ГЛАВА 3 Берлин, столица анализа

Эйлер откликнулся на призыв Фридриха II, просвещенного правителя Пруссии, уже будучи известным ученым. В этот период он занялся новыми для себя дисциплинами, такими как геометрия, механика жидкостей и инженерное дело. При этом он никогда не оставлял анализ и посвятил ему ставшую бессмертной трилогию, а также работу по основополагающему вопросу — вариационному исчислению.

"Госпожа, я приехал из страны, где кто разговаривает, того вешают", — ответил Эйлер Софии Доротее, королеве-матери короля Пруссии, когда та добродушно упрекнула его в том, что он почти не участвует в придворных беседах. В 1741 году Эйлер вернулся в тепло старой доброй Европы, в Берлин. Этот город был сердцем просвещенного мира, а также центром распространения западной культуры, столицей Прусского королевства, где правил самый либеральный среди королей Европы Фридрих Великий (1712-1786). Здесь Эйлер оказался в обществе великих деятелей науки и искусства, таких как Франсуа-Мари Аруэ (1694-1778), более известный как Вольтер, музыкант Иоганн Иоахим Кванц (1697-1773), философ Иммануил Кант (1724-1804) и разносторонний Иоганн Вольфганг Гёте (1749-1832). Когда Эйлер приехал в город, Фридрих II был занят сражениями за господство над Силезией, и ученому пришлось жить, занимая в долг у знакомых, до самого возвращения короля в 1746 году. Эйлер купил участок земли с домом, разбил огород, посадил картофель и другие овощи и занялся научной работой как сотрудник общества Societas Regia Scientiarum. Оно было основано в 1700 году Фридрихом I по инициативе Лейбница. В годы правления Фридриха Вильгельма I общество переживало упадок, поскольку король не питал к интеллектуальной деятельности такого интереса, как его предшественник: его не волновало ничего, что не приносило моментальную политическую или военную выгоду. К счастью для общества, после окончания боев в Силезии Фридрих II вернул ему былую славу. К моменту возвращения короля Эйлер уже написал множество статей и несколько книг. Президентом Академии в то время был Пьер Луи Моро де Мо- пертюи, а Эйлер возглавлял математический отдел, но также занимался финансами, астрономией, инженерным делом и ботаникой. Вот что пишет историк Адольф Юшкевич:

"В Берлине он руководил постройкой обсерватории и наблюдал за посадками в ботаническом саду, занимался подбором сотрудников, контролировал различные финансовые вопросы, издавал серии ежегодных календарей, служивших одним из источников дохода Академии. Король также доверил Эйлеру практические вопросы: например, консультацию по проекту изменения уровня воды в канале Финов в 1749 году [...]. В этот период он также руководил работами по установке насосов и водопровода в Сан- Суси, летней резиденции короля".

Однако государь остался недоволен работой ученого, о чем свидетельствует отрывок из его письма Вольтеру:

"Я хотел установить гидравлический насос в своем саду: Эйлер подсчитал, какую необходимую силу должны иметь лопасти, чтобы донести воду до цистерны, откуда потом она бы попала в систему канализаций и орошала территорию дворца Сан-Суси. Мельница была построена в соответствии с геометрическими выкладками, но не могла поднять к цистерне объем воды больше, чем на пять шагов. О, суета сует! О, тщетность геометрии!"

В 1747 году Эйлера выбрали членом Лондонского королевского общества; в 1748-м он снова выиграл Grand Prix Парижской академии наук с задачей о трех телах, которой затем воспользовался Алекси Клод Клеро (1713-1765) в своей работе в этой области. В 1758 году Эйлер был назначен академиком Парижской академии, так что у него были все возможные почетные титулы. Слава ученого была так велика, что, когда русские войска в 1760 году вторглись в Германию и причинили серьезные разрушения его дому в Шарлоттенбурге, то русский генерал Готтлоб Курт Генрих фон Тотлебен поспешил возместить Эйлеру ущерб и извинился со словами: "Я не воюю против науки". Императрица Елизавета также отправила ученому 4000 крон в качестве компенсации.

Около 1750 года возник знаменитый спор об авторстве принципа наименьшего действия: Кениг приписывал его Лейбницу, а Мопертюи — себе. Считается, что Эйлер открыл его независимо от остальных, но не опубликовал, чтобы не поставить Мопертюи, формально бывшего его начальником, в неловкое положение. Вольтер встал на сторону Кенига и в 1752 году написал иронический рассказ "Диатриба доктора Акакия, папского лекаря", в котором высмеивал Мопертюи. Фридрих положил конец этой полемике, изгнав Вольтера из государства. Мопертюи, глубоко переживавший все эти события, также уехал из Берлина.

Академия осталась в руках Эйлера, который, тем не менее, не был назначен ее президентом. Сначала король предложил это место Жан Батисту Лерону Д’Аламберу, обладавшему бесспорным авторитетом, но с которым Эйлер был не в лучших отношениях. Он не хотел опять оказаться под начальством француза и высказал опасение, что Берлинская академия превращается в копию Парижской. Действительно, король назначал ее членами многих французов, особенно философов. Но Д’Аламбер, пообщавшись в ходе собеседований со смирившимся Эйлером, был поражен: этот мрачный ученый обладал невероятной памятью, разбирался во всех областях науки и был гением математики. Невозможно было понять, почему такой талант не продвигают по службе. Д’Аламбер с чрезвычайной любезностью отказался от места президента Академии и предложил назначить на него Эйлера — эрудита, известного во всем мире, у которого, к тому же, уже был здесь дом. Но, как мы уже говорили, в число личных качеств Эйлера не входила способность вести остроумные беседы и рассуждать об искусстве, литературе или философии, а также умение вести себя при дворе, что очень ценил Фридрих II. Можно сказать, что король придавал большее значение этому, а не научным знаниям своего "математического Циклопа", как называл Фридрих ученого в письмах Вольтеру. Поэтому правитель не последовал совету Д’Аламбера и сам занял должность президента, что, видимо, не пришлось Эйлеру по вкусу. С этого момента их отношения стали довольно напряженными, и Эйлер, получавший крайне привлекательные предложения из России, решил опять уехать. Однако Фридрих не отпустил его так просто (в те времена нельзя было сразу перестать служить монарху): он находил все новые причины, чтобы задержать ученого. В конце концов Эйлер все же получил разрешение на отъезд.

