siegel, p. 35).

Для Максвелла было также значимо то, что молекулярные вихри также устанавливают связь теории электромагнетизма с другими его исследованиями и, прежде всего, с динамической теорией теплоты.

Для нашего исследования принципиально важно, что Томсон ввел модели вихрей в несжимаемой жидкости не только для описания чисто магнитных явлений, но и для описания явлений взаимодействия магнитного поля со светом. Он ввел модели вихрей при теоретическом воспроизведении опытов Фарадея по вращению плоскости поляризации света в магнитном поле! Фактически в попытках теоретического воспроизведения исследований Фарадея, на которые постоянно ссылался Максвелл, и произошла «встреча» оптики и теории магнетизма.

Поэтому томсоновско-максвелловские вихри фактически являются т.н. «гибридными объектами» (Нугаев, 1989), сочетающими в себе свойства двух разных теорий – оптики и теории магнетизма. Письма Томсона показывают, что он воспринимал эффект Фарадея (1845) как указание на то, что в основе оптики, электричества и магнетизма лежит один и тот же светоносный эфир. Предположив, что магнитные силовые линии репрезентируют оси молекулярных вихрей, легко можно было показать, что центробежные силы должны были стремиться расширять поперечные размеры вихрей, вынуждая их при этом, за счет несжимаемости жидкости в вихревых трубках, сокращать продольные размеры.

В итоге, « мы подошли к рассмотрению магнитных влияний как существующих в виде давлений или натяжений, или, в более общем случае, стрессов в некоторой среде» (Maxwell, [1861], p. 163).

Как известно, в теории упругости отношения между существующими силами математически описываются в виде тензоров – т. е. в виде комбинаций трех базисных натяжений по осям, взаимно перпендикулярным друг к другу. В максвелловской модели магнитное поле теперь представлено набором вихрей в несжимаемой жидкости, оси вращения которых совпадают с направлением магнитной силы в каждой точке. При переходе от точки к точке направление оси вращения, его скорость и плотность вещества изменяются.

Тензорный аппарат механики сплошных сред теперь позволяет рассчитать силу, действующую на единичный объем вещества (сравните с формулой Вебера): F = F1 + F2 + F3 + F4 + F5. Она состоит из пяти членов. Первый член F1– это сила, действующая на магнитный полюс; второй член F2 – сила магнитной индукции; третий F3 и четвертый F4 члены – сила, действующая на электрические токи. Пятый член F5 электромагнитного смысла не имеет; это – простое давление. Это еще раз говорит о том, что здесь мы имеем дело всего лишь с вихревой моделью электромагнитных процессов; какие-то стороны электромагнетизма она описывает, а какие-то – нет.

Далее, необходимо рассчитать каждый член в отдельности. В частности, в первом случае, в предположении, что плотность вещества ? соответствует магнитной проницаемости ?, а угловая скорость – напряженности магнитного поля, мы получаем, что «силовые линии в области пространства, где ? однородно, и где электрические токи отсутствуют, должны быть таковы, как это следует из теории «воображаемой материи» действующей на расстоянии. Предположения этой теории непохожи на наши, но результаты – идентичны» (Maxwell, [1861], p. 174).

От себя мы могли бы добавить, что речь идет об одном из первых применений «принципа соответствия», когда некоторые выводы «новой» теории переходят в предельном случае в выводы теории «старой». В итоге, как мы показали, все силы, действующие между магнитами, веществами способными к магнитной индукции, и электрическими токами, могут быть механически объяснены, исходя из предположения, что окружающее вещество помещено в такое состояние, в котором в каждой точке давления отличаются друг от друга в разных направлениях, причем направление наименьшего давления является наблюденной силовой линии (Maxwell, [1861, p. 281).

Поэтому «подобное состояние стресса, если мы предположим, что оно существует в веществе и устроено в соответствии с известными законами, регулирующими силовые линии, будет действовать на магниты, токи и т.д. в поле в точности теми же итоговыми силами, как те, которые рассчитаны при помощи обычных гипотез прямого действия на расстоянии» (Maxwell, [1861, p. 282).

Итак, предположим вместе с Максвеллом, что все пространство заполнено замкнутыми сферическими вращающимися ячейками с чрезвычайно малой, но конечной плотностью. Если ячейка вращается, то центробежная сила заставляет ее разбухать на экваторе и сжиматься вдоль оси вращения. Но ее соседи тогда будут оказывать на нее обратное давление, противодействуя дальнейшему расширению (подробнее см. Mahon, 2002). И если все ячейки вращаются в одном и том же направлении, то все содержащее их вещество в целом должно оказывать давление в направлениях, перпендикулярных осям вращения ячеек.

Но вдоль осей вращения должно происходить нечто прямо противоположное. Ячейки будут стараться сжаться по этим направлениям, и в результате должно возникнуть не давление, а напряжение. Поэтому если оси вращения выстроены вдоль силовых линий, то последние должны будут вести себя как «фарадеевские силовые линии», испытывая сокращение вдоль самих себя и отталкивание по всем другим направлениям.

Правда, если ячейки занимают все пространство, как они сосуществуют с обычной материей? Что заставляет ячейки вращаться? – Максвелл не слишком утруждает себя ответами на такого рода «детские» вопросы – модель есть модель.

Далее, направления вращения ячеек указывают направление магнитного поля в каждой точке; плотность ячеек и скорость вращения определяют напряженность магнитного поля.

