ГЛАВА 2 Ряды, постоянные и функции: Эйлер в России

Уже в возрасте 20 лет Эйлер стал членом Петербургской академии наук. Так начался период его математического творчества, которому нет аналогов в истории данной науки. В это время ученый открыл гамма-функцию (Г), дал определение постоянной е и сделал другие важные открытия в анализе и теории чисел, а также нашел решения двух задач, имевшие значительные последствия: Базельской задачи и задачи о мостах Кенигсберга.

Эйлер ехал в Россию без особого энтузиазма: помимо сурового климата, его ждала страна, где пользовались другим алфавитом. Однако это было самой меньшей из трудностей, поскольку Эйлеру легко давались иностранные языки: он хорошо знал латынь, греческий, французский и немецкий и добавил к этому списку еще и русский. Этим Эйлер отличался (в лучшую сторону) от других иностранных членов Академии. Здесь впервые появился заморский ученый, с которым можно было поговорить и чья речь была понятна, которому можно было писать, который потрудился научиться выражать свои мысли на местном языке. К тому же он обладал блестящей эрудицией и огромной любознательностью по отношению ко всему, что его окружало. Получив звание члена Академии картографии — один из многочисленных его титулов, — Эйлер восхищался российскими успехами и делал весьма лестные сравнения с западной картографией, с которой был знаком до этого.

По приезду в Санкт-Петербург он очутился в компании таких талантливых ученых, как Кристиан Гольдбах и Даниил Бернулли, а также других, родом из Германии или говоривших на немецком языке. Изначально Эйлер должен был обучать применению математики и механики в физиологии, но очень скоро молодой преподаватель отделения медицины стал профессором математики (в 1733 году), поработав между делом также и профессором физики (в 1731 году). Этот важнейший для него переход от физиологии к физике произошел благодаря настойчивым обращениям в Академию его коллег Якоба Германа (1678-1733) и Даниила Бернулли.

Работа в Российской академии оказалась для Эйлера чрезвычайно благоприятным периодом: он быстро продвигался по служебной лестнице и завел крепкую дружбу с Даниилом Бернулли и секретарем Академии Кристианом Гольдбахом. Он много писал, постоянно узнавал что-то новое и начинал формировать научный авторитет во всем мире. В 1733 году, когда статус и финансовое положение Эйлера уже позволяли содержать собственный дом и семью, он женился на Катерине Гзель, дочери художника Академии. У них было 13 детей, из которых выжили только пятеро.

ПЕТЕРБУРГСКАЯ АКАДЕМИЯ

Петр I хотел подтолкнуть развитие своей империи с помощью образования и распространения знаний. В результате своих путешествий по Европе, где он подружился с Лейбницем, в 1724-1725 годах Петр решил открыть в столице страны Академию наук (Academia Scientiarum Imperialis Petropolitanae). За образец были взяты правила и структура Парижской академии, которая зависела от государственной поддержки и субсидий. Начальный период работы Академии наук был непростым: к нестабильной политической ситуации в стране — где правили дети, регенты и царицы — добавлялись интриги и подковерная борьба за власть. Все это подтолкнуло Эйлера, обеспокоенного тем, какой оборот принимали события, переехать из Санкт-Петербурга в Берлин, то есть из одной академии в другую.

В 1735 году у ученого возникла серьезная глазная инфекция. Есть мнение, что он заболел из-за стресса, вызванного срочной работой по определению широты Санкт-Петербурга. Так или иначе, Эйлер на некоторое время ослеп на правый глаз. Несмотря на то что зрение постепенно к нему вернулось, спустя три года ученый снова потерял зрение на правом глазу, уже окончательно. Однако, если верить словам, приписываемым

Эйлеру, его дух не был сломлен этим бесповоротным ухудшением зрения: "Так даже лучше, я не буду отвлекаться".

Он производил вычисления без видимых усилий, как другие люди дышат или как парят орлы.

Доминик Франсуа Жан Араго (1786-1853)

В 1738 году он получил Grand Prix Парижской академии — за который также боролись Вольтер и Эмили дю Шатле — за свое эссе об огне. Два года спустя, в 1740 году, Эйлер снова выиграл, обогнав Даниила Бернулли и Колина Маклорена, в этот раз за эссе об отливах и приливах.