ФОРМУЛА ДЛЯ МНОГОГРАННИКОВ

Из всех работ Эйлера, написанных в Берлине, одну с трудом можно приписать к какой-либо области математики того времени. В конце предыдущей главы мы очертили принципы новой области математики — теории графов (начало ей положил сам Эйлер в решении задачи о мостах Кенигсберга) — и более обширной области, частью которой она является, — топологии. Сначала в частных письмах разным адресатам, отправленных между 1750 и 1751 годами, а потом и открыто в статье 1758 года Эйлер вернулся к топологии с невероятным результатом: формулой для выпуклых многогранников с С гранями, А ребрами и V вершинами:

C - A + V = 2.

В начале 2000-х годов читатели авторитетного журнала Mathematical Intelligencer голосовали за самую красивую математическую формулу в истории. Эта формула для полиэдров заняла второе место, а первое — формула, также связанная с Эйлером: еxi + 1 = 0.

Сегодня мы бы сказали, что выражение С - А + V является топологическим инвариантом, то есть характеристикой поверхности, не меняющейся несмотря на трансформации, которым она подвергается, в частности происходящими в результате деформации, не разрушающей ее. Поверхность, для которой формула Эйлера является топологическим инвариантом, — это сфера, а следовательно, и любой гомеоморфный ей трехмерный полиэдр, то есть все тела, полученные в результате деформации сферы.

Формулу С - А + V = 2 обычно называют формулой Эйлера — Декарта, поскольку, хотя официально ее обнародовал Эйлер, Декарт (1596-1650) открыл ее в 1649 году. Точнее, он сделал другое открытие, подразумевавшее результат Эйлера, но не успел опубликовать его при жизни.

РИС. 1

СВОЙСТВА МНОГОГРАННИКА

Рассмотрим произвольный выпуклый многогранник (хотя на самом деле формула Эйлера работает для любого многогранника, который можно трансформировать в выпуклый, главное, чтобы он состоял из целого блока, а не из двух многогранников, соединенных в одной точке или с общим отрезком, и не имел дыр). Назовем вершины, ребра и грани многогранника с вышеуказанными характеристиками V, А и C. Как мы уже сказали, Эйлер обнаружил, что

C - A + V = 2.

РИС. 2

РИС. 3

РИС. 4

Эта удивительная взаимосвязь прослеживается всегда — подчеркнем это еще раз, — какой бы ни была форма многогранника, каким бы сложным ни было его изображение и какими бы косыми ни были его грани (за исключением звездчатых многогранников, грани которых пересекаются между собой). Наблюдение Эйлера совсем не очевидно, но его можно легко проверить как на примере симметричных и гармоничных Платоновых тел (рисунок 1 на предыдущей странице), так и на примере любого развернутого многогранника (рисунок 2). Эта числовая формула не зависит от геометрических характеристик фигуры и от формы многогранника. Она справедлива для любого выпуклого многогранника без дыр. Сегодня на элементарном уровне рассматриваются уже не простые многогранники, а поверхности, которые обозначаются буквой S, с дырами и без, а число ?(S) = С - A + V называют характеристикой S. Для поверхностей, гомеоморфных сфере, таких как многогранники, эта характеристика равна 2. Для тора (рисунок 3) или для бутылки Клейна (рисунок 4) и других гомеоморфных им поверхностей эта характеристика будет равна 0. Для трехмерных поверхностей рода g — где g соответствует количеству дыр в S — характеристика будет равна:

?(S) = C - A + V = 2 - 2g.

ГОМЕОМОРФИЗМ

Этот термин может показаться странным, но его значение (от греч. "гомой- ос" — "похожий" и "морфе" — "форма") хорошо известно всем математикам. Он описывает способность тела получиться из чего-то другого (и наоборот) в результате непрерывной неразрушающей деформации. Например, куб на рисунке гомеоморфен сфере.

Математики, особенно специалисты по топологии, называют тела, переходящие одно в другое в результате простой деформации, не ломаясь, гомеоморфными. Классическим примером гомеоморфных, или топологически эквивалентных, фигур являются кружка и тор, потому что могут циклично переходить друг в друга.

Кружка и тор гомеоморфны по невероятной геометрической причине: у них всего одно отверстие. Количество отверстий в поверхности считается топологическим инвариантом, поскольку не меняется в результате перехода.

Она называется характеристикой Эйлера — Пуанкаре. Это выражение стало очень популярным в математике и используется в таких абстрактных дисциплинах, как гомологическая алгебра. Уравнение

C - A + V = 2 - 2g

было сформулировано в 1813 году Симоном Антуаном Люи- лье (1750-1840), но этим открытием, как мы видели, он обязан Эйлеру.

ВОЗВРАЩЕНИЕ К ТЕОРИИ ЧИСЕЛ:

ПРОБЛЕМА ГОЛЬДБАХА

Переписка между Эйлером и Гольдбахом не прервалась после переезда первого в Берлин. В письме 7 июня 1742 года Гольдбах предположил, что каждое четное целое число является суммой двух целых чисел р и q, которые или были равны 1, или были нечетными простыми числами. Обмен мнениями продолжался, пока Эйлер не нашел окончательную формулировку этой идеи, которая, возможно, является самой известной задачей в истории после теоремы Ферма:

Каждое четное целое число больше 2 может быть представлено как сумма двух простых чисел.

Это и есть проблема Гольдбаха, названная так в честь ее автора, хотя сам он сформулировал ее по-другому. Ее также называют сильной проблемой Гольдбаха — в отличие от слабой проблемы, более простой с математической точки зрения, которая звучит так:

Каждое нечетное число больше 7 может быть представлено как сумма трех нечетных простых чисел.

Сильная проблема включает в себя слабую, но не наоборот.

Доказательство слабой проблемы довольно простое: если п — нечетное число и больше 7, то n = p + 3 > 7, следовательно р четное и р > 7-3 = 4. Если сильная гипотеза Гольдбаха подтверждается, то р — сумма двух простых чисел. Между тем n = р + 3, где р равно сумме двух нечетных простых чисел. Следовательно, п является суммой трех нечетных чисел, что и требовалось доказать. Сильная проблема подразумевает слабую. Сильная проблема Гольдбаха подтверждается для любого четного числа, иногда несколькими способами:

4-2 + 2

6-3 + 3

8-3 + 5

10-3+7-5+5

12-5 + 7

14-3+11-7 + 7

16-3+13-5+11

18-5+13-7 + 11

20-3+17-7 + 13.

В интернете есть сайты, на которых можно найти суммы Гольдбаха, доказывающие, что его гипотеза подтверждается всегда, независимо от выбранного числа. Например, для 1000:

1000 -179 + 821 =191 +809 = 431 +569- = 19 +1019.