Особая проблема вихревой модели, волновавшая еще выдвинувшего эту идею в XVIII в. Даниила Бернулли (подробнее см.: Whittaker, 1910) – каким образом вращение передается от одной ячейки к другой так, чтобы каждая последующая ячейка вращалась в ту же сторону, что и предыдущая. Для этого, понял Максвелл, необходимо сделать еще одно допущение – предположить, что каждая ячейка окружена тонким слоем мелких частиц, получивших в механике название «колеса холостого хода» (idle wheels). Нельзя ли каким-то образом связать движение этих холостых частиц с проблемами электричества?

И во второй части статьи [II], которая была озаглавлена «Применение теории магнитных вихрей к электрическим токам» Максвелл подходит к тяжелейшей проблеме своей исследовательской программы – как «физически связаны эти вихри с электрическими токами, – в то время как мы все еще находимся в сомнениях относительно природы электричества – является ли оно одной субстанцией, двумя субстанциями, или вообще не субстанцией; как оно отличается от материи, и как связано с ней». Другими словами: что же такое электрический ток?

Принципиально важно, что в этом пункте Максвелл осознает ограниченность чисто механической модели для описания взаимосвязи явлений электричества и магнетизма и вынужден напрямую заимствовать элементы теории действия на расстоянии. Выражаясь языком нашей методологической модели (Нугаев, 1989), Максвелл вынужден приступить к конструированию гибридных теоретических моделей, сконструированных из базисных объектов и сочетающих черты принципиально разных, чужеродных теоретических схем.

Это обстоятельство усугубляется тем, что «я обнаружил величайшие затруднения (great difficulties) в попытках представить существование соседних вихрей в веществе, вращающихся вокруг параллельных осей». И «единственная концепция, которая смогла мне помочь в представлении движения этого рода, – это та, в которой эти вихри разделены слоем частиц» (Maxwell, [1861], p. 283).

Таким образом, согласно принятой гипотетической модели, электрический ток должен быть представлен переносом электрически заряженных частиц от одного вихря к другому. В итоге, в этой теории Максвелла данные частицы «играют роль» (play the part) электричества. Их движение трансляции представляет собой электрический ток, их вращение служит передаче движения от одной части поля к другой, а тангенциальные давления, таким образом введенные в действие, являют собой электродвижущую силу.

«Концепция частицы, движение которой связано с вихрем совершенным движущимся контактом может показаться несколько неуклюжей (awkward). Я не выставляю ее как вид связи, существующей в природе, или даже как то, что я с охотой одобрил бы в качестве электрической гипотезы. Но это, тем не менее, – вид связи, который механически понятен (mechanically conceivable) [с точки зрения теории Ампера-Вебера?], и легко исследуем, и он помогает выявить (bring out) действительные механические связи между известными электромагнитными явлениями; поэтому я отважусь заявить, что любому, кто понимает временный характер этой гипотезы, она скорее поможет, чем помешает в его поиске истинной интерпретации этих явлений» (Maxwell, [1861], p. 345).

Принципиально важно, что, введя такие абстрактные теоретические объекты как « частицы электричества» и «электрический ток», представляющий собой перемещение этих частиц, Максвелл значительно отошел от представлений Фарадея. Ведь, согласно Фарадею, электрические заряды должны рассматриваться как «эпифеномены» – как порождения точек окончания силовых линий – не имеющие независимого субстанциального существования. Соответственно, в исследовательской программе Фарадея электрический ток должен рассматриваться не как движение реально существующих заряженных частиц, а как «ось энергии».

В этом и коренится вся знаменитая британская «полевая программа», для которой поля первичны, а частицы – вторичны. Собственные открытия Фарадея внесли в нее весьма значительный вклад. Если Эрстед «вывел» магнетизм из электрического тока, то Фарадей – наоборот: вывел электрические токи из магнетизма.

Важность введения гибридной модели Максвеллом трудно переоценить. Оно было равносильно одному из первых признаний в том, что механические объяснения принципиально неполны и должны быть дополнены другими. И электрический заряд, и масса не могут быть полностью объяснены механически. Но мы не должны забывать о том, что для Максвелла, из-за его кантианской эпистемологии, отказ от механицизма не составил особой проблемы, также как впоследствии и для Эйнштейна – в силу (частичного) следования эпистемологии Маха.

Поэтому подобный эклектизм Максвелла – не временное отступление фанатичного последователя Фарадея. И после 1861 г. Максвелл продолжил введение элементов атомистики Ампера и Вебера в свои теории. Например, как последователь атомистики, в случае электролиза Максвелл полагал «вполне естественным предположить, что токи ионов являются конвекционными токами электричества, и, в частности, что каждая молекула катиона заряжена соответствующим фиксированным количеством положительного электричества».

Он столь же одобрительно относился к веберовской теории индуцированного магнетизма, требовавшей существование постоянно намагниченных молекул (Darrigol, 2001). Как будет подробнее показано в дальнейшем, Максвелл принимал амперовские и веберовские молекулярные токи весьма серьезно. Более того, «Трактат об электричестве и магнетизме» содержит целую главу, посвященную улучшению веберовской теории ферромагнетизма, и другую главу, посвященную «электрическим теориям магнетизма, включая веберовскую теорию индуцированных молекулярных токов» (см. также Hertz 1893, p. 22).

Вторая часть статьи [II] завершается во вполне кантианском духе утверждением, согласно которому «мы сейчас показали, каким образом электромагнитные явления могут быть имитированы воображаемой системой молекулярных вихрей. Те, кто уже был расположен принять гипотезу такого рода, найдут здесь как условия [!], которые должны быть выполнены для того, чтобы придать ей математическую согласованность, так и сравнение, вполне удовлетворительное, между ее необходимыми результатами и известными фактами» (Maxwell, [1861], p. 347).