ГАММА-ФУНКЦИЯ

Сразу же по приезду в Санкт-Петербург Эйлер одно за другим начал делать открытия, которые оказали огромное влияние на его научную жизнь. Считается, что первым из его моментов славы стало создание функции Г (заглавная греческая буква "гамма*), базового инструмента математического анализа. Намеки на Г появлялись в переписке между Даниилом Бернулли и Кристианом Гольдбахом уже около 1720 года, но только в 1729 году Эйлер впервые дал ей определение, а в 1814 году Адриен Мари Лежандр (1752-1833) ввел обозначение "гамма", записав его так: Г(x). Гамма-функция часто появляется в распределении вероятностей и активно используется физиками.

Обычно ее можно встретить в описании явлений, требующих применения экспоненциальных интегралов, типичных для атомной физики; она также распространена в астрофизике, динамике жидкостей и сейсмологии. Эта функция применяется во многих областях математики, особенно в комбинаторике и, в частности, в анализе дзета-функций Римана, имеющих огромное значение в изучении простых чисел. Целью Эйлера было найти способ интерполяции, как это называлось в то время, заключавшейся в том чтобы, зная крайние значения переменной, вывести ее промежуточные значения естественным образом, не прибегая к искусственным методам. Рассмотрим пример. Так называемый факториал натурального числа л! в арифметике, впервые встречающийся у Кристиана Крампа (1760-1826), равен

n! = n(n - 1)(n -2) · ... · 3 · 2 · 1,

то есть является произведением всех натуральных чисел, меньших или равных л. Факториал — чрезвычайно быстро растущая функция, как видно из следующей таблицы.

n n! 0 1 1 1 2 2 3 6 4 24 5 120 6 720 7 5040 8 40 320 9 362 880 10 3628 800 100 9,3326215444 · 10157 1000 4,0238726008 · 102567 10000 2,8462596809 · 1035659 100000 2,824229408 · 10456573

Факториал определен только для натуральных чисел; последовательность факториала прерывна. Интерполировать факториал означает продлевать его, пока не найдется непрерывная функция f(x) которая равна n!, когда значение х равно значению натурального n.

Почти банальным примером является понятие квадрата числа. Пусть дано натуральное число n, его квадрат будет равен n2 = n · n. Его можно интерполировать на любое вещественное число х, просто записав f(x) = х2. Эйлер интерполировал факториал n! и в 1729 году нашел непрерывную функцию f(x), которая вела себя как факториал, когда x = n был натуральным числом. Мы будем называть ее Г(х), что, собственно, и является ее современным обозначением. Эйлер определил значение

Г(x) в каждой точке посредством того, что сегодня мы бы назвали пределом:

Г(x) = limn??(n!nx)/(x (х+1)(х+2)...(х+n).

Сейчас вместо этого выражения используется интегральный вид:

Г(x) = ?0? е-ttz-1dt.

Он более прост, с ним легче работать, и к тому же он действителен в области комплексных чисел. При глубоком изучении Г(х) из нее можно получить огромное количество интереснейших для математиков формул, например

Г(1 - z)Г(z) = ?/sin(?z),

которая связывает гамма-функцию с числом ? и тригонометрическими функциями.

ДРУГИЕ ФОРМЫ ГАММА-ФУНКЦИИ

Определить Г(х) можно разными способами. В XIX веке была особенно популярна формула Карла Вейерштрасса (1815-1897), в которой используется постоянная Эйлера (она обозначается буквой у" тоже "гамма", но строчная):

Г(z) = e-?z/z ?n=1?(1 + z/n)-1ez/n

Для этой функции верно:

Г(1)=1

Г(1 + х) = хГ(х).

При помощи гамма-функции выводится знаменитая формула Стирлинга (1692-1770), которая считается образцом красоты символов, поскольку в ней гармонически сочетаются постоянные ?,е и число n:

n! = ?(2?n)(n/e)n

И наконец, скажем о связи между гамма и дзета-функцией ?(z). Последняя имеет огромное значение в теории чисел, в частности в интереснейшей области простых чисел:

?(z)Г(z) = ?0?tz-1/(et-1)dt.

БЕТА-ФУНКЦИЯ

Изучая гамма-функцию, Эйлер натолкнулся на еще одну, получившую название "бета" и обозначенную буквой В. Она также очень полезна в области анализа, и ее можно определить разными способами. Один из них — с помощью интеграла:

при условии, что действительные части х и у являются положительными. Еще один способ состоит в использовании гамма-функции, которую мы определили выше:

В(х,у) = Г(x)Г(y)/Г(x+y).