Аналогично можно выбрать сумму с нечетными простыми числами, из которых одно отрицательное, чтобы убедиться, что проблема Гольдбаха подходит не только для простых натуральных чисел. В сети можно даже найти вычислительные программы, которые выдают суммы Гольдбаха для любого рационального числа, но с условием, что оно не очень большое. Встречаются такие суммы, члены которых сильно отличаются по величине, например:

389965026819938 = 5569 + 389965026814369.

КРИСТИАН ГОЛЬДБАХ

Гольдбах родился в Пруссии, но большую часть своей жизни провел в России, где искал новые таланты для Петербургской академии и работал в ней же секретарем. Он дружил с Лейбницем, Абрахамом де Муавром, Николаем Бернулли (а также с другими членами этой выдающейся семьи) и Эйлером, чью кандидатуру он усиленно продвигал и в переезде которого в Россию сыграл решающую роль. Он даже стал учителем царевича Петра II и занимал высокие посты в министерстве иностранных дел, где работал криптографом. Гольдбах занимался разными областями науки и добился хороших результатов в изучении числовых последовательностей, в особенности благодаря сотрудничеству с Эйлером. Личность последнего, видимо, стимулировала Гольдбаха в работе. Например, не все знают, что именно Гольдбах, будучи не в состоянии решить Базельскую задачу самостоятельно, привлек к ней Эйлера, который впоследствии прославился найденным решением. Переписка Эйлера и Гольдбаха, необыкновенно обширная и полная математических рассуждений, насчитывает почти 200 писем. Об уважении, которое Эйлер питал к Гольдбаху, свидетельствует хотя бы тот факт, что он выбрал коллегу крестным отцом своего первенца.

Влияние проблемы Гольдбаха

Сегодня о Гольдбахе вспоминают не в связи с его теоремами, а с проблемой, носящей его имя. В 1992 году вышел роман "Дядя Петрос и проблема Гольдбаха" Апостолоса Доксиадиса. Издательство Faber&Faber предложило премию в миллион долларов, действительную два года, тому, кто найдет решение. Скорее всего, издатели знали, что никакого ответа они не получат. Пока эта проблема решена только в испанском художественном фильме 2007 года "Западня Ферма" режиссеров Луиса Пьедраиты и Родриго Сопеньи.

В этой паре, не так давно найденной нумерологом Йоргом Рихстейном, одно слагаемое состоит из четырех цифр, а второе — из 15, при этом оба они являются простыми числами. До сих пор никому не удалось доказать ни одну из двух гипотез. Слабую можно считать почти доказанной, поскольку известно, что она работает для всех чисел больше 10 346. Чтобы доказать ее полностью, надо разобраться с нерешенными случаями: начать с 7 и дойти до 10 1346. Это очень сложно: любой существующей вычислительной машине потребуется на это большее количество секунд, чем число атомов во Вселенной.

С сильной проблемой Гольдбаха ситуация яснее: ни одного ее доказательства не существует. Найти его не удалось даже Эйлеру. С помощью супервычислителей Cray проблему проверили для огромных чисел, доходящих до 1018, но общее доказательство так и не найдено. Тем не менее математикам удалось добиться значительных результатов. Например, китайский ученый Чен Джингрун (1933-1996) в 1966 году доказал, что каждое достаточно большое число можно представить в виде суммы двух других, из которых одно — простое, а второе — произведение максимум двух простых.

ВАРИАЦИОННОЕ ИСЧИСЛЕНИЕ: МАКСИМУМЫ И МИНИМУМЫ

Вариационное исчисление может считаться обобщенным исчислением и поэтому однозначно является частью анализа. Его цель заключается в нахождении пути, кривой, поверхности и так далее, для которых определенная функция имеет стационарное значение — как правило, максимальное или минимальное. Исчисление имеет основополагающее значение для физики, в частности в таких областях практического применения, как теория упругости и баллистика, которые вызывали большой интерес уже во времена Эйлера. Неудивительно, что ученый пришел к вариационному исчислению в 1744 году, через три года после переезда в Берлин, когда он занялся физикой, а именно принципом наименьшего действия в механике.

РИС. 5

РИС . б

РИС. 7

Путь, пройденный лучом света на поверхности от А до В, равен отрезку А’ В. Следовательно, он проходит наименьшее расстояние.

Как и все основные проблемы в математике, вопрос о максимумах и минимумах имел длинную историю. Достаточно вспомнить классическую задачу — или, скорее, легенду — о Ди- доне, королеве Тира. Она бежала с последними оставшимися ей верными людьми и достигла берегов, на которых ей суждено было создать свое царство, Карфаген. Она попросила местного короля Иарбанта дать ей кусок земли, где могли бы жить ее подданные. Тот согласился с одним условием: владения Дидоны должны быть равны площади, которую она сможет покрыть воловьей шкурой. Чтобы упростить объяснение, представим, что побережье — прямая линия, без заливов, бухт и мысов. Царица разрезала шкуру на тончайшие ремешки так, что получилась длинная веревка. Она соединила ее концы (рисунок 5), а затем применила базовый принцип изопериметров, то есть площадей, периметры которых имеют одинаковую длину. Одна часть этого периметра проходила вдоль моря, а оставшаяся должна была охватить как можно большую площадь. Решение состояло в том, что веревка из воловьей кожи должна располагаться в виде полукруга, диаметр которого — побережье (рисунок 6). Задача Дидоны относится к разряду классических изопериметриче- ских задач, которые часто встречаются в физике. Она относится к более широкой категории задач, похожих друг на друга, поскольку в них всегда надо найти экстремум функционала — максимум или минимум — при заданных неизменных условиях. Существует наглядный и к тому же очень древний пример, автором которого является Герон Александрийский (ок. 10- 70). Он задался вопросом об отражении света, заметив, что луч, идущий от А к В, отражаясь от зеркала, следует по самой короткой траектории (рисунок 7).

РИС. 8

РИС. 10

Впоследствии Ферма сформулировал закон о преломлении света (так называемый закон Снеллиуса), по которому n1, sin?1 = n2 sin?2 Однако в этом случае пройденное расстояние не было минимальным. Минимальным было время, за которое луч проходит от A до B, а расстояние на самом деле было, как мы сказали бы сегодня, функцией времени: e = v · t, где v — скорость луча света в преломляющей его среде. Таким образом, минимизируется функция ?(t) · vt (рисунки 8-9).