Но полученные результаты были, конечно, недостаточными для того, чтобы серьезно конкурировать с теорией действия на расстоянии, в частности, не хватало теоретического воспроизведения основного закона электростатики – закона Кулона. Именно это и было сделано в знаменитой третьей части работы [II], которая и получила заголовок «Применение теории молекулярных вихрей к статическому электричеству». Нельзя обойти молчанием тот факт, что третья часть была написана Максвеллом летом 1861 г. «в деревне» – в поместье, – где у него не было под рукой научных журналов – в частности, с данными измерений Вебера и Кольрауша, – что впрочем сыграло позитивную роль. Опубликована она была только в январе 1862 г., после восьмимесячного перерыва.

Но вернемся к началу третьей части статьи [II], в которой сам автор связывает ее с предыдущими частями, объясняя мотивы ее появления тем, что в первой части этой статьи (Phil.Mag., March 1861) он показал, каким образом силы, действующие между магнитами, электрическими токами и материей, способной к магнитной индукции, могут быть рассмотрены исходя из гипотезы, что магнитное поле оккупировано бесчисленным количеством вихрей вращающейся материи, оси которых совпадают с направлениями магнитной силы в каждой точке.

Центробежная сила этих вихрей производит давления, распределенные так, что конечный результат – это сила, идентичная по направлению и величине с той, которую мы наблюдаем.

Во второй части (Phil. Mag., April and May 1861) Максвелл описал механизм, посредством которого эти вращения могут быть сделаны сосуществующими друг с другом и распределенными в соответствии с известными законами магнитных силовых линий» (Maxwell, [1861], p. 12).

Важно, что модель вихря содержала слишком много искусственных предположений (допущений) ad hoc, введенных специально для того, чтобы утвердить существование вихрей. И тут мы подошли к «чуду Максвелла», которое вне всякого сомнения оказало на Максвелла сильное воздействие. Оно укрепило его веру в том, что он находится на правильном (истинном) пути, а не просто строит очередную аналоговую модель, которая позволяет иначе описать и без того известные явления. Оказалось, что если мы, в процессе встречи френелевской оптики и теории электромагнетизма перенесем одни свойства эфира из оптики в теорию электромагнетизма, то мы избавимся по меньшей мере от одного предположения ad hoc. В самом деле, «я не пытался объяснить это тангенциальное действие [этих частиц], но необходимо предположить, для объяснения передачи вращения от внешних к внутренним частям каждой ячейки, что вещество в ячейке обладает упругостью формы (elasticity of figure), сходной по природе, хотя и отличающейся по степени от той, которая наблюдается у твердых тел. Волновая теория света заставляет нас признать именно этот вид упругости в светоносном веществе – для того, чтобы объяснить поперечные колебания. Поэтому мы не должны удивляться, если магнитоэлектрическое вещество обладает теми же самыми свойствами» (Maxwell, [1861], p. 13).

Согласно максвелловской теории, частицы, заполняющие промежутки между ячейками представляют собой материю электричества. Движение этих частиц образует электрический ток; тангенциальная сила, с которой эти частицы сдавливаются материей ячеек, является электродвижущей силой, а давление частиц друг на друга соответствует натяжению или потенциалу электричества. Это обстоятельство имеет принципиальное значение для разрабатываемого Максвеллом нейтрального языка наблюдений.

«Если мы сможем теперь объяснить состояние тела по отношению к окружающему веществу, когда говорится, что оно «заряжено» электричеством, и объяснить силы, действующие между наэлектризованными телами, то мы сможем тем самым установить связь между всеми феноменами электрической науки» (Maxwell, [1861], p. 13).

Далее, отмечает Максвелл, если существует разница в натяжениях между различными частями любого тела, то электричество протекает, или стремится протечь, от мест с большим натяжением к местам с меньшим натяжением. Если рассматриваемое тело – проводник, будет иметь место действительное прохождение электричества.

Но если перед нами изолятор, то, несмотря на то, что электричество течь по нему не может, электрические эффекты и их распространение все же могут иметь место. В данном отношении проводник может быть уподоблен пористой мембране, которая оказывает сопротивление прохождению жидкости через нее; в то время как диэлектрик аналогичен эластичной мембране, которая для жидкости непроницаема, но позволяет передавать давление из одной части в другую.

Действующая на диэлектрик электродвижущая сила поляризует его части подобно поляризации железных опилок под воздействием магнита, приводя к тому, что каждая железная частица становится обладательницей двух полюсов, направленных в противоположные стороны. Поэтому в диэлектрике под воздействием индукции электричество в каждой молекуле смещается таким образом, что одна сторона оказывается заряженной положительно, а другая – отрицательно. Тем не менее, электричество всецело остается в пределах молекулы, и не перетекает от одной молекулы к другой.

«В результате этого воздействия на весь диэлектрик возникает общее смещение электричества в определенном направлении. Это смещение не доходит до тока, поскольку, как только оно достигнет определенного значения, оно остается постоянным, но это – начало тока…» (Maxwell, [1861], p. 14).

В итоге если h – смещение, R – электродвижущая сила, а E – коэффициент, зависящий от природы диэлектрика, то R = – 4?E h. Величина электрического тока из-за смещения r будет определяться из выражения:

Эти соотношения не зависят ни от какой теории внутреннего механизма диэлектриков; но когда мы найдем электродвижущую силу, образующую электрическое смещение в диэлектрике, и когда мы найдем диэлектрик, освобождающийся от его состояния электрического смещения с равной электродвижущей силой, тогда мы придем к сравнению этого явления с упругим телом, которое поддается давлению и возвращает первоначальную форму тогда, когда давление устранено (Maxwell, [1861], p. 14).