ЧИСЛА ФЕРМА

После изучения гамма- и бета-функций Эйлер занялся теорией чисел, вдруг резко изменив направление своей научной работы, что было для него весьма характерным. В частности, его привлек вопрос, который за век до того оставил нерешенным французский ученый Пьер Ферма (1601-1665).

МАТЬ ВСЕХ ФУНКЦИЙ

Дзета-функция — королева всех математических функций, она привлекает наибольшее внимание специалистов, и ей посвящено наибольшее количество сайтов в интернете. Ее название происходит от греческой буквы ? (дзета), и в первый раз ее использовал Эйлер в решении так называемой Базельской задачи, принесшей ему известность. Эйлер доказал, что бесконечная сумма обратных квадратов равна ?2/6:

1 + 1/22 + 1/32 + 1/42 + ... + ?2/6,

а затем обобщил этот результат, рассмотрев подробнее следующую функцию:

?(x) = 1 + 1/2x + 1/3x + 1/4x + ...

Она может принимать любое значение х из области R вещественных чисел. Эйлер вычислил множество значений дзета-функции, но прямой метод нахождения этих бесконечных сумм неизвестен и по сей день. Сам Эйлер открыл способ приведения бесконечной суммы ? к конечному результату, получив, благодаря легкости обращения с алгебраическими формулами, выражение

?(x) = ?n=1?1/ns = ?k=1?1/(1 - 1/pks),

где рk пересекают исключительно область простых чисел. Так обнаружилась неожиданная связь дзета-функций с этими числами. При помощи инструментов анализа дзета-функцию можно перенести в комплексную область, если брать значения s не из области R (то есть вещественных чисел), а из комплексной области С. Впервые дзета-функцию до этой области расширил и изучил великий немецкий математик Бернхард Риман (1826-1866). Сегодня эта функция известна как дзета-функция Римана, и с ней связана так называемая гипотеза, или проблема Римана: невероятное предположение, которое до сих пор не было доказано и считается одной из главных нерешенных задач современной математики. Гипотеза Римана входит в число семи проблем тысячелетия, за решение каждой из которых Институт Клэя в качестве приза выплатит один миллион долларов.

Связь между Эйлером и Ферма была очень тесной. Если мы проследим научные изыскания Эйлера в теории чисел, то увидим, что в основном он пытался решить одну за другой оставленные без ответа задачи Ферма. Это было непросто, поскольку французский ученый редко записывал свои вопросы отдельно, а обычно делал комментарии прямо в книгах, которые читал и анализировал. Он любил бросать вызов своим коллегам, задавая им задачи, которые сам уже решил.

Один из самых интересных вопросов из наследия Ферма — числа, которые были названы его именем, числа Ферма. Они обозначаются буквой F и определяются формулой

Fn = 22n +1.

При n = 0,1,2,3,4 получим

F0 = 220 + 1 = 21 + 1 = 3

F1 = 221 +1 = 22 + 1 = 4 + 1 = 5

F2 = 222 + 1 = 24 + 1 = 16 + 1 = 17

F3 = 223 + 1 = 25 + 1 = 256 + 1 = 257

F4 = 224 + 1 = 216 + 1 = 65 536 + 1 = 65 637.

Все они являются простыми числами. Следующее число Ферма выглядит так:

F5 = 225 + 1 = 232 +1 = 4 294 967 296 + 1 = 4 294 967 297.

Было бы логично предположить, что оно, как и предыдущие, является простым. По стандартам того времени более рискованно, хотя и не намного, было выдвинуть гипотезу (как сделал Гольдбах) о том, что все эти числа простые, подтверждая тем самым мнение самого Ферма. Гольдбах сообщил Эйлеру об этой задаче в 1729 году, а в 1732-м тот уже нашел ее решение: F5 — не простое число, а составное:

F5 = 4 294 967 297 = 641 • 6700 417.

Первой реакцией на этот результат было изумление. Ведь чтобы провести факторизацию этого числа, деля его на 2,3,5,7, 11,13 и так далее, продолжая перебирать бесконечную последовательность простых чисел, требовались колоссальные усилия.