ПЬЕР ДЕ МОПЕРТЮИ

Хотя семья Пьера де Мопертюи (1698- 1759) сделала состояние, промышляя пиратством — его отец был корсаром, получившим дворянский титул, — и у Пьера была возможность сделать военную карьеру, он выбрал науку и стал выдающимся математиком, физиком, естествоиспытателем и астрономом. Мопертюи был последователем Ньютона. Приняв участие в экспедиции в далекую Лапландию, чтобы собрать данные о длине земного меридиана, он пришел к выводу, что Земля сплюснута у полюсов, и подтвердил таким образом теорию своего учителя. Мопертюи также первым сформулировал принцип наименьшего действия. Правда, некоторые историки ставили его первенство под вопрос, поскольку считали, что Эйлер узнал об этом принципе раньше и уже использовал его. В отношениях между Мопертюи, одной из главных фигур Прусской академии, и Эйлером были периоды большой напряженности. Согласно некоторым источникам, Мопертюи так писал о швейцарском ученом: "Эйлер... в общем чрезвычайно странный персонаж... это неутомимый и надоедливый человек, который любит вмешиваться во все дела, хотя структура Академии и распоряжения нашего короля запрещают подобные вмешательства".

Вышеуказанная вариация есть не что иное, как инструмент вычисления. Если у(х) — это кривая, которая, проходя через (a, y(a)) и (b, y(b)), отвечает необходимым требованиям, то вариация кривой будет небольшим изменением, что обозначается знаком 8 перед ней (рисунок 10). В 1744-1746 годах Мопертюи сформулировал свой принцип наименьшего действия, который можно сформулировать как "природа экономит свои усилия", поскольку "осуществляет их", выполняя наименьшее из возможных действий. Действие — величина, которую можно определить. Она может быть представлена (хоть это и не единственный способ) как сумма задействованных сил, умноженная на пройденный путь, и именно он должен быть минимальным.

Эйлер изложил свою версию принципа в 1744 году в статье "Метод нахождения кривых линий, обладающих свойствами максимума либо минимума, или решение изопериметрической задачи, взятой в самом широком смысле", которую историки обычно называют по первому слову в оригинальном латинском заголовке, Methodus. Именно она положила начало современному вариационному исчислению.

Поскольку наш мир устроен наисовершеннейшим образом и является творением всеведущего Творца, во всем мире не происходит ничего такого, в чем не было бы воплощено какое-либо правило максимума или минимума.

Эйлер

В 1755 году математик итальянского происхождения Жозеф Луи Лагранж, которому было всего 19 лет, написал Эйлеру длинное письмо, в котором содержалось решение одной задачи с помощью усовершенствованной системы вариационного исчисления. В 1772 году Лагранж с благословения Эйлера, признавшего важность его работы, опубликовал свой метод.

Выражаясь современным языком, вариационное исчисление состоит в приведении в действие принципа наименьшего действия с аналитической точки зрения. Вначале запишем так называемый лагранжиан системы, обозначив его L, причем L = С - Р, то есть разнице между кинетической энергией С и потенциальной энергией Р. Лагранжиан — это функционал, функция от функций. Если ограничиться самым банальным случаем, в котором есть только путь, то есть функция x(t) времени, то лагранжиан будет иметь вид L(x,x',t), где ньютоновским знаком х' обозначается производная от х. Интеграл действия принимает вид:

S = ?t0t1L(x,x',t)dt

и именно его необходимо минимизировать (а в некоторых случаях максимизировать). И Эйлер, и Лагранж, хотя и разными путями, пришли к дифференциальным уравнениям (обычно их бывает несколько) вида

d/dt ?L/?x' = ?K/?x.

Сегодня их называют уравнениями Эйлера — Лагранжа, и задача сводится к их решению. Уравнения Эйлера — Лагранжа встречаются в учебниках по анализу и в относительно простых условиях трансформируют интеграл действия в частные производные. Они являются центральным элементом вариационного исчисления. В приложении 4 мы приводим их формальный вывод.

Д’АЛАМБЕР И ЕГО ПРИНЦИП

В 1743 году Д’Аламбер (1717-1783) в своем Тгайё de dynamique ("Трактат о динамике") сформулировал принцип аналитической механики, который носит его имя. Согласно этому принципу, в динамической системе сумма виртуальных работ заданных сил и даламберовых сил равна нулю. Такая формулировка позволяет подойти к принципу наименьшего действия или наименьшего усилия и отсылает к Эйлеру, поскольку ведет к уравнениям Эйлера — Лагранжа:

?L/?xa - d/dt ?L/?xa = 0.

Это фундаментальная формула классической механики, где L — лагранжиан, а хa — так называемые обобщенные координаты системы.

Мудрец своего времени

Д’Аламбер, один из просвещенных умов эпохи, был незаконнорожденным сыном офицера Детуша, который не признал его. Его имя происходит от названия церкви, на ступенях которой его оставили (Сен Жан-Ле-Рон), и от предполагаемого спутника Венеры (Аламбер). Вместе с Дени Дидро

(1713-1784) он опубликовал перевод с английского "Циклопедии" Эфраима Чемберса, которая легла в основу Enciclopedie: она была дополнена 1700 статьями по математике, философии, литературе, музыке, а также знаменитым вступительным словом Discours priliminaire (1751). Д’Аламбер был принят в Берлинскую академию наук, Лондонское королевское общество, Парижскую академию наук, Французскую академию. Д’Аламбер привел первое доказательство (ошибочное и впоследствии исправленное Гауссом) основной теоремы алгебры: "Всякий вещественный многочлен степени n имеет n комплексных корней". Он также нашел превосходный признак сходимости рядов, в теоретической физике разработал так называемый оператор Д’Аламбера, а в теории вероятностей известен своим мартингалом Д’Аламбера. Параллельно с Эйлером он разработал способы улучшения астрономических линз.

ЭЙЛЕР И ГЕОМЕТРИЯ

Пока Эйлер жил в Берлине, он иногда отправлял статьи в Петербургскую академию, особенно если они касались тем, являющихся продолжением работ, в прошлом опубликованных в России. В 1763 году Эйлер представил Solutio facilis problematum quorundam geometricorum difficillimorum ("Легкое решение очень трудной геометрической задачи") — чисто геометрическое и довольно сложное сочинение в духе Евклида. Оно было опубликовано в 1767 году, когда ученый уже вернулся в Санкт- Петербург. В нем он впервые доказал, что в любом неравностороннем треугольнике ортоцентр (О — точка треугольника, в которой пересекаются три его высоты), центр описанной окружности (С — точка треугольника, в которой пересекаются три его срединных перпендикуляра) и барицентр, который также называют центроидом (В — точка, где пересекаются три медианы

треугольника), располагаются на одной прямой, впоследствии названной прямой Эйлера. Если треугольник равнобедренный, то на этой линии находится еще и инцентр (точка пересечения трех биссектрис). О центре окружности Эйлера ( мы поговорим ниже.