Для дальнейшего изложения существенно следующее замечание Максвелла, сделанное им в процессе развертывания теории молекулярных вихрей.

«В последующем я рассмотрел отношение между смещением и той силой, которая его производит, в предположении, что ячейки являются сферическими. Действительная форма ячеек возможно [!] не настолько значительно отличается от сферической для того, чтобы привести к большим отличиям в численном результате» (Maxwell, [1861], p. 14).

Этот результат был необходим Максвеллу «для получения соотношения между статической и динамической мерами электричества, и показал, при помощи сравнения электромагнитных экспериментов М. М. Кольрауша и Вебера со скоростью света, найденной М. Физо, что эластичность магнитной среды в воздухе – та же самая, что эластичность светоносной среды, если только эти две сосуществующие, одинаково протяженные и одинаково эластичные среды не одна и та же среда» (Maxwell, [1861], p. 14).

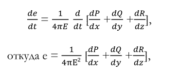
Введение тока смещения потребовало изменения системы уравнений, полученных Максвеллом ранее, что и выразилось в доказательстве следующей теоремы (proposition XIV): скорректировать уравнения для электрических токов [уравнения (9) в обозначениях Максвелла] с учетом эластичности среды. Продифференцировав приведенное выше выражение для электродвижущей силы смещения по t, получим выражение показывающее, что когда электродвижущая сила изменяется, электрическое смещение также изменяется. Но изменение смещения эквивалентно току, и этот ток должен быть добавлен в правую часть полученного ранее закона Ампера. В итоге три (x,y,z) компоненты вектора тока будут выглядеть следующим образом:

где p, q, r – это компоненты вектора электрического тока в направлениях x,y,z; ?, ?, ? – компоненты вектора магнитного поля, а P, Q, R – компоненты электродвижущей силы. Тогда, если e – количество свободного электричества в единице объема, то уравнение непрерывности будет выглядеть следующим образом:

Продифференцировав полученное выше выражение для p,q,r по x,y,z и подставив результаты в уравнение непрерывности, получим:

Последняя формула нужна Максвеллу для того, чтобы доказать следующую теорему (proposition XV): найти силу, действующую между двумя наэлектризованными телами. Используя выражения для энергии, возникающей в среде в результате смещения, а также соответствующие выражения для электрического напряжения, Максвелл получает т. е. искомая сила есть отталкивание, изменяющееся обратно пропорционально квадрату расстояния между двумя наэлектризованными телами.

Таким образом, распространение теории молекулярных вихрей на явления электростатики оказалось возможным именно из-за учета упругости вихрей, которые делают магнито-электрическую субстанцию способной поддерживать волны упругости.

Определенная ранее в теореме XIII величина E оказывается коэффициентом, на который должно быть умножено выраженное в магнитных единицах количество электричества для того, чтобы получить число, выражающее то же самое количество электричества, но в электростатических единицах. Вебер и Кольрауш нашли, что E = 310 740 000 000.

Все это необходимо Максвеллу для того, чтобы доказать теорему XVI: найти скорость распространения поперечных колебаний через упругую среду, из которой состоят ячейки, в предположении, что ее упругость целиком обусловлена силами, действующими между парами материальных точек.

Если среда – упругая, то в ней должны распространяться волны упругости. Рассмотрим плоскую волну, распространяющуюся в поле со скоростью V в направлении, заданном единичным вектором w (l,m,n). В этом случае все электромагнитные величины будут функциями w = lx+my+nz – Vt.

Можно показать, что скалярное произведение двух векторов (?Hw) = 0, т.е. что вектор ?H перпендикулярен вектору w, что означает, что «направление намагничивания» лежит в плоскости волнового фронта. Решая уравнения Максвелла для случая J = 0, v = 0, мы получаем волновое уравнение k?Hx – 4?? ????2?Hx/????????2 = 0 на компоненту Нx и аналогичные уравнения на компоненты Hy и Hz.Учитывая, что Hx = H (w), мы имеем k ? ????2Hx/ d????2 = 4?????2????2 2 ????2 Hx / d????2, откуда

Эта волна целиком состоит из магнитных возмущений, и при этом направление магнетизации находится в плоскости волны. Ни одно магнитное возмущение, направление которого не находится в плоскости волны, вообще не может распространяться в качестве плоской волны. Поэтому магнитные возмущения, распространяющиеся через электромагнитное поле, похожи на свет в том, что их распределения в любой точке поперечны по отношению к направлению распространения, и такого рода волны могут обладать всеми свойствами поляризованного света.

Применяя «обычные методы теории упругости», Максвелл находит, что скорость распространения этих колебаний в воздухе или в вакууме V=E = 193,088 миль в секунду. При этом, согласно опытам Физо, скорость света в воздухе равна 195,647 миль в секунду. Таким образом, «скорость поперечных колебаний в нашей гипотетической среде, подсчитанная из электромагнитных экспериментов М. М. Кольрауша и Вебера, настолько точно совпадает со скоростью света, подсчитанной из оптических экспериментов М. Физо, что мы едва ли сможем избежать вывода о том, что свет состоит из поперечных колебаний той же самой среды, которая является причиной электрических и магнитных явлений» (Maxwell, [1861], p. 19).

В итоге Максвелл не объяснил – откуда берутся, как генерируются электромагнитные волны. Он лишь показал, что его эластичная вихревая среда способна распространять электромагнитные волны со скоростью, которую можно подсчитать из электромагнитных констант и которая весьма и весьма близка к скорости света.