ПЬЕР ДЕ ФЕРМА

Ферма был юристом по профессии и занимался математикой исключительно как хобби, за что получил прозвище "король любителей". Он внес решающий вклад в создание аналитической геометрии, а также в развитие теории вероятностей и оптики, изучал отражение и преломление света и отнес эти явления к максимумам и минимумам, заложив таким образом основы дифференциального исчисления. Наибольшую известность Ферма принесли его исследования о теории чисел, в которых ярко проявились его удивительные способности и необычные методы работы. Обычно он не записывал свои рассуждения отдельно, а делал, пока хватало места, пометки на полях книг, которые читал. Всемирной известностью он обязан появлению теоремы, гласящей, что "для n > 2 не существует таких целых положительных чисел х, у, z, не равных нулю, для которых справедливо хnn=zn". Она известна как Великая теорема Ферма, и долгое время у нее не было доказательства. Ферма утверждал — хотя, вполне возможно, ошибочно, — что однажды во время чтения он нашел превосходное доказательство, но на полях книги не было достаточно места для его записи. Теорема была доказана в 1995 году Эндрю Уайлсом.

Если же рассмотреть приемы Эйлера подробней, можно понять его метод и, одновременно с этим, гениальность ученого. Постепенно, следуя по скользкому пути деления, Эйлер пришел к выводу — совсем не простому,— что любой делитель F5 должен иметь вид 64n + 1. Таким образом, ему больше не надо было проверять один за другим все простые делители, а только числа 65 (n = 1), 129 (n = 2), 193 (n = 3) и так далее, вычеркивая те, которые простыми не являлись. При n - 10 подсчеты дают 64 -10 + 1 = 641, что является точным делителем.

На сегодняшний день не найдено ни одного другого простого числа Ферма. Все новые, что нам известны,— это составные числа. Было доказано, что начиная с F5 до F32 — а это огромное количество — нет ни одного простого числа. Но это не означает, что они никогда не будут обнаружены. Вопрос об их существовании — всего лишь гипотеза, а в математике гипотезы считаются верными или ложными, только если находится их доказательство или опровержение.

КРЕЩЕНИЕ ЧИСЛА

Параллельно с работой над числами Ферма и все так же в рамках обширной переписки с Гольдбахом Эйлер дал имя математической константе, которая, как мы уже говорили в предыдущей главе, впоследствии стала основой его исследований по теории чисел: это постоянная е. Впервые она появилась под таким обозначением в одном из писем 1731 года. Вне всяких сомнений, это самая известная постоянная после л. Ее приблизительное значение следующее:

е=2,71828182845904523536028747135266249775724709369995...

Сегодня известно более триллиона знаков е после запятой. Хотя Эйлер дал постоянной имя и использовал ее в самых разных областях, он не был ее первооткрывателем в строгом смысле этого слова: е появилась гораздо раньше, но под другим именем и "в тайне", как мы увидим ниже.

Число е родом из области логарифмов, как подчеркивал Эйлер. Эта связь, которую мы подробнее рассмотрим в приложении 1, ускользала от математиков на протяжении века. В защиту современников Эйлера можно сказать, что постоянная е с течением времени зарекомендовала себя как особенно неуловимая.

Одним из первых к ней приблизился Грегуар де Сен- Венсан (1584-1667), который в 1647 году обнаружил равностороннюю гиперболу, соответствующую уравнению у - 1/x, ее график в декартовой системе координат изображен на этой странице. Сен-Венсан вычислил площадь между 1 и любой другой точкой t на горизонтальной оси говоря современным языком, это площадь криволинейной трапеции между 1 и t.

Таким образом, получается, что

?1t(1/x)dx = lnt,

и при t = е мы имеем Int - Ine = 1. Следовательно, e равно значению на горизонтальной оси X, для которого площадь, указанная на графике, равна 1. Это определение впоследствии дал ей сам Эйлер, Сен-Венсан же так и не пришел к нему.

Христиан Гюйгенс (1629-1695) тоже не обратил на число е большого внимания, хотя в одном из рассуждений ему пришлось вычислить 17 знаков его десятичного логарифма. Но поскольку он был сконцентрирован на другом вопросе, то также проигнорировал число е.