Помимо того что обнаружилось расположение на одной прямой точек О, В и С, удалось получить точное соотношение:

2d(B,C) = d(B,0).

Как видите, расстояние между барицентром и ортоцентром всегда в два раза больше расстояния между барицентром и центром описанной окружности (рисунок 11). И хотя, как мы уже сказали, инцентр располагается на той же прямой только в равнобедренном треугольнике, Эйлер нашел формулу, по которой можно рассчитать расстояние между инцентром и центром описанной окружности:

d2 = R(R-2r),

где R и r — радиусы описанной и вписанной окружностей соответственно.

РИС. 11

РИС. 12

Крыша олимпийского стадиона в Монако занимает наименьшую площадь, рассчитанную с помощью вариационного исчислении.

В 1750 году Эйлер обнародовал мегаскоп — прибор дли проецировании непрозрачных тел. Он состоил из двух вогнутых зеркал и двух ламп.

Марка, изображающей теорему для многогранников — одно из высочайших достижений Эйлера.

ЦЕНТРЫ ТРЕУГОЛЬНИКА

Центром треугольника называется точка Р, которая обладает особым геометрическим свойством по отношению к определенным линиям (высотам, медианам, биссектрисам и так далее) и определяет окружности или другие простые фигуры, обладающие некоторыми свойствами, связанными с исходным треугольником. Это очень туманное определение, но к нему можно добавить условие: точка Р должна быть инвариантом по отношению к симметриям, вращениям и расширениям. Примерами таких центров являются ставшие уже классическими ортоцентр, центр описанной окружности и инцентр, но существуют и другие. Статья Эйлера о центрах треугольника вызывала удивление у геометров (они полагали, что об особых точках этой фигуры уже сказано все), однако в последующие годы было открыто много других центров. Сегодня существуют сайты, посвященные их перечислению и изучению: например, Encyclopedia of Triangle Centers Кларка Кимберлин- га насчитывает более 3500 точек.

Через несколько лет после этого Карл Вильгельм Фейербах (1800-1834) и Олри Теркем (1782-1862) нашли окружность с центром СE, известную сегодня как окружность Эйлера. Она проходит через девять точек: через середины всех сторон треугольника, через основания всех его высот и, наконец, через срединную точку отрезка, идущего от каждой вершины к ортоцентру (рисунок 12). Существует еще одно соотношение, касающееся этих расстояний:

d (СЕ,O) = d (СЕ,С).

Некоторые из его простейших открытий таковы, что можно представить себе дух Евклида, вопрошающий: "Почему при жизни на Земле я не додумался до этого?"

Гарольд Коксетер об Эйлере

Как легко догадаться, центры треугольников были не единственным геометрическим интересом Эйлера. Мы могли бы перечислить множество других занимавших его вопросов, но среди них есть один, который отличается своей сложностью, прямо пропорциональной простоте формулировки. В 1751 году Эйлер в письме Гольдбаху предложил следующую задачу: найти для любого выпуклого многоугольника с п сторонами, сколькими способами можно разделить его на треугольника при помощи диагоналей, которые не должны пересекаться, и считая по отдельности разные углы. Эйлер спрашивал, сколько поперечных разрезов надо сделать в "торте" многоугольника, как видно на рисунке. Это сложная задача на комбинаторику, и ее решение — Сn-2, где

Cn = 1/n(2n n-1)

Все возможные способы разделения на треугольники многоугольников с 4,5 и 6 сторонами при помощи нелересекающихся диагоналей.

НЕЗНАКОМЫЙ НАМ ЭЙЛЕР

Эйлер интересовался всем и писал статьи почти по всем вопросам. Многие из них сложно отнести к той или иной области науки, известной в то время: к чему относится, например, задача о возможном маршруте по мостам Кенигсберга? Другие же, напротив, прекрасно вписывались в мир того времени, например задача о выплате пенсий, но не были первоочередными проблемами. Краткий экскурс по этим трудноклассифицируемым сочинениям даст более глубокое представление о необыкновенном разнообразии наследия Эйлера.

ЭЙЛЕР-ИНЖЕНЕР

Вклад Эйлера в практическое инженерное дело обычно принижается, отчасти из-за невысокого мнения о нем Фридриха II, который считал очевидным, что все проекты, реализованные его подданными, будь то генералы, садовники или ученые, должны прекрасно работать, ведь за это он им и платил. Инженеры Его Величества — а Эйлер был их начальником — не были исключением. Если, например, из фонтанов в садах императора вдруг не била струя, то, по мнению Фридриха, это означало, что его инженеры и конструкторы никуда не годятся. Ошибки в расчетах давления воды не прощались.

Несмотря на такое отношение, Эйлер много занимался задачами практической инженерии. Около 1744 года (правда, эта работа была опубликована только в 1757-м) он применил вариационное исчисление к рассчету нагрузки от предметов на пилястрах, которые их поддерживают, — на профессиональном языке это называется критической нагрузкой, простым вариантом деформации.

Представим себе колонну, как на следующей странице, на которую давит осевая концентрическая сила, q, то есть груз, давящий на центр тяжести ее поперечной секции. Эйлер нашел формулу

F = ?2EI/(KL)2,

которая описывает эту нестабильность, где F — сила, или осевой груз, Е — модуль упругости, I — момент инерции площади, L — длина между точками опоры колонны, а — эмпирический фактор, зависящий от условий поддержки конца перекладины или колонны, испытывающей деформацию. Произведение KL определяет их действительную длину.

Деформация или нестабильность при критической нагрузке колонны.

ЭЙЛЕР И МЕХАНИКА ЖИДКОСТЕЙ

В 1757 году Эйлер опубликовал статью Principes generaux du mouvement des fluides ("Общие принципы движения жидкостей").

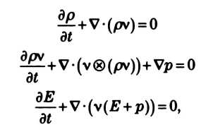
В ней впервые появляются уравнения для механики жидкостей, описывающие движение жидкости, которую нельзя сжать и у которой нет вязкости.

