ГЛАВА ВТОРАЯ ПЕРВЫЙ ЭТАП РЕАЛИЗАЦИИ СИНТЕТИЧЕСКОЙ ПРОГРАММЫ МАКСВЕЛЛА: СТАТЬЯ «О ФАРАДЕЕВСКИХ СИЛОВЫХ ЛИНИЯХ» (1856)

Для того, чтобы понять, каким образом Максвелл последовательно реализовывал описанные выше принципы, выведенные из попыток выделить рациональные элементы как из кантовской философии, так и эпистемологии его английского последователя Уэвелла, равно как и из шотландского «реализма здравого смысла» с упором все-таки на Канта, обратимся к его основным работам по электромагнетизму. Традиционно принято выделять четыре основных работы Максвелла:

? статью «О фарадеевских силовых линиях» (1856; далее иногда обозначаемую как [I]);

? статью «О физических силовых линиях» (1861– 1862; [II]),

(1) первая часть которой была опубликована в журнале «Philosophical Magazine» в апреле 1861;

(2) вторая часть которой была опубликована в том же журнале в мае 1861;

(3) третья часть – в январе 1862 г.;

(4) четвертая – в феврале 1862 г.;

? статью «Динамическая теория электромагнитного поля» (1864; [III]);

? монографию «Трактат об электричестве и магнетизме» (1873; [IV]).

Основные вопросы, которые встают перед нами при попытках понять все творчество Максвелла в области теории электромагнетизма в совокупности, как единое целое, сводятся к следующим.

(a) Можем ли мы говорить о единой, целостной программе Максвелла, т.е. действительно ли существуют какие-либо общие положения, которые (пусть неявно) переходят из одной работы Максвелла в другую, придавая всем им определенное единство?

(b) Имеем ли мы право говорить о синтетической программе Максвелла, если термина «синтез» сам Максвелл старательно избегает, говоря просто о «теории электромагнитного поля»? (Скажем, Маргарет Моррисон утверждает, что Максвелл и не пытался что-либо объединить, а «просто строил теорию электромагнитных явлений»).

(c) Зачем понадобилась программа Максвелла, если была другая программа – Ампера-Вебера, которая превосходно объединила и электричество, и магнетизм в единой, понятной и непротиворечивой теоретической схеме, и уже начала успешно присоединять к ней и оптику, о чем сам Максвелл был прекрасно осведомлен?

– Ключ к ответу – не только в самих научных работах, подобных [I] -[IV], но и в философских и научно-популярных произведениях и докладах, а также в письмах Максвелла. Но проблема реконструкции его аутентичных мыслей и замыслов осложняется следующими обстоятельствами.

(1) Хорошо известной амбивалентностью, туманностью высказываний Максвелла, восходящей, судя по всему, еще к детским годам. Как пишет один из его биографов, «его постоянная сосредоточенность на собственных мыслях привела к привычкам одиночества и уединенности, которые сформировали особенности его речи и манер. Он был застенчивым и странным малым, а его высказывания были часто туманны как по форме, так и по существу» (Niven, 1890, p. XI).

Другой современник, близко знавший его уже по студенческим годам, отмечал, что «к сожалению, его любовь к аллегориям, соединенная с определенной туманностью в выражениях, приводила к тому, что часто понять смысл его высказываний было затруднительно…» (Campbell & Garnett, 1888, p. 478).

И, наконец, третий современник Максвелла, знавший его в зрелые годы, указывал на то, что «старые особенности его манеры говорения остались без изменения, и по-прежнему было непросто проникнуть в содержание его мыслей» (Campbell & Garnett, 1888, p. 478). Судя по всему, именно эти особенности (а также шотландский акцент) привели к определенным сложностям в отношениях со студентами, чем и объясняется то, что профессор Максвелл никогда на одном месте долго не задерживался. Ни в абердинском университете (1856—1860), ни в Кингз-колледже (Лондон, 1860—1864).

(2) Самой манерой подачи результатов, принятой в «викторианской» физике XIX в. и сохранившейся вплоть до второй половины XX в., например, в советских научных журналах, когда полученные данные старались представить в максимально «пристойном», «причесанном», логически-упорядоченном виде, скрывающем все сомнения, отступления и промежуточные этапы. Как отмечал много позже сам Максвелл в «Трактате об электричестве и магнетизме», «метод Ампера, однако, хотя и изложен в индуктивной форме, не позволяет нам проследить процесс образования и развития идей, которыми он руководствовался. Мы с трудом можем поверить, что Ампер в действительности открыл закон взаимодействия при посредстве описываемых им экспериментов. Мы вынуждены подозревать, в чем, впрочем, признается сам Ампер, что закон открыт им при помощи некоего процесса, который он нам не показывает, и что когда была построена законченная теория, он удалил все следы лесов, при помощи которых здание было возведено (Максвелл, [1873], 1952, С. 382).