Не прошел мимо него Якоб Бернулли, хотя он приблизился к е не через логарифмы, а следуя другому, более "земному" пути. В 1683 году Бернулли начал изучать сложные проценты по вкладу капитала. Мы можем проследить за его шагами, используя современную терминологию. Если мы делаем вклад, равный С, под годовой процент i, то в конце года сумма будет равна

C+Ci-C(1 + i).

Если бы проценты подсчитывались два раза в год, а не один, то надо было бы разделить их на 2 и начислять деньги дважды. За один год сумма капитала и процентов стала бы равна

C + Ci/2 + (C + Ci/2)i/2 = C(C + i/2) + C(1 + i/2)i/2 =

= C(1 + i/2)(1 + i/2) = C(1 + i/2)2

Если повторить эту операцию n раз, то, следуя этой модели, капитал будет равен

C(1 + i/n)n.

При бесконечном повторении этой операции проценты будут начисляться каждое мгновение, и, используя современное понятие предела (независимо от величины i она не имеет значения в данной задаче), мы пришли бы к пределу

limn??(1 + 1/n)n.

При проверке предела необходимо установить, что он существует и что к его значению можно приблизиться при помощи простого вычисления.

n (1 + 1/n)n 1 2 2 2,25 3 2,37037 4 2,44141 5 2,48832 10 2,59374 100 2,70481 1000 2,71692 10000 2,71815 100000 2,71827 1000000 2,71828

Якоб Бернулли без помощи современных вычислительных инструментов дошел до первых строк этой таблицы. Это поразительный результат для математики той эпохи. По его подсчетам, предел был бы между 2 и 3. Сегодня мы знаем, что

limn??(1 + 1/n)n = e.

Так Якоб Бернулли одновременно нашел е — хотя и не он дал постоянной это имя — и впервые в истории сделал открытие, применив неизвестное до того времени понятие предела. К сожалению, и в этот раз постоянная е осталась без надлежащего признания, поскольку Якоб не связал ее с логарифмами. Число е обрело свое первое имя в 1690 году, когда Лейбниц обозначил его буквой b в письме Гюйгенсу. С этого момента переменная начала существовать. Ей наконец дали имя, хотя и не окончательное. Открытие связи постоянной с логарифмами было вопросом времени, и этот медленный процесс завершился, как мы уже сказали, в 1731 году, в письме Эйлера Гольдбаху.

ЧИСЛО И ШЛЯПЫ

Якоб Бернулли занялся константой е не только с целью решить задачу о процентных ставках. На ее изучение ученого подвиг ребус, а точнее задача о теории вероятностей и шляпах. Пьер Ремон де Монмор (1678-1719) и Якоб Бернулли столкнулись со следующей загадкой: на бал съехалось N гостей. Они сдали свои шляпы лакею. Для них были приготовлены специальные коробки с этикетками, чтобы не перепугать владельцев. Но в последний момент лакей, назначенный ответственным за шляпы, заболел, и его заменили другим, который, не зная приглашенных, положил шляпы в коробки как придется. Проблема возникает, когда гости разъезжаются и лакей отдает им шляпы. Некоторые получат свои, другие — нет. Какова вероятность того, что произойдет полная катастрофа и ни одна шляпа не будет возвращена своему законному владельцу? Ответ таков:

Pn = 1 - 1/1! + 1/2! - 1/3! + ... + (-1)N/N!

Эта величина очень похожа на сумму с пределом е. Действительно, ее пределом является 1/е. Если же гостей очень много, то есть N — большое число, то

PN = 1/e = 36,79 %.

С этого момента, в частности в серии статей, написанных начиная с 1736 года, Эйлер официально называл ее постоянной. Он дал ей определение и связал предел Якоба Бернулли с логарифмами, которым он также дал современное определение. Эйлер принял е за основу натуральных логарифмов и таким образом обессмертил ее, вычислив первые 18 цифр — возможно, с помощью прямой суммы первых 20 членов ряда, который он же сам и обнаружил:

e = 1 + 1/1! + 1/2! + 1/3! + ...

Если это так, то этот подвиг Эйлера можно считать невероятным, почти невозможным. Тем не менее ученый часто выказывал сверхчеловеческие вычислительные способности, и многие склонны верить, что он прибег именно к этому методу.

О том, почему Эйлер выбрал именно букву е, высказывалось множество версий. Несмотря на самые распространенные из них, здесь нет связи со словом "экспонента" на немецком языке или с первой буквой его собственного имени. Есть предположение, что изначально ученый хотел обозначить постоянную через а, но она уже была занята другой величиной в его вычислениях. В любом случае, Эйлер так и не объяснил причины своего выбора.