Сегодня такую жидкость назвали бы идеальной. Мы же рассмотрим не саму идеальную жидкость, а уравнения Эйлера, записанные в современном виде. Лаплас (1749-1827) добавил к этим уравнениям важную деталь — адиабатическую составляющую (то есть предположил, что количество тепла в системе неизменно). На современном тензорном языке уравнения выглядят так:

где р — плотность жидкости, v — ее векторная скорость, Е — общая энергия на единицу объема и давление. Предполагается, что вязкость потока не имеет значения, однако это нельзя утверждать с такой уверенностью для более сложных формул, например для уравнений Навье — Стокса. По мере того как уравнения становятся все более сложными — и все более близкими к реальности, логично, что количество предпосылок в них уменьшается. Уравнения Навье — Стокса известны как одна из проблем тысячелетия, за решение которой Институт Клэя готов выплатить миллион долларов.

Теорему Бернулли для гидродинамики можно вывести, проинтегрировав уравнения Эйлера. Таким образом, нет сомнений, что они имеют огромное значение, ведь из них выводится принцип полета крылатого тела, более тяжелого, чем воздух. В прошлом уравнения Эйлера применялись в изучении самых разных явлений — большого красного пятна на Юпитере, кровообращения, аэродинамики автомобилей — и продолжают использоваться сейчас. В эссе 1756 года Эйлер подробнейшим образом изучил турбины, приводимые в движение жидкостью, и это исследование до сих пор остается непревзойденным.

Уравнения Эйлера являются дифференциальными нелинейными уравнениями, с которыми не всегда легко работать. Изобретение компьютеров с их огромными вычислительными способностями дало физикам возможность находить их приближенные числовые решения. Вероятно, получить точное и элегантное решение невозможно, зато можно добиться хорошего приблизительного результата.

Компьютеры сделали неоценимый вклад в решение уравнений Эйлера и Навье — Стокса: с их помощью можно имитировать механическое движение жидкости. Тем не менее пока не представляется возможным решить уравнения ее движения.

УСЛОВИЯ КОШИ — РИМАНА

С исторической точки зрения эти аналитические уравнения уже были рассмотрены в 1752 году Д’Аламбером и Эйлером, ис- пользовавшими их в разных областях, например в гидродинамике. Уже в 1777 году эти уравнения появляются среди других аналитических выражений ученого, хотя они были опубликованы только после его смерти. Они постулируют равенство частных производных следующим образом: предположим, что функцию ?(x + iy) комплексной переменной можно разделить на действительную и мнимую части:

?(x + yi) = u (х,у) + iv (х,у)

и что u и v можно продифференцировать как функции двух переменных в действительной области R. Следовательно, их частные производные удовлетворяют условиям

?u/?x = ?v/?y

?u/?x = ?v/?x

И наоборот, если u и v можно продифференцировать как действительные функции и при этом выполняются предыдущие равенства для производных, то ? — дифференцируемая функция и ? = u + iv.

Эти уравнения встречаются уже на первых страницах современного учебника по комплексному анализу и знакомы всем студентам, изучающим физику и инженерное дело.

ИГРЫ, ЛОТЕРЕИ И СТРАХОВАНИЕ ЖИЗНИ

Эйлер нашел время для изучения вопросов статистики и вероятностей. И хотя его исследования в этой области были не слишком обширны, о них стоит упомянуть. Иногда ученый говорил об этих работах в переписке с королем Фридрихом II. Некоторые изыскания ученого касаются азартных игр и пари — в то время эта область считалась научной. Действительно, в них часто решались задачи, впоследствии приобретавшие большое научное значение. Как и другие выдающиеся математики, например Иоганн Генрих Ламберт (1728-1777) или Пьер-Симон Лаплас, Эйлер изучал карточную игру treize (413"), известную также под названием "встреча" (или "совпадения"). Затем он углубился в лотереи, возникшие как раз в это время, и в страхование жизни, а также в статистику жизни и смерти. Пенсия и ежегодные взносы, которые необходимо выплачивать для ее получения, высчитываются на основе этой статистики, поскольку их объем зависит от большей или меньшей вероятности смерти человека.

ПРИНЦЕССА И СИЛЛОГИЗМЫ

Эйлер написал принцессе Ангальт-Дессау, племяннице Фридриха, более 200 писем. В 1768 году они были собраны в один том под названием Lettres ? une princesse d'Allemagne sur divers sujets de physique et de philosophie ("Письма к немецкой принцессе о разных физических и философских материях·). И даже в таком, казалось бы, легком жанре Эйлеру удалось удивить современников. В некоторых письмах (102-105) он рассуждает о силлогизмах и, чтобы лучше объяснить свою мысль, прибегает к диаграммам, как на рисунках 1 и 2.

РИС. 1

РИС . 2

Они напоминают диаграммы Джона Венна (1834-1923), хотя отличаются по смыслу. То, что Венн изобразил бы в виде диаграммы на рисунке 3, для Эйлера было бы рисунком 4. Венн изображал фрагмент диаграммы, даже если он был пустым, в то время как Эйлер, не думавший об общей картине, не считал это возможным. Венн называл свои диаграммы не диаграммами Венна, как их обозначают сегодня, а диаграммами Эйлера, так что не требуется уточнять, кто был источником его вдохновения.

РИС.3

РИС. 4

Ученый также занимался теорией ошибок, которая, однако, стала полноценной теорией только после создания Гауссом метода наименьших квадратов. Необходимо помнить, что в то время погрешности в измерениях подсчитывались путем вывода их среднего арифметического. Положительные и отрицательные величины среди отклонений компенсировали друг друга, следовательно, невозможно было понять природу каждой отдельной ошибки и исправить ее.

ВТОРОСТЕПЕННЫЕ РАБОТЫ

В Пруссии Эйлер написал несколько работ, которые можно называть второстепенными, если сравнивать их с другими фундаментальными трудами из его обширного наследия. В 1744 году вышла книга о траектории планет и комет, Theoria motuum planetarum et cometarum ("Теория движения планет и комет"), а в 1746 году — трактат по оптике, в котором говорится о свете и цветах,— Nova theoria lucis et colorum ("Новая теория света и цветов"). Вслед за Христианом Гюйгенсом (1629-1695) Эйлер склонялся к волновой гипотезе, превалировавшей над корпускулярной вплоть до создания квантовой механики. В 1745 году был опубликован сделанный Эйлером перевод на немецкий язык книги New Principles of Gunnery ("Новые принципы артиллерийского искусства") Бенджамина Роббинса (1707-1751). Ученый сделал такое количество комментариев, исправлений и дополнений, что фактически написал книгу заново.