Все это, с нашей точки зрения, в неменьшей мере применимо к самому автору «Трактата».

Но обратимся к самой первой работе по электромагнетизму – к статье [I] «О фарадеевских силовых линиях», впервые опубликованной в «The Transactions of the Cambridge Philosophical Society», vol. X, part 1, 1856 на основе двух докладов, прочитанных Максвеллом перед кембриджским философским обществом 10 декабря 1855 г. и 11 февраля 1856 г. В силу того, что в этой работе заложены основы всей исследовательской синтетической программы Максвелла, она заслуживает особого внимания (и более обильного цитирования).

Хотя термин «синтез», как отметила еще М. Моррисон, Максвелл практически в своих работах не употребляет, в начале этой статьи фактически речь идет именно об этом. Несмотря на то, что современное Максвеллу состояние электрической науки представляется ему «особенно неблагоприятным для спекуляций», «ни одна электрическая теория сейчас не может быть выдвинута до тех пор, пока она не раскроет связь (здесь и далее, за исключением особо отмеченных случаев, курсив мой – РМН) не только между покоящимся электричеством и электричеством токов, но и между притяжениями и индуктивными эффектами в обеих состояниях…» (Maxwell [1856]; 1890, p. 155).

Почему же это еще не было сделано и в чем же состоят недостатки существующих теорий? – В том, что в процессе обучения студент должен ознакомиться со значительным объемом запутанных математических знаний. Поэтому для дальнейшего эффективного изучения науки первым делом надо упростить и свести результаты предыдущих исследований к такой форме, которую студент способен усвоить. Результаты этого упрощения могут принять форму или чисто математической формулы, или физической гипотезы.

«Но в первом случае мы полностью теряем из виду то явление, которое мы собираемся объяснить; и, несмотря на то, что мы можем проследить следствия из данных законов, мы никогда не сможем получить более широкие представления о взаимосвязях рассматриваемого предмета.

Если же, с другой стороны, мы примем физическую гипотезу, мы получим только опосредованный образ явлений, и будем нести ответственность за ту слепоту к фактам и за ту скороспелость в принятии предпосылок, которые этим односторонним объяснением одобряются. Поэтому мы должны открыть такой метод изучения, который позволит уму на каждом этапе владеть ясной физической концепцией, не отдавая предпочтения любой теории, основанной на той физической науке, из которой эта концепция заимствована, так что она ни уводится в сторону от предмета аналитическими тонкостями, ни выходит за пределы истины из-за принятия излюбленной гипотезы.

Для того, чтобы получить физические идеи без принятия физической теории мы должны ознакомиться с существованием физических аналогий. Под физической аналогией я подразумеваю такое частичное сходство между законами одной науки и законами другой науки, которое позволяет каждой из них проиллюстрировать другую» (Maxwell [1856]; 1890, p. 155).

Метод физических аналогий поясняется на двух расхожих примерах – соотношении корпускулярной и волновой теории света и соотношением волновой теории света и теории упругого эфира. Подчеркивая, что в первом случае выводы обеих теорий совпадают, – но только тогда, когда мы рассматриваем направление, но не скорость света, Максвелл отмечает, что аналогия между движением частицы и прохождением светового луча «долгое время рассматривалась как истинное объяснение световой рефракции»; более того, она и по сей день полезна для решения определенных научных проблем.

То же справедливо и по отношению ко второй аналогии – между светом и колебаниями эластичной среды. И в этом случае данная аналогия весьма плодотворна и ведет к такому объяснению, которое раскрывает «физический смысл» явления. Если же мы проигнорируем эту аналогию, «мы получим систему истин, прямо основанных на наблюдениях, но возможно ущербную как в живости своих понятий, так и в плодотворности своего метода».

Но особенно важной представляется Максвеллу (впервые описанная в. Томсоном) аналогия между потоком тепла в однородном веществе и статическим электричеством. На первый взгляд, нет и ничего не может быть общего между физическим процессом, который описывается такими понятиями, как «температура», «поток тепла», «проводимость», и процессом, который описывается таким понятием как «сила притяжения между удаленными частями».