Большая часть сведений о е содержится в его шедевре "Введение в анализ бесконечных", написанном в Берлине и изданном в 1748 году. В нем Эйлер окончательно установил, что логарифм и возведение в степень являются обратными друг другу операциями, то есть

у - аx тогда и только тогда, когда x-logay.

Эта формула истинна для любого основания а, в том числе для а = е. Есть еще один аспект, который относится к области анализа и возведению в степень с основанием е, — функция ?(x) = еx совпадает со своей производной:

deх/dx = ex.

Постоянная е — трансцендентное число, то есть его нельзя получить, решая алгебраическое уравнение с рациональными коэффициентами. Для доказательства трансцендентности какого-либо числа в первую очередь надо проверить его на иррациональность (число называется иррациональным, когда его нельзя выразить в виде соотношения двух целых чисел). Это совсем не простая задача, и Эйлеру это не удалось. Тем не менее он подошел довольно близко к правильному решению, найдя следующую непрерывную дробь:

Получив доказательство того, что эта дробь бесконечна, он показал:

(е-1)/2

является иррациональным числом. Наконец, в 1873 году Шарль Эрмит (1822-1901) доказал трансцендентность числа е.

Помимо полученного Эйлером, часто встречаются и такие записи числа е в виде дроби:

В последнее время в области теории чисел наблюдается возрастание интереса к вопросу о нормальности постоянных. Является ли е нормальным числом? В этом случае "нормальность" означает, что цифры в записи числа е сохраняют статистическое равновесие: если взять произвольное число, или пару чисел, или тройку и так далее, то вероятность того, что они появятся в записи числа е, всегда одна и та же.

То есть существуют нормальные и анормальные постоянные, но е кажется нормальным числом. Так или иначе, это всего лишь гипотеза, которую до сих пор никому не удалось доказать.

Арки колледжа святой Терезы (вверху) архитектора Антонио Гауди в Барселоне и Арка в Сент- Луисе (в середине) — примеры перевернутой традиционной цепной линии, образованной подвесными тросами (внизу). Формула этой линии содержит число е.

МНЕМОНИЧЕСКИЕ УПРАЖНЕНИЯ С ЧИСЛОМ у

Существует математический вид спорта, который состоит в том, чтобы произнести наибольшее количество знаков после нуля какой-либо константы. Поскольку заучивать их, просто напрягая память, может быть скучно, для этого используются специальные фразы или стихи (mnemonics по-английски). Количество букв в каждом слове соответствует числовой последовательности, которую надо запомнить.

Например, название стихотворения "С десятью пушками по стороне" испанского поэта Хосе де Эспронседа можно соотнести с последовательностью 17727.

с десятью пушками по стороне 3 4 7 3 5

Это гораздо проще запомнить, чем само число, поскольку у слов есть смысл. Стало очень модно заучивать цифры числа к. Фразы для запоминания знаков числа е встречаются реже, но они тоже очень любопытны. В интернете можно найти такой вариант:

We present a mnemonic to memorize a constant so exciting that Euler exclaimed: '!' when first it was found, yes, loudly '!'. My students perhaps will compute e, use power or Taylor series, an easy summation formula, obvious, clear, elegant!

[1 Мы представляем мнемоническое упражнение на запоминание такой восхитительной постоянной, что Эйлер воскликнул: '!', когда впервые открыл ее, да. громко воскликнул '!'. Мои студенты, возможно, вычислят е. используют свои силы или ряды Тэйлора, простую формулу сложения, ясную, четкую, элегантную! (В данном случае подсчет действителен только для фразы на английском. — Примеч. ред.)]

Знак"!"обозначает ноль. Если мы сосчитаем количество букв в словах, то получим следующую последовательность:

271828182845904523 536028 747135 266249 7757,

которая соответствует первым 40 цифрам числа е.

