Приложение

1. ЛОГАРИФМЫ И НЕПЕР

Джон Непер (1550-1617) может по праву считаться изобретателем логарифмов. Он нарисовал две прямые линии следующим образом: на первой отложил отрезок с концами А и В, а параллельно ему провел прямую из точки А'. Затем он предположил, что есть некое тело, которое скользит по бесконечной прямой с постоянной скоростью. В каждой точке X' на прямой он отмечал соответствующую точку на отрезке АВ, но не случайным образом: X двигался со скоростью, равной расстоянию ХВ. Взяв х = ВХ и у = А'Х', Непер создал свой логарифм:

у - logx.

Непер взял AB - 107, что привело его к довольно сложным алгебраическим равенствам. Если N — число, a L — логарифм, то Непер вычислил N = 107 (1-10-7)L. Мы получаем

Здесь уже появляется постоянная е, так как

(1 - 10-7)107 ? 1/e.

Во многих старинных трактатах говорится о логарифмах Непера, или натуральных. Здесь мы имеем дело с путаницей, потому что натуральные логарифмы — это логарифмы по основанию е, в то время как все (почти) логарифмы Непера имеют основание 1/е. Это почти одно и то же, они различаются лишь знаком, а не абсолютным значением:

logeN = -log1/eN.

Сегодня для каждого положительного вещественного числа N, когда N - aL, мы говорим, что L — логарифм N по основанию а, и записываем: L = loga N.

Если мы задумаемся, то увидим, что логарифм основания всегда равен 1, и это его основополагающее свойство.

Самые распространенные основания — это а = 10,а = 2 и а- = е. Логарифмы по основанию 10 называются десятичными, по основанию 2 — двоичными, по основанию е — натуральными. Для натуральных логарифмов используется знак InN вместо log N.

Важным аспектом логарифма является то, что с его помощью упрощаются арифметические вычисления. Например:

?1 · ?2 = aL1 · aL2 = aL1+L2

? loga(N1 · N2) = L1 + L2 = logaN1 + logaN2.

Таким образом, логарифм произведения равен сумме логарифмов его множителей.

Если мы сделаем таблицу с двумя величинами, числами и десятичными логарифмами, то сможем сложить логарифмы и при помощи таблиц легко узнать произведение. И хотя сегодня можно без труда произвести умножение электронными калькуляторами, во времена, когда они еще не существовали, операция, помогающая заменить сложные расчеты в случаях произведений больших величин на простое сложение, имела огромное практическое значение.

2. БАЗЕЛЬСКАЯ ЗАДАЧА

Проследим за хитроумными рассуждениями Эйлера, но не будем забывать, что в некоторых местах они должны быть доработаны. Позже это сделал сам ученый. Возьмем знаменитый ряд Тейлора:

sinx = x - x3/3! + x5/5! - x7/7! + ...

Мы знаем, что он равен нулю при х равном нулю, то есть если sinx = 0, когда х = 0, ± ?, ±2?, ±3?...

Следовательно, предположив, что ряд ведет себя как многочлен, поскольку он и является длиннейшим многочленом, применение фундаментальной теоремы алгебры преобразит его в произведение одночленов вида х - ?, где ? — решение. Продолжим:

x - x3/3! + x5/5! - x7/7! + ... = K(x)(x - ?)(x + ?)(x - 2?)(x + 2?)...

К — неизвестная константа. Производя вычисления в правой части равенства:

x - x3/3! + x5/5! - x7/7! + ... = K(x)(x2 - ?2)(x2 - 4?2)(x - 9?2)...

следует отметить, что каждый член вида х2 - ?2?2 справа равен нулю. А это происходит, только если

1 - х2/(?2?2) = 0.

Запишем члены правого выражения в следующей форме:

x - x3/3! + x5/5! - x7/7! + ... = K(x)(1 - x2/?2)(1 - x2/4?2)(1 - x2/9?2)...

Теперь разделим на x:

sinx/x = 1 - x2/3! + x4/5! - x6/7! + ... = K(1 - x2/?2)(1 - x2/4?2)(1 - x2/9?2)...

И, поскольку limx?0(sinx/x) = 1, получим, что K = 1. Итак:

1 - x2/3! + x4/5! - x6/7! + ... = (1 - x2/?2)(1 - x2/4?2)(1 - x2/9?2)...

Этот ряд равен бесконечному произведению. Для Эйлера это не проблема. Подсчитаем порядок произведения и выделим члены произведения с x2 в правой части:

- x2/3! = -x2/?2 - x2/4?2 - x2/9?2 - ...

Разделив обе части на -x2/?2, получим

?2/6 = 1+ 1/22 + 1/23 + 1/42 + ...,

что и требовалось доказать.

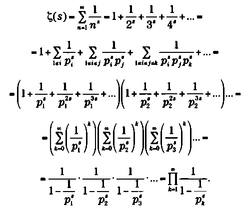
3. ДЗЕТА-ФУНКЦИЯ И ПРОСТЫЕ ЧИСЛА

Эйлер был первым математиком, доказавшим тождественность ?($) как ряда степеней и ?($) как бесконечного произведения. Назовем рк простое число, занимающее место k в ряде. Получим

Ниже можно увидеть, каким образом получается это равенство:

Для тех, кто знаком со сложным анализом, дзета-функция может быть расширена до мероморфной во всей комплексной области с простым полюсом s = 1, где остаток равен 1. Это дзета-функция, о которой говорил Риман и которая стала предметом его знаменитой гипотезы.