К сказанному выше можно также добавить, что в последней, четвертой части статьи [II], опубликованной в 1862 г. и посвященной объяснению эффекта поворота плоскости поляризации света в магнитном поле, Максвелл подчеркивает следующее обстоятельство.

«Теория, согласно которой электрические токи линейны, а магнитные силы представляют собой вращательные явления, согласуется с теорией Ампера и Вебера; а гипотеза, согласно которой магнитные вращения существуют там, где распространены магнитные силы, и что центробежная сила этих вращений объясняет магнитные притяжения, и что инерция вихрей объясняет индуцированные токи, поддерживается мнением проф. в. Томсона. Фактически я пришел к теории молекулярных вихрей развитой в этой статье, смотря в том же направлении, в котором все эти исследователи, изучающие действие среды, искали объяснение электромагнитных явлений» (Maxwell, [1861], p. 505).

Таким образом, первоначально максвелловская вихревая модель утверждала, что ось оптического вращения всегда должна быть направлена вдоль магнитного поля. Но в то же самое время Эмиль Верде, исследуя экспериментально тот же процесс для солей железа, обнаружил диаметрально противоположный результат: вращение в направлении диаметрально противоположном направлению магнитного поля. Поэтому Максвелл вынужден был предложить объяснение, соединяющее его модель с веберовскими молекулярными токами! Что неудивительно, если всерьез отнестись к тезису, сформулированному в начале нашего исследования: что Максвелл с самого начала не рассматривал свой подход и подход Ампера-Вебера как взаимоисключающие направления.

Но вернемся к результатам третьей части статьи [II]. Введение тока смещения было следствием попыток Максвелла связать уравнения, относящиеся к электрическому току, с уравнениями электростатики, что потребовало модификации закона Ампера за счет введения нового члена, описывающего упругость вещества, из которого состоят вихри. В итоге импульс, побудивший Максвелла ввести ток смещения, все-таки лежал в попытках объединить все основные эмпирические законы, относящиеся к области явлений электричества и магнетизма, а также оптики, откуда свойство упругости эфира и было перенесено.

Важно отметить, что данное объяснение не противоречит т.н. «стандартному подходу» (Пайерлс, 1968; Шапиро, 1972), согласно которому уравнение, содержащее ток смещения, было получено вследствие избавления от противоречивости уравнений Максвелла. В самом деле, в результате усилий, отраженных в статьях [I] и первой и второй частях статьи [II], Максвелл получил следующую систему уравнений:

отсутствие магнитных полюсов div B = 0 (****); уравнение непрерывности div j + ????p/???????? = 0 (*****), демонстрирующее, что электрически заряженные частицы, передающие вращение от одного вихря к другому, не возникают и не исчезают.

Согласно стандартному подходу, к лету 1861 г. Максвелл понял, что эта система уравнений неполна и плохо согласуется друг с другом. Прежде всего, в законе Ампера – в уравнении (**) – член rot H, по своей математической структуре, является недивергентным, поскольку для любого вектора справедливо соотношение div (rot A) = 0. Но тогда и div J = 0, что противоречит уравнению непрерывности. Понятно, что если мы добавим к правой части закона Ампера (**) выражение для тока смещения ????D/????????, самосогласованность уравнений Максвелла будет обеспечена.

Но это – лишь математическое выражение согласованности теоретических схем, которое имеет смысл только относительно некоторой идеализированной модели, сводящей воедино различные предметные области. Иначе возникает вопрос: относительно каких объектов система уравнений Максвелла должна быть согласована? Высказывания о согласованности или рассогласованности какой-либо системы уравнений имеют смысл только тогда, если они относятся к одним и тем же теоретическим объектам. В противном случае мы всегда можем избавиться от рассогласованности, утверждая, что одни уравнения относятся к одним случаям, а другие – к другим. Для того, чтобы сравнивать выводы законов Фарадея, Кулона, Ампера и др. между собой, их надо сначала сформулировать на одном и том же теоретическом языке, гарантирующем, что данные законы описывают однородные в онтологическом отношении ситуации. В этом смысле механические модели действительно помогли Максвеллу создать единое описание электричества, магнетизма и оптики.

Как отмечает Д. Сигел, «если бы Максвелл думал только о непротиворечивости своей системы уравнений, он так бы об этом и написал». Но та цель, которую он имел в виду – это объединение электростатики, магнитостатики, магнитодинамики и электродинамики в единое целое на основе теории молекулярных вихрей; поэтому и все математические преобразования он и выделил в особые разделы – в особые теоремы (propositions), – которые отличаются от самой модели. Его интересовали не столько непротиворечивые уравнения, сколько непротиворечивая модель реально протекающих процессов.

Но на самом деле правильнее было бы сказать, что Максвелл положил начало не столько объединению электродинамики и теории магнетизма, сколько объединению британской и континентальной традиций – полевой и корпускулярной традиций рассмотрения электромагнитного взаимодействия. Несмотря на то, что сам Максвелл был бы, возможно, не в восторге от того, что впоследствии сделали с его электродинамикой О. Хевисайд и Г. Лоренц, согласно Лоренцу заряды и поля – две одинаково независимые сущности электромагнитных процессов. Очень возможно, что под влиянием Фарадея Максвелл в большей мере склонялся к первичности поля по отношению к веществу – в полную противоположность немецким теоретикам Веберу и Нейману, хотя и непросто найти в его работах прямые указания на предпочтение именно этой точки зрения.

И она, к тому же, плохо согласуется с его кантианскими наклонностями.