ПОСТОЯННАЯ ЭЙЛЕРА — МАСКЕРОНИ

Существуют три математические константы, которые резко выделяются на общем фоне и так или иначе связаны с Эйлером. Первая — это знаменитое число я, вторая — е. Третья обозначается греческой буквой у, и хотя Эйлер выделил ее уже в 1734 году, через три года после нахождения числа е, он делит это открытие с итальянским математиком Лоренцо Маскерони, так что у называют постоянной Эйлера —Маскерони. По мнению некоторых специалистов, это не совсем справедливо, поскольку самая большая заслуга Маскерони состояла в том, что в 1790 году он вычислил 32 ее знака, сделав при этом три ошибки: в 19-м, 20-м и 21-м знаках.

? — сугубо арифметическая константа. Если мы рассмотрим древний гармонический ряд

?n=1?1/n = 1 + 1/2 + 1/2 + 1/4 + ... + 1/n + ...,

то увидим, что он расходится, то есть предел его суммы стремится к ? (первое строгое доказательство этого приписывается Якобу Бернулли).

Эйлеру пришла в голову мысль сравнить возрастание этого расходящегося ряда с In n. Если провести вычитание

?n=1?1/k = ln(n)

шаг за шагом, мы получим:

1 - ln1 = 1

1 + 1/2 - ln2 = 0,8068528...

1 + 1/2 + 1/3 - ln3 = 0,734721...

1 + 1/2 + 1/3 + 184 - In4 = 0,6970389...

Эта разность стабилизируется и в пределе дает постоянную величину:

? = limn??[?k=1n1/k - ln n] = 0,57721566...

Целью Эйлера было найти способ описать степень роста гармонического ряда, и ученый пришел к заключению, что он логарифмический. Он обозначил эту постоянную заглавной буквой С, а знак греческой буквы ?, видимо, ввел Маскерони (1790). В 1736 году Эйлер высчитал 19 цифр этой постоянной, используя собственную формулу, так называемые числа Бернулли, Bn; если бы он попытался классическим путем сложить значения гармонического ряда и вычесть логарифм, то потерпел бы поражение, даже несмотря на то что был гением в вычислениях: ряд сходится слишком медленно.

Немецкий ученый Вейерштрасс открыл, что определение Г(х), предложенное Эйлером, дает производную

Г’(1) = -?,

что позволяет установить неожиданную связь между гамма- функцией и постоянной Эйлера — Маскерони.

О константе ? почти ничего неизвестно, мы даже не знаем, рациональное это число или иррациональное и, разумеется, трансцендентное ли оно. Нам известно только, что если оно окажется рациональным — а большинство специалистов в это не верят, — то его знаменатель будет состоять из 244 663 цифр десятичной системы исчисления. Если воспроизвести это число, оно займет почти всю эту книгу.

Постоянная ? часто используется в анализе (например, в так называемых функциях Бесселя), а также в квантовой механике, особенно в перенормировке диаграмм Фейнмана, имеющих фундаментальное значение в электродинамике.

Однако не нужно далеко ходить, чтобы обнаружить ?. Если мы начнем собирать наклейки, прилагающиеся к жвачкам или шоколадкам, то наше хобби будет совершенно эйлеровским. Если в коллекции всего n наклеек, нам придется купить примерно N товаров, чтобы собрать их все:

N = n(1 + 1/2 + 1/3 + ... + 1/n).

ЛОРЕНЦО МАСКЕРОНИ

Первым призванием Лоренцо Маске- рони, итальянского священника и математика (1750-1800), была поэзия.

Он не был горячим сторонником ни одной из существовавших тогда политических партий, но в общем его можно было охарактеризовать как франкофила. Поэтому в 1797 году его назначили депутатом в Милане, а затем отправили в Париж для разработки новой десятичной метрической системы вместе с Лежандром. Маске- рони больше не смог вернуться в Милан, оккупированный австрийскими войсками, и умер на следующий год.

В 1797 году он опубликовал свой шедевр в стихах — "Геометрия циркуля", — посвященный его другу Наполеону, который тоже увлекался математикой, о чем свидетельствует теорема, названная его именем.

В этой работе Маскерони доказал, что строгое требование древних греков делать геометрические построения только с помощью линейки и циркуля не такое уж обязательное: достаточно одного циркуля. Этот тезис, сегодня кажущийся нам очевидным, был удивительным для того времени. Первым это открытие сделал и опубликовал в Euclides Danicus ("Датский Евклид") в 1672 году датский ученый Георг Мор (1640-1697), но Маскерони об этом не знал. Свое право на бессмертие в математике Маскерони завоевал с помощью Эйлера своей книгой Adnotationes ad calculum integrate Euleri ("Заметки к интегральному исчислению Эйлера"), в которой нет существенных открытий, но содержится знаменитая постоянная ?. С этого момента у стала называться постоянной Эйлера — Маскерони.