В 1765 году, когда Эйлер уже переезжал в Россию, в печать отправилась Theoria motus corporum solidorum seu rigidorum ( "Теория движения твердых тел") — второй трактат по механике. Он стал улучшенным вариантом первого (в котором методы математического анализа впервые применялись в механике), поскольку в нем появились уравнения, впоследствии названные дифференциальными уравнениями движения твердого тела, подверженного действию внешних сил, и углы Эйлера, связанные с использованием систем координат, одна из которых неподвижна, а вторая привязана к движущемуся телу так, что его движение оказывается разложено на линейное и вращательное. Все специалисты подчеркивают оригинальность некоторых исследований, например изучения оси вращения обычной юлы, которое подводит к понятию нутации и прецессии равноденствий.

Мы уже говорили, что еще одной страстью Эйлера была картография. В течение нескольких лет ученый принимал участие в создании атласа России. В результате он был напечатан в 1745 году и состоял из 20 карт. Эйлер очень гордился этим достижением и утверждал, что благодаря этому атласу российская картография обогнала немецкую.

Тем не менее, несмотря на обширную деятельность ученого, нельзя думать, что все написанное им было верным. В работах Эйлера встречается неизбежный недостаток той эпохи — отсутствие точности в операциях и определениях. Многие его догадки справедливы не потому, что строго доказаны, а просто потому, что они работают. В XIX веке ученые потратили немало сил, чтобы дать основу дерзким предположениям Эйлера, определив такие понятия, как предел, сходимость или непрерывность, с помощью которых удалось залатать дыры в доказательствах многих его предположений. Математика стала скучнее, но точнее.

ФУНДАМЕНТАЛЬНАЯ ТРИЛОГИЯ: ВЕРШИНЫ АНАЛИЗА

Эйлер оставил след в огромном количестве самых разных областей знания и написал работы обо всем, что вызывало его интерес, однако для многих он стал в первую очередь отцом современного математического анализа, как если бы это было его основной заслугой. В предыдущем параграфе мы рассмотрели вклад Эйлера в вариационное исчисление. В последующие годы ученый — видимо, вдохновленный своим успехом — углубил и структурировал обширные знания по анализу в нескольких трактатах.

В 1748 году он опубликовал Introductio in analysin infinitorum ("Введение в анализ бесконечных"), шедевр в двух томах, который вместе с Instituciones calculi differentialis ("Дифференциальное исчисление") 1755 года и с трехтомным Instituciones calculi integralis ("Интегральное исчисление") 1768-1770 годов входит в непревзойденную по сей день научную трилогию. Появление этих работ разделило математику на до и после, особенно в области анализа. Франсуа Араго (1786-1853) назвал Эйлера "анализом, воплощенном в человеке", а историк математики Карл Бенджамин Бойер (1906-1976) ставил его работы в один ряд с трудами Евклида, Ньютона, Гаусса и Декарта и даже впереди их всех, поскольку они имеют большее педагогическое значение. Вот что пишет Бойер:

"Можно сказать, что Эйлер сделал с исчислением Ньютона и Лейбница то, что Евклид сделал с геометрией Евдокса или Ви- ет — с алгеброй Кардано и Аль-Хорезми. Эйлер взял дифференциальное исчисление Лейбница и метод Ньютона и поместил их в более общую область математики, которая с этого момента стала называться анализом, то есть изучением функций и бесконечных процессов".

Это изменение касалось не только содержания, но и математической символики. В качестве упражнения может быть полезно почитать эти книги и убедиться, что они понятны и сегодня. Клиффорд Трусделл (1919-2000), выдающийся американский физик, писал по этому поводу:

"Эйлер был первым ученым в западной цивилизации, кто стал писать о математике ясным и легким для чтения языком. Он объяснил своим современникам, что вычислению бесконечно малых величин может научиться, приложив небольшие старания, любой разумный человек. Он справедливо славился чистотой своего стиля и честностью, с которой обращался к читателю, когда испытывал трудности".

Некоторые разработки Эйлера в области анализа интересны только узким специалистам, и мы ограничимся их перечислением: это гипергеометрические ряды, гиперболические функции, дифференциальные уравнения, эллиптические функции и комплексные интегралы.

База, на которой основано одно из самых важных открытий, описанных в Introductio in analysin infinitorum,— это формула Муавра. Современный математик записал бы ее так:

(cosx + isinx)n = cosnx + isinnx.

Сам де Муавр записал ее в 1730 году в более сложном виде, но в соответствии с традицией того времени:

АБРАХАМ ДЕ МУАВР

Абрахам де Муавр родился в 1667 году во французском регионе Шампань, однако карьеру сделал в Великобритании, куда бежал от религиозных преследований протестантов, начавшихся после того, как в 1685 году Людовик XIV отменил Нантский эдикт. В Лондоне он оказался в стесненных обстоятельствах и зарабатывал на жизнь частными уроками и игрой в шахматы. Де Муавр близко подружился с Эдмундом Галлеем (1656-1742) и Ньютоном, с которым он каждый день пил кофе и который, как говорят, каждый раз, когда ему задавали вопрос о вычислениях, отвечал: "Спросите де Муавра, он разбирается в этом лучше". Кроме этого, де Муавр дружил с Лейбницем, Эйлером и семьей Бернулли, однако все эти связи не помогли ему найти постоянную работу. Он был превосходным математиком: именно ему принадлежит введение в теорию вероятностей независимых событий — результат, приближающий к понятию распределения статистических данных в виде колокола Гаусса. Также де Муавр изучал вопрос ренты в работе Annuities in life ("Пожизненная рента"), опубликованной в 1724 году и основанной на одном из сочинений Галлея. В области анализа де Муавру принадлежит заслуга асимптотического представления факториала. Впоследствии эта формула станет известна как формула Стирлинга:

n! = ?(2?n)(n/e)n.

Но главным его достижением стала формула для комплексных чисел, которая в современной записи выглядит так:

(cosx + /sinx)n = cosnx + isinnx.

Де Муавр остался холостяком и жил в бедности, но с гордостью изгнанника вспоминал, что в 1754 году Парижская академия наук избрала его своим иностранным членом. Умер ученый в Лондоне, и говорят, что он предсказал день своей смерти. Якобы де Муавр заметил, что каждый день спит на 15 минут больше, и, произведя подсчеты, вычислил день, когда должен был проспать 24 часа: 27 ноября 1754 года. Так и оказалось.