Тем не менее, мы обнаруживаем, что математические законы равномерного движения тепла в однородном веществе идентичны по форме законам притяжения, спадающим обратно пропорционально закону квадратов. Нам остается только подставить «источник тепла» вместо «центра притяжения», «поток тепла» вместо «ускоряющего эффекта притяжения в любой точке», и «температуру» вместо «потенциала», и решение проблемы притяжений преобразуется в решение проблемы теплоты.

«Правда, если мы введем другие соображения и зафиксируем дополнительные факты, эти два предмета рассмотрения приобретут весьма значительно различающиеся аспекты, но математическое сходство некоторых их законов останется, и все еще сможет быть использовано для пробуждения соответствующих математических идей (Maxwell [1856], 1890, p. 157).

В который раз Максвелл использует уэвелловские понятия и идеи: аналогия помогает выявить, раскрыть те математические априорные идеи, которые изначально даны нашему разуму.

Все эти предварительные соображения необходимы Максвеллу, конечно, для того, чтобы перейти к центральной проблеме: «именно при помощи такого рода аналогий я попытался выставить на рассмотрение в удобном и доступном виде те математические идеи, которые необходимы для исследования феномена электричества» (Maxwell [1856], 1890, p. 157).

В чем же состоит принципиальная новизна максвелловского подхода к явлениям электричества и магнетизма, основанного на методе физических аналогий, и в лучшую сторону отличающая его от уже разработанных к тому времени подходов?

– Отнюдь не в том, что он предлагает еще один «онтологический» подход, отвергающий все предыдущие как основанные на ложных предпосылках и утверждающий, что «на самом деле» электричество и магнетизм – это поля, а не непосредственные взаимодействия зарядов, происходящие по прямым линиям. Как неоднократно подчеркивает сам Максвелл, «я не буду делать никаких предположений о физической природе электричества»; «я не собираюсь утверждать ни одну физическую теорию в науке, в которой я не произвел ни одного эксперимента» (там же).

Фарадеевские идеи применяются им не для того, чтобы раскрыть сущность электричества и магнетизма, а для того, чтобы «показать, каким образом скрупулезное применение идей и методов Фарадея представляет на математическое рассмотрение раскрытую им взаимосвязь существенно различных порядков явлений» (Maxwell [1856], p. 58).

Но «идеи Фарадея» в данном случае – не полевые концепции, как это могло бы показаться современному читателю, воспитанному на представлениях о том, что максвелловская электродинамика – это лишь математическое выражение физических концепций Фарадея. «Идеи Фарадея» – это всего лишь представления о силовых линиях, касательных к направлениям электрических и магнитных сил в данной точке.

Поэтому мы приступаем к такому определению сил в каждой точке, когда они могут быть репрезентированы равномерным движением несжимаемой жидкости.

«Я затем предлагаю…; и в конечном счете намереваюсь показать, каким образом при помощи распространения этих методов, и за счет введения другой идеи Фарадея, законы притяжения и индуктивных действий могут быть ясно поняты без введения предположений о физической природе электричества

Соотнося все с чисто геометрической идеей движения воображаемой жидкости, я надеюсь добиться общности и точности, а также избежать опасностей, возникающих благодаря поспешному принятию предварительной теории, намеревающейся объяснить причины этих явлений» (Maxwell [1856], p. 159).

Таким образом, первая инновация Максвелла состояла в том, что он предложил рассматривать фарадеевские силовые линии, которые описывали направления электрических и магнитных сил, в качестве трубок с некоей идеальной несжимаемой жидкостью, репрезентирующих теперь не только направления сил, но и их интенсивности, поскольку скорости течения жидкости обратно пропорциональны сечениям этих трубок.

Для сторонника философии Канта принципиально важно, что эта несжимаемая жидкость практически никакого отношения к реальности не имеет. Максвелл ни в коем случае не хочет утверждать, что какие-либо свойства электромагнитных явлений репрезентируются свойствами несжимаемой жидкости. Не случайно ни в [I], ни позже Максвелл никогда не заботился о том, чтобы построить единую непротиворечивую механическую модель (не путать с теорией) электромагнитных явлений, а часто использовал одновременно несколько моделей, которые даже могли противоречить друг другу.

«Это даже и не гипотетическая жидкость, вводимая для объяснения действительных явлений. Это – всего лишь собрание воображаемых свойств, которое может быть использовано для вывода определенных теорем чистой математики способом, для многих более интеллигибельным и более подходящим для физических проблем, чем тот способ, в котором используются только алгебраические символы» (Maxwell [1856], p. 160).