Но это все – наши гипотезы. А суровая реальность – это статья [II], изобилующая диаграммами и многочисленными упоминаниями о заряженных частицах, которые и переносят вращательные колебания от одного вихря к другому, и образуют электрический ток, и переносят электромагнитные волны и т.д. и т.п. Как позже язвительно отмечал Пьер Дюгем (правда, в своей книге о работах ученика Максвелла – британского физика Оливера Лоджа) «мы надеялись попасть в мирную и строго упорядоченную обитель дедуктивного разума, а попали на какой-то завод» (цит. по: Тулмин, 1984, С. 247).

Более того, как показал Сигел, в теории 1861 г. Максвелл рассматривал свет в традиционном для XIX в. духе – как торсионные волны в эфире. Но у него они отличны от смещений и натяжений, соответствующим электрическим и магнитным полям. Магнитные и электрические поля соответствуют колебаниям небольших, локальных участков эфира, в то время как поперечные торсионные волны соответствуют колебаниям гораздо больших по размерам участков.

В итоге, основным достижением статьи [II] некоторым современникам Максвелла представлялось утверждение, согласно которому «свет состоит в поперечных колебаниях той же среды, которая является причиной электрических и магнитных явлений». Но и этот результат выглядел достаточно сомнительным. Как отмечает Сигел, Максвелл не приводит точных расчетов близости его вычислений скорости магнитоэлектрических колебаний тем измерениям, которые Физо проделал для скорости света.

«Проделав эти расчеты, мы находим, что два этих числа отличаются только на 1,3 %. Совпадение довольно большое – фактически, слишком большое, как отметили бы скептики» (Siegel, p. 136).

Основная аппроксимация, сделанная Максвеллом в его расчетах, состояла в аппроксимировании вихревых ячеек в некоторых случаях сферическими поверхностями; в некоторых других случаях Максвелл утверждал, что формы ячеек значительно отклоняются от сферичности. Например, рассчитывая движения маленьких частиц, Максвелл предполагал, что каждая из них должна всегда находиться в контакте с двумя поверхностями соседних ячеек. Это предполагает, что ячейки заполняют все пространство, за исключением тех его областей, которые заняты самими частицами; об этом же говорит использование соответствующих уравнений в II, описывающих процесс распространения волн. Понятно, что в этих случаях размеры ячеек должны значительно отличаться от сферической симметрии, и все вычисления, основанные на допущениях сферической симметричности, должны рассматриваться как приближения (аппроксимации).

Более того, при подсчете давлений в веществе, приводящих к магнитным силам, Максвелл рассматривал вихревые ячейки в качестве круговых цилиндров, что, конечно, было другим отклонением от сферической формы. Сам Максвелл полагал, что подобные аппроксимации были «вероятно разумны», приводя к результату, который «ненамного отличается от правильного». Но когда уже современный исследователь, американский историк науки Д. Сигел рассчитал разницу в аппроксимации сферы цилиндром, описанным вокруг нее, он получил, что результаты будут отличаться в 1,5 раза.

Кроме этой аппроксимации, в которой он отдавал себе отчет, Максвелл, как отмечал еще П. Дюгем, сделал по меньшей одну явную ошибку в расчетах. Проблема была связана с константами упругости вещества, так что из уравнения для скорости волны выпал фактор 2. Если мы примем во внимание описанные выше обстоятельства, мы должны будем заключить, что отношение m/?m должно отличаться от максвелловского в 3-4 раза, а корень квадратный из него – в 2 раза. Поэтому Максвеллу невероятно повезло, что он все-таки получил правильное выражение для скорости распространения поперечных колебаний в эфире. Судя по всему, он, как впоследствии и Эйнштейн (в 1905) при рассмотрении явления синхронизации часов, просто выбрал самое простое соотношение, связывающее скорость электромагнитных возмущений со скоростью света. Но все его выкладки не были строгим доказательством, поскольку они явно основывались на расчетах, справедливых только относительно сконструированных (гибридных) моделей. Строго говоря, его расчеты доказывали то, на чем они были основаны: что электромагнитный и светоносный эфиры – одно и то же вещество.

На чем же основывалась его вера? – Отчасти – на интуиции. Как говаривал о Максвелле еще его кембриджский наставник (тьютор) Хопкинс, «этот человек просто не может думать о физических предметах неверно».

Это тем более характерно для творчества Максвелла, если учесть, что он и сам осознавал важную роль, которую подсознательное играло в его творчестве. В самом деле, «я верю в то, что где-то в человеческом сознании есть отдел, управляемый независимо от рассудка, где вещи [идеи, духовные образования] подвергаются брожению и отвариваются до тех пор, пока они при появлении на свет не станут ясными» (Максвелл, цит. по: Mahon, 2003, p. 95). Или, как он признавался в другом месте и по другому поводу, «то, что делается тем, что я называю самим собой, делается, как я это чувствую, чем-то большим чем я сам во мне» (Mahon, 2003, p. 173).

Одним из основных недостатков гипотезы «тока смещения» было отсутствие ее независимых экспериментальных подтверждений. Определенный выход из ситуации состоял в попытках сделать такие выводы из новой теории молекулярных вихрей, которые можно было бы подтвердить экспериментально. И Максвелл вывел два таких следствия: первое относилось к индексу преломления диэлектрика, а второе – к описанному выше вращательному эффекту Фарадея. Первое предположение было подтверждено в 1870-х гг. (Максвелл даже обращался к Фарадею и Томсону за помощью), а второе потребовало для своего подтверждения модификации, выходящей далеко за пределы максвелловской электродинамики (в область лоренцевской теории электронов и эффекта Зеемана).