4. УРАВНЕНИЯ ЭЙЛЕРА — ЛАГРАНЖА

Чтобы упростить, насколько это возможно, наше объяснение, оттолкнемся от предположения, что задействованные в нем функции удовлетворяют всем необходимым условиям на производную и непрерывность.

Обозначим через S функционал (функцию функций), к которому мы применим вариационное исчисление, а через x1, х2 — экстремумы неизвестной функции:

S(?) = ?x1x2L(x1,?(x),?'(x))dx.

Предположим, что решением является ?0 и что функционал имеет здесь минимум; назовем ?(x) функцию (которую мы будем "варьировать"), равную нулю в экстремумах x1, х2. Поскольку в ?0 функционал имеет минимум,

S(?0)?S(?0+??)

в окрестности ?0. Вариационный размах

? = ?0 + ??

должен удовлетворять:

dS(?0 + ??)/d?|?=0 = ?x1x2dL/d?|?=0 = 0

Теперь вспомним, что

d?/d? = ?,d?'/d? = ?'.

Применим правило дифференцирования и проведем необходимые замены.

Получим

dL/d? = ?L/?? d?/d? + ?L/??' d?'/d? = (?L/??)? + ?L/??'?'

A теперь проинтегрируем по частям и учтем предыдущую формулу:

Поскольку выражение слева — ноль, то нулем будет и выражение справа. Следовательно,

dL/d? = d/dx ?L/d?' = 0

Таким образом, мы получили уравнения Эйлера — Лагранжа, которые в приложениях обычно приводят к дифференциальным уравнениям второго порядка.

5. КОМПЛЕКСНЫЕ ЧИСЛА

Эйлер вывел свою фундаментальную формулу, из которой впоследствии получил еще несколько из простых рядов Тейлора. Напомним, что степени ведут себя так:

i0 = 1,i1 = i,i2 = -1,i3 = -i,

i4 - 1, i5 = i, i6 = 1,i7 = i и так далее.

Напомним также, что ряды степеней е и тригонометрических функций синус и косинус раскладываются в ряд Тейлора или степенной ряд следующим образом:

ex = x0/0! + x1/1! + x2/2! + x3/3! + x4/4! + ...

cosx = x0/0! + x2/1! + x4/4! + x6/6! + ...

sinx = x1/1! + x3/3! + x5/5! + x7/7! + ...

Произведем вычисления:

eix = (iz)0/0! + (iz)1/1! + (iz)3/3! + (iz)4/4! + (iz)5/5! + (iz)6/6! + (iz)7/7! + (iz)8/8! + ... = z0/0! + i(z1/1!) + z2/2! + i(z3/3!) + z4/4! + i(z5/5!) + z6/6! + i(z7/7!) + z8/8! + ... = (z0/0! + z2/2! + z4/4! + z6/6! + z8/8! + ...) + i(z1/1! + z3/3! + z4/4! + z6/6! + z8/8! + ...).

6. КРИПТОГРАФИЯ И МАЛАЯ ТЕОРЕМА ФЕРМА

Пусть М — сообщение, а С — зашифрованное сообщение (или криптограмма). Предположим, что оба они — натуральные числа. Обозначим через ? функцию, которая преобразует М в С: ?(M) = С. Чтобы зашифровать М, выбирают два очень больших простых числа, р и q, и определяют модуль, который мы назовем n, так что n = pq и n > М. Выберем такое е, что 1 < е < ?(n), а е и ?(n) взаимно простые числа. Открытый ключ состоит из n и е, и он всем известен. Поскольку n — очень большое число, узнать значение р и q невозможно. Мы имеем E = ?(M) ? Me (mod n). Назовем закрытым ключом пару n, d, где d выбрано так, что de ? 1 (mod ?(n)). Поскольку ? и q — простые числа, a pq = n, получим, что ?(n) = (р - 1)(q - 1); если мы не знаем p и q, а узнать их фактически невозможно, то мы не можем узнать и ?(n). Следовательно, мы не можем узнать d. Но у получателя есть значение d, следовательно, он знает р и q и может перейти к расшифровке сообщения: Ed ? (Me)d (mod n) ? Мed (mod n) ? MN?(n)+1 (mod n), N € ?. Теперь применим малую теорему Ферма. Если а = MN (a и n почти стопроцентно взаимно простые), то, применяя теорему, мы получаем: Ed ? Ма?(n) (mod n) ? M (mod n) = M, поскольку М < n, как мы договорились в начале.

Из этого объяснения видно, что создать ключ расшифровки довольно легко, поскольку нужны всего два больших простых числа, р и q, а разложить его, напротив, очень трудно.

Более 800 000 книг и аудиокниг! 📚

Получи 2 месяца Литрес Подписки в подарок и наслаждайся неограниченным чтением

ПОЛУЧИТЬ ПОДАРОК