Как отмечает Максвелл, репрезентация электрических и магнитных полей при помощи трубок с несжимаемой жидкостью в выгодную сторону отличается от других случаев тем, что между трубками нет никакого промежутка. Единственное налагаемое на предлагаемые модели требование, как, впрочем, и на все математические конструкты, – чтобы они не противоречили друг другу. Во всем остальном – полная свобода воображения. Даже законы сохранения могут в наших моделях нарушаться!

«В концепциях источников, где жидкость может производиться, и стоков, где она аннигилируется, нет ничего само – противоречивого. Свойства жидкости полностью в нашем распоряжении, мы сделали ее несжимаемой, а сейчас предполагаем, что она возникает из ничего в одних точках, и превращается в ничто в других» (Maxwell [1856], p. 162).

К этому следует добавить, что введенное Томсоном и Максвеллом исследование электростатики и магнитостатики при помощи гидродинамических моделей оказалось весьма плодотворным; в теории поля до сих пор используются термины «источники», «дивергенция», «ротор» (вихрь) и т.д.

И в оставшихся разделах работы [I] Максвелл показывает, каким образом идея линий движения жидкости может быть применена для описания таких относительно простых разделов, как статическое электричество, постоянный магнетизм, магнетизм индукции и однородные гальванические токи. Там же вводится вторая максвелловская инновация, также основанная на идеях Фарадея – идея электротонического состояния. Максвелл связывал идею Фарадея об электротоническом состоянии с представлением о магнитном потоке и его инерционных свойствах. Он ввел «электротонический вектор» A как характеристику потенциальной возможности появления электродвижущей силы при изменении магнитного поля.

«Мы можем представить себе электротоническое состояние в какой-либо точке пространства как некоторый определенный по величине и направлению вектор и можем это электротоническое состояние выразить в данной точке пространства с помощью какого-либо механического вектора, например, скорости или силы, направление и величина которых соответствуют направлению и величине определенного нами электротонического состояния. Такое представление не связано ни с какой физической теорией, а является только своего рода искусственной иллюстрацией» (Максвелл, [1856], 1952, С. 83).

Таким образом, суть двух максвелловских инноваций, предлагаемых им в работе 1856 г. – конструирование, разработка «нейтрального языка» для описания и сравнения выводов из различных конкурирующих схем и теорий. Этот язык – отнюдь не «язык наблюдений» логического эмпиризма: Максвелл ясно отдает себе отчет в обстоятельстве, которое в философии науки XX в. получило название «теоретическая нагруженность языка наблюдения». Он хорошо понимает, что всякое наблюдение всегда несет «отпечатки» теоретического языка, при помощи которого оно описано. («Следы цемента», как позже назовет их Максвелл в статье «Гельмгольц»).

Поэтому для того, чтобы сравнить между собой и свести воедино, – в непротиворечивую теоретическую схему – результаты разных экспериментов, несущих следы разных теоретических языков, необходимо создать особый, искусственный теоретический язык, по возможности равноудаленный от всех сравниваемых теорий. И исследования в. Томсона (на которые в своих работах постоянно ссылается Максвелл) показали ему, каким этот язык должен быть. Его основа – терминология механики сплошных сред. Конечная цель Максвелла – спроецировать выводы всех конкурирующих теорий на эту область, «переписать» все известные законы на этом языке, сравнить их выводы между собой для того, чтобы избавиться от противоречий и обобщить, наконец, в самосогласованной системе уравнений.

Итог статьи [I] – демонстрация значимости для теории электромагнетизма операций div и rot, а также вывод следующих уравнений: div E =4?? (закон Кулона), rot A = B (уравнение электротонического состояния);

Таким образом, в работе [I] почти все уравнения Максвелла уже были написаны, но – без тока смещения. И действительно, весьма важным недостатком модели трубок несжимаемой жидкости было то, что они, за исключением простых отдельных случаев, были неспособны объяснить в общем виде связи и взаимодействия электрических полей, магнитных полей и электрических токов, а также продемонстрированную в Фарадеем в 1845 г. взаимосвязь магнитных и оптических явлений.

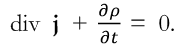
Ведь, как мы уже отмечали, целью всей своей программы Максвелл поставил устранение присущей электродинамике Ампера-Вебера «разобщенности покоящегося и движущегося зарядов». Была ли эта цель достигнута в 1856 г.? – Нет. Между плотностью тока j (движущимся электричеством) и плотностью заряда ? (электрическим покоящимся) в описанной выше максвелловской схеме никаких связей нет. Они появятся позже, после введения «тока смещения» и соответствующего следствия – уравнения непрерывности: Пока же, выписывая вытекающее из вышеприведенных уравнение div j = 0, Максвелл замечает, что его исследование пока ограничивается только замкнутыми токами. Прежде чем изменять что-либо в полученной системе уравнений (М-1), надо было освободиться от принятых модельных представлений о природе токов. Принятая Максвеллом кантианская методология сделать это вполне позволяла.