Среди возможных причин, побудивших Максвелла ввести ток смещения, в учебно-методической литературе до сих пор (вслед за Хевисайдом) обсуждается симметрия уравнений (М-1) по векторам E и H. Если j = 0, то эти уравнения переходят друг в друга при замене E?-H, H? E. Этот вопрос подробно рассматривался в статье Борка (1968), справедливо отметившего, что ни текст максвелловских работ [I] – [IV], ни другие его публикации не дают никаких оснований утверждать, что ток смещения введен для придания уравнениям указанной симметрии. Представляется невероятным, что Максвелл, введя ток смещения по соображениям симметрии, ни разу не обратил внимание читателя на эту симметрию.

В итоге, наиболее важный результат предложенной Максвеллом системы уравнений состоял в «упрочении возможности того, что электромагнитные волны могут распространяться со скоростью, которая может быть подсчитана при помощи результатов чисто электрических измерений» (Sengupta & Sarkar, 2003,p. 16). Важно подчеркнуть, что ни в одной из своих работ Максвелл ничего не написал ни о возможности генерации света, ни о том, что могут существовать другие, несветовые электромагнитные волны подобные радиоволнам или рентгеновскому излучению.

В итоге ни о каком окончательном объединении электричества, магнетизма и оптики в 1861 г. не приходилось и говорить. Можно было уверенно заявлять лишь о начале согласования – взаимопроникновения френелевской оптики, фарадеевской концепции поля и ампер-веберовской электродинамики друг в друга, ставшем возможным за счет конструирования системы теоретических объектов из базисных объектов всех трех упомянутых программ. Представляется, что именно это и имел в виду Генрих Герц, когда в докладе на 62 съезде германской ассоциации содействия развитию естественных наук и медицины в Гейдельберге в 1889 г. отмечал, что именно Максвелл был тем «человеком, который смог соединить эти столь удаленные друг от друга предположения таким образом, что они стали взаимно поддерживать друг друга» (Hertz, 1889, p. 318).

Еще Уиттекер (1910) отмечал, что самым заметным недостатком представленной Максвеллом версии электромагнитной теории света было отсутствие объяснения явлений отражения и преломления света.

И сам Максвелл не очень доверял своим уравнениям в случаях высокочастотных колебаний в материальных телах. В диэлектриках, например, эти уравнения не объясняли явления оптической дисперсии и давали соотношение между показателем преломления света и индуктивностью, которое выполнялось только в первом приближении. В проводниках уравнения Максвелла предсказывали гораздо большее поглощение света, чем наблюдалось на самом деле (золотые листья). В этих случаях Максвелл заключал, что «наши теории структуры тел должны быть улучшены прежде чем мы можем вывести их оптические свойства из их электрических свойств».

Ток смещения сыграл лишь роль спускового крючка, запустившего механизм объединения оптики и теории электромагнетизма, «существенного параметра объединения», по терминологии М. Моррисон, или «гибридного объекта» по нашей терминологии. Несмотря на то, что в последующих стадиях развертывания теории эфир был отброшен, ток смещения остался как звено, объединявшее оптику и теорию электромагнетизма. Правда, статус его после инкорпорирования в лагранжеву систему значительно изменился.

Проникновение электромагнетизма в оптику выразилось в нахождении связи констант, полученных Вебером и Кольраушем, со скоростью света. Обратное проникновение оптики в электромагнетизм выразилось как в предсказании радиоволн, так и в связанных с ними эффектах интерференции и диффракции. Как отмечал в статье «Эфир» Максвелл, «мы поэтому и заключаем, что свет – это не вещество, а процесс, имеющий место в веществе» (Maxwell [1877], 1890, p. 765).

Вот как сам Максвелл описывает суть своего открытия в письма Майклу Фарадею от 19 октября 1861 г.

«Концепция, на которую я наткнулся, привела меня, будучи разработанной математически, к некоторым очень интересным результатам, способным проверить на опыте мою теорию, и показывающим численные соотношения между оптическими, электрическими и электромагнитными явлениями, которые я вскоре надеюсь более основательно подтвердить…

Моя теория эластичных сил состоит в том, что они вызываются в изоляторах небольшими электрическими смещениями; последние деформируют определенные малые порции вещества так, что сопротивление этому процессу со стороны эластичности вещества и создает электродвижущую силу…

Я предполагаю, что эластичность этой сферы воздействует на окружающую ее электрическую материю, и толкает ее вниз. Из результатов исследований Кольрауша и Вебера, относящихся к численному отношению между статическими и магнитными эффектами, я определил эластичность вещества в воздухе, и, предположив, что в светоносном эфире она та же самая, я определил скорость распространения поперечных колебаний.

Результат – 193,088 миль в секунду (как это следует из электрических и магнитных экспериментов). Определенная Физо из прямого эксперимента скорость света = 193,118 миль в секунду.

Это – не просто численное совпадение. Я разработал эти формулы в деревне прежде, чем увидел веберовские числовые результаты, которые даны в миллиметрах, и я полагаю, что мы имеем весомую причину, вне зависимости от того, является ли моя теория фактом или нет, верить в то, что светоносный и электромагнитный эфиры – это одно и то же» (цит. по: Campbell & Garnett, 1882, pp. 748-749).

Дальнейший прогресс должен был состоять – и не мог не состоять – в доказательстве большей всеобщности полученных результатов и в попытке уйти от сконструированных искусственных моделей. Именно это Максвелл и попытался сделать в течение трех лет, прошедших после публикации [II].

В письме своему старому кембриджскому товарищу (Henry R.Droop, декабрь 1861), написанному как раз перед публикацией знаменитой третьей части статьи о молекулярных вихрях, Максвелл отмечал, что «я сейчас пытаюсь найти точную математическую форму для всего того, что известно об электромагнетизме, без помощи гипотезы» (цит. по Siegel, 2000, p. 145).