Эйлер использовал формулу Муавра, не приведя никакого ее доказательства. Он совместил ее с другой формулой, названной его именем и созданной еще в Базеле (как мы видели в главе 2):

еix = cosx + isinx,

и вывел, пользуясь простым правилом возведения в степень, выражение, которое сегодня мы записали бы так:

ех+iy = ех (cosу + isiny).

Эйлер пришел к этим результатам, а также к другим, имеющим огромную важность, отталкиваясь от простого ряда Тейлора:

ex = ?n=0?xn/n! = 1 + x + x2/2! + x3/3! + x4/4! + ...

В приложении 5 мы более подробно объясним, как Эйлер вывел свою формулу из этого выражения.

Если мы подставим вместо х число ?, то, по формуле Эйлера, получим:

eix = cos? + isin? = -1 + i0 = -1,

а перенеся -1:

eix + 1 = 0.

Многие математики считают это уравнение, известное как тождество Эйлера, самым красивым в этой науке.

В Introductio in analysin infinitorum можно также обнаружить понятие логарифма в форме, позволяющей решить задачу отрицательных логарифмов, которая не давала Эйлеру покоя со времен его базельской юности. Он совершенно правильно определял их как результат операции, обратной возведению в степень:

alog?x = x.

а это значит, что логарифм в области комплексных чисел имеет бесконечное число значений, которые отличаются только четным произведением ?, то есть 2k?. В частности:

ln(-1) = i? + 2k?(k € Z),

что приводит нас к таким выражениям, как

ii = eilni = e(-?/2) ~ 0,2078795764.

В этой работе также впервые появляются число е, формула Муавра, ряд степеней sinx и cosx, понятие функции, несколько степенных рядов (а также представлено другое решение Базельской задачи) и так далее, объясняются и систематизируются начала аналитической геометрии, неразрывно связанной с анализом. Среди затронутых тем можно найти косоугольные и полярные координаты, преобразование координат, асимптоты, кривизну, пересечение кривых, касательные и многие другие. Подход Эйлера к этим понятиям не просто современен, он действительно соединил точки зрения Ньютона и Лейбница и объяснил раз и навсегда, что дифференцирование и интегрирование являются обратными друг другу действиями, двумя сторонами одной медали. В Institutiones calculi differentialis и Institutiones calculi integralis содержится первое исследование рядов, непрерывных дробей, дифференциальных уравнений, включая частные производные, максимумы, минимумы и так далее. Эйлер начал интеллектуальную схватку длиною в жизнь с числовыми рядами: никто не знал, сходятся ли эти бесконечные суммы, и если сходятся, то к чему. В некоторых случаях расхождение было очевидным, как, например, в так называемом гармоническом ряде:

1 + 1/2 + 1/3 + 1/4 + 1/5 + 1/6 + 1/7 + 1/8 + ... ,

который итальянский математик Пьетро Менголи сгруппировал так:

1 + 1/2 + (1/3 + 1/4) + (1/5 + 1/6 + 1/7 + 1/8) +

+ (1/9 + 1/10 + 1/11 + 1/12 + 1/13 + 1/14 + 1/15 + 1/16) + ...

? 1 + 1/2 + 1/2 + 1/2 + 1/2 + ... ,

показав, что его сумма бесконечна. Другие же вызывали недоумение. Рассмотрим пример:

1 - 1 + 1 - 1 + 1 - 1 + ...

В таком виде кажется, что его сумма равна 0:

(1-1) + (1-1) + (1-1) + ... = 0,

а если сгруппировать его так, то сумма равна 1:

1 + (-1 + 1) + (-1 + 1) + (-1 + 1) + ... = 1.

На самом деле оба результата неправильны. Эйлер, как и другие математики того времени, предпочитал исходить из известного ряда

1/(1-x) = 1 + x + x2 + x3 + x4 + x5 + ...

Подставив вместо х число -1, он пришел к

1/2 = 1/(1- (-1)) = 1 + (-1) + (-1)2 + (-1)3 + (-1)4 + (-1)5 + ...

= 1 - 1 + 1 - 1 + 1 - 1.

то есть ни 1, ни 0: Эйлер утверждал, что сумма равна 1/2.

К арсеналу уже известных к тому времени рядов

Эйлер постепенно добавил много собственных результатов: решение Базельской задачи; формулу суммирования Эйлера — Маклорена, которая улучшала сходимость, если таковая наблюдалась; преобразование рядов через конечные и последовательные разности; а также важные открытия в области расходящихся рядов. Фактически, в 1755 году, то есть в эпоху, когда еще не существовало понятие предела, ученый уже различал сходящиеся и расходящиеся ряды. Среди рядов, суммированных Эйлером, мы находим

?/(3?3) = 1 - 1/2 + 1/4 - 1/5 + 1/7 - 1/8 + ...

?/(2?2) = 1 + 1/3 + 1/5 + 1/7 + 1/9 + 1/11 + ...

?/3 = 1 + 1/5 - 1/7 - 1/11 + 1/13 - 1/17 + ...

?2/(8?2) = 1 - 1/32 - 1/52 + 1/72 + 1/92 + ...

?2/(6?3) = 1 - 1/52 - 1/72 + 1/112 + 1/132 + ...

1 -1! + 2! -3! + ... = 0,596347362123...

Он также открыл два новых ряда. Один — данная последовательность степеней:

arxtgz = z - z3/3 + z5/5 + z7/7 + ... ,

а вторым был первый ряд Фурье в истории, который Эйлер описал в 1744 году в письме Гольдбаху, то есть задолго до того, как Жозеф Фурье (1768-1830) начал свои знаменитые исследования. И даже до того, как Фурье родился.

1/2x = sinx - 1/2 sin 2х + 1/3 sin Зx - ...

Вклад Эйлера в теорию чисел огромен, и его подробное изложение не является целью этой книги. Достаточно сказать, что только Карл Густав Якоб Якоби (1804-1851) и Сриниваса Рамануджан Айенгор (1887-1920) могут сравниться с ним по значению своих работ в этой области. Еще одним важным разделом математики, интересовавшим Эйлера, были дифференциальные уравнения. Здесь его самым знаменитым открытием, возможно, является метод Эйлера, позволяющий приближенно решать дифференциальные уравнения первого порядка.

Более 800 000 книг и аудиокниг! 📚

Получи 2 месяца Литрес Подписки в подарок и наслаждайся неограниченным чтением

ПОЛУЧИТЬ ПОДАРОК