Резюме ко второй главе

В работе Максвелла «О фарадеевых силовых линиях» (1856) были заложены основы всей исследовательской синтетической программы Максвелла. Принципиальная новизна максвелловского подхода к явлениям электричества и магнетизма, основанного на методе физических аналогий и в лучшую сторону отличающая его от уже разработанных к тому времени подходов, состояла отнюдь не в том, что он предлагал еще одну теоретическую «онтологию», отвергающую все предыдущие как основанные на ложных предпосылках и утверждающую, что «на самом деле» электричество и магнетизм – это поля, а не непосредственные взаимодействия зарядов, происходящие по прямым линиям. Фарадеевские идеи применялись им не для того, чтобы раскрыть сущность электричества и магнетизма, а для того, чтобы показать, в соответствии с уэвелловской методологией, каким образом скрупулезное применение идей и методов Фарадея «представляет на математическое рассмотрение» раскрытую им взаимосвязь существенно различных порядков явлений.

Первая инновация работы 1856 г. состояла в том, что Максвелл предложил рассматривать фарадеевские силовые линии, которые описывали направления электрических и магнитных сил, в качестве трубок с идеальной несжимаемой жидкостью, репрезентирующих теперь не только направления сил, но и их интенсивности, поскольку скорости течения жидкости обратно пропорциональны сечениям этих трубок.

Для сторонника философии Канта было принципиально важно, что эта несжимаемая жидкость практически никакого отношения к реальности не имеет. Максвелл ни в коем случае не собирался утверждать, что какие-либо свойства электромагнитных явлений репрезентируются свойствами несжимаемой жидкости. Не случайно ни в 1856 г., ни позже Максвелл никогда не заботился о том, чтобы построить единую непротиворечивую механическую модель электромагнитных явлений, а часто использовал одновременно несколько моделей, которые даже могли противоречить друг другу.

В работе 1856 г. Максвелл показал, каким образом идея линий движения жидкости может быть применена для описания таких относительно простых разделов, как статическое электричество, постоянный магнетизм, магнетизм индукции и однородные гальванические токи. Там же была введена вторая максвелловская инновация, также основанная на идеях Фарадея – идея «электротонического состояния».

Суть двух максвелловских инноваций, предложенных в работе 1856 г. – конструирование «нейтрального языка» для описания и сравнения выводов из различных конкурирующих схем и теорий. Этот язык – отнюдь не «язык наблюдений» логического эмпиризма: Максвелл отдавал себе отчет в том обстоятельстве, которое в философии науки XX в. получило название «теоретическая нагруженность языка наблюдения». Он понимал, что всякое наблюдение несет «отпечатки» теоретического языка, при помощи которого оно описано.

Поэтому для того, чтобы сравнить между собой и свести воедино, – в непротиворечивую теоретическую схему – результаты разных экспериментов, несущих следы разных теоретических языков, необходимо было создать особый, искусственный теоретический язык, по возможности равноудаленный от всех сравниваемых теорий. И исследования У. Томсона указали Максвеллу на наиболее подходящего кандидата – механику сплошных сред. Конечная цель Максвелла – спроецировать выводы всех конкурирующих теорий на эту область, «переписать» все известные законы на этом языке, сравнить их выводы между собой для того, чтобы избавиться от противоречий и обобщить, наконец, все известные данные в самосогласованной системе уравнений.

Другими результатами статьи 1856 г. явились демонстрация значимости для теории электромагнетизма операций div и rot, а также вывод следующих уравнений: div E =4?? (закон Кулона); rot A = B (уравнение электротонического состояния); rot H = 4?J (закон Ампера); (закон электромагнитной индук ции) и div H = 0 (отсутствие магнитных зарядов).

Несмотря на достигнутые успехи, весьма важным недостатком модели трубок несжимаемой жидкости было то, что она, за исключением простых отдельных случаев, была неспособна объяснить в общем виде связи и взаимодействия электрических полей, магнитных полей и электрических токов, а также продемонстрированную в Фарадеем в 1845 г. взаимосвязь магнитных и оптических явлений.

Более 800 000 книг и аудиокниг! 📚

Получи 2 месяца Литрес Подписки в подарок и наслаждайся неограниченным чтением

ПОЛУЧИТЬ ПОДАРОК