И в 1864 Максвелл уже представляет усовершенствованный вариант статьи [II], который на этот раз уже не зависел от модели молекулярных вихрей. Хотя на словах он не отказывался от самой модели, он старался избегать, насколько это было возможно, каких-либо детализаций устройства и взаимосвязи молекулярных вихрей – начиная с [III] и заканчивая «Трактатом об электричестве и магнетизме». Правда, что касается теоретического воспроизведения «эффекта Фарадея», он в молекулярном механизме все-таки нуждался, хотя и вынужден был делать следующую оговорку: «теория, предложенная на предыдущих страницах, с очевидностью носит временный характер, основываясь на неподтвержденных гипотезах как о природе молекулярных вихрей, так и о способах, при помощи которых они связаны со смещением среды» (цит. по: Siegel, 2000, p. 157).

Или, как сообщал Питеру Тэту сам Максвелл в письме от 23 декабря 1867, «теория вихрей… сконструирована так, чтобы показать, что явления таковы, как может быть объяснено при помощи механизма. Природа этого механизма относится к истинному механизму так же, как планетарий относится к самой солнечной системе» (цит. по: Siegel, 2000, p. 200).

Тем самым Максвелл справедливо охарактеризовал весь аппарат молекулярных вихрей как демонстрационную – или «рабочую – модель» (на языке «Трактата об электричестве и электромагнетизме»).

Резюме третьей главы

Проведенных в статье 1856 г. исследований оказалось недостаточно для того, чтобы охватить всю область известных электромагнитных явлений, и в 1861 г. Максвелл начинает публикацию в четырех частях в журнале «Philosophical Magazine» второй статьи, посвященной проблемам электричества и магнетизма – «О физических силовых линиях». Название ее первого раздела говорит само за себя: «Применение теории молекулярных вихрей к явлениям магнетизма». Его цель – переполучить результаты теорий Вебера и Неймана, исходя на этот раз из новой, «вихревой» механической модели несжимаемой жидкости.

Но во второй части статьи 1861 г., которая была озаглавлена «Применение теории магнитных вихрей к электрическим токам», Максвелл подходит к тяжелейшей проблеме своей исследовательской программы – как «физически связаны эти вихри с электрическими токами». В этом пункте он осознает ограниченность чисто механической модели для описания взаимосвязи явлений электричества и магнетизма и вынужден напрямую заимствовать элементы теории действия на расстоянии. Максвелл вынужден приступить к конструированию гибридных теоретических моделей, сконструированных из базисных объектов и сочетающих черты принципиально разных, чужеродных теоретических схем.

Важность введения гибридной модели Максвеллом трудно переоценить. Оно было равносильно признанию в том, что механические объяснения принципиально неполны и должны быть дополнены другими. И электрический заряд, и масса не могут быть полностью объяснены механически.

Но полученные результаты были, конечно, недостаточными для того, чтобы серьезно конкурировать с теорией действия на расстоянии, в частности, не хватало теоретического воспроизведения основного закона электростатики – закона Кулона. Именно это и было сделано в знаменитой третьей части работы 1861 г., которая называлась «Применение теории молекулярных вихрей к статическому электричеству». Оказалось, что если мы, в процессе встречи френелевской оптики и теории электромагнетизма перенесем одни свойства эфира из оптики в теорию электромагнетизма, то мы избавимся по меньшей мере от одного предположения ad hoc. Распространение теории молекулярных вихрей на явления электростатики оказалось возможным именно из-за учета упругости вихрей, которые делают магнито – электрическую субстанцию способной поддерживать волны упругости. В итоге Максвелл не объяснил – откуда берутся, как генерируются электромагнитные волны. Он лишь показал, что его эластичная вихревая среда способна распространять электромагнитные волны со скоростью, которую можно подсчитать из электромагнитных констант и которая весьма близка к скорости света.

Введение тока смещения было следствием попыток Максвелла связать уравнения, относящиеся к электрическому току, с уравнениями электростатики, что потребовало модификации закона Ампера за счет введения нового члена, описывающего упругость вещества, из которого состоят вихри. В итоге импульс, побудивший Максвелла ввести ток смещения, все-таки лежал в попытках объединить все основные эмпирические законы, относящиеся к области явлений электричества и магнетизма, а также оптики, откуда свойство упругости эфира и было перенесено.

Максвелл положил начало не столько объединению электродинамики и теории магнетизма, сколько объединению британской и континентальной традиций – полевой и корпускулярной традиций рассмотрения электромагнитного взаимодействия.

Наиболее важное следствие предложенной Максвеллом системы уравнений состояло в «упрочении возможности того, что электромагнитные волны могут распространяться со скоростью, которая может быть подсчитана при помощи результатов чисто электрических измерений». Ни в одной из своих работ Максвелл ничего не написал ни о возможности генерации света, ни о том, что могут существовать другие, несветовые электромагнитные волны подобные радиоволнам или рентгеновскому излучению.

Ни о каком окончательном объединении электричества, магнетизма и оптики в 1861 г. не приходилось и говорить. Можно было уверенно заявлять лишь о начале согласования – взаимопроникновения – френелевской оптики, фарадеевской концепции поля и ампер-веберовской электродинамики друг в друга, ставшем возможным за счет конструирования системы теоретических объектов из базисных объектов всех трех упомянутых программ.

Более 800 000 книг и аудиокниг! 📚

Получи 2 месяца Литрес Подписки в подарок и наслаждайся неограниченным чтением

ПОЛУЧИТЬ ПОДАРОК