В книге Маскерони содержится знаменитая задача Наполеона (считается, что сам Наполеон предложил ее математику). Она состоит в том, чтобы в данной окружности определить вершины квадрата, используя только циркуль.

Если мы попробуем решить эту задачу простым сложением, а наклеек достаточно много, то на это уйдет слишком много времени, и ошибок не избежать, даже используя калькулятор. Лучше применить способ Эйлера и сложить только два слагаемых:

1 + 1/2 + 1/3 + ... + 1/n = ? + ln n.

ПОСТОЯННАЯ у И ПРОСТЫЕ ЧИСЛА

Постоянная у встречается гораздо реже, чем я или е. Несложно найти формулу, которая связывает все три постоянные:

Сам Эйлер тоже нашел взаимосвязи между у и дзета-функцией:

Существуют также формулы, связывающие напрямую ус простыми числами, как, например, формула Франца Мертенса (1840-1927):

где р — простые числа. Таким образом, в ней задействованы у, дзета- функция и простые числа. Нет сомнений, что третья постоянная Эйлера имеет большое значение, которое со временем будет только возрастать.

Логарифм можно вычислить на калькуляторе, а ? в данном случае можно округлить до 50 знаков:

0,57721566490153286060651209008240243104215933593992...

Можно привести еще один, более абстрактный пример: чтобы узнать, сколько делителей п в среднем есть между 1 и n, можно использовать выражение In n + 2? - 1. Это приближение становится тем точнее, чем больше значение я и чем больше у него делителей.

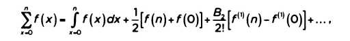
ФОРМУЛА ЭЙЛЕРА — МАКЛОРЕНА В ДЕТАЛЯХ

Формула Эйлера — Маклорена может произвести пугающее впечатление. Обычно она записывается так:

где Вk — числа Бернулли, a f(x)— производные от f. Применение формулы состоит в том, что из правой части можно получить значения даже медленно сходящихся рядов. Эйлер использовал этот трюк в решении Базельской задачи, как мы увидим ниже.

СУММА, КОТОРАЯ СУММИРУЕТ НЕСУММИРУЕМОЕ

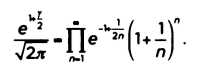
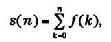
В 1735 году, во время своего первого российского периода, Эйлер сделал последнее из своих важных открытий в области анализа. Он вывел полезнейшую формулу, которая позволяет получать приблизительное значение интеграла, заменяя его на сумму, или приблизительное значение суммы, заменяя ее на интеграл. Независимо от Эйлера ее также открыл шотландский ученый Колин Маклорен. Так называемая формула Эйлера — Маклорена работает следующим образом: пусть дана функция f(x). Когда говорят о ее сумме, обычно имеют в виду две части, связанные между собой, но разные. Если использовать целые значения, то получится сумма

а когда ее складывают по всем х, получается интеграл:

i(n) = ?0n?(x)dx.

Кажется очевидным, что между s(n) и i(n) существует связь, но первая является дискретной суммой, а вторая — непрерывной. Формула Эйлера — Маклорена во многих случаях позволяет перейти от одной к другой. Если мы знаем s(n), то можем получить значение i(n), а если знаем i(n), можем высчитать s(n).

БАЗЕЛЬСКАЯ ЗАДАЧА: НАЧАЛО

По приезду в Петербург Эйлер получал 300 рублей, которых хватало на оплату проживания, дров для камина и масла для ламп. После того как он сменил Даниила Бернулли на посту профессора математики в 1733 году, Академия подняла его жалованье до 600 рублей. В том же году эта сумма еще увеличилась: Эйлер начал давать частные уроки и по предложению барона фон Мюнниха работать председателем экзаменационной комиссии в местной кадетской школе. Стабильное финансовое положение, сложившееся благодаря его новым обязанностям, позволило Эйлеру жениться на Катерине Гзель, дочери Георга Гзеля, художника швейцарского происхождения, работавшего в Академии искусств по особому приглашению Петра I. Церемония бракосочетания прошла 27 декабря 1733 года, после чего молодожены переселились в деревянный дом, "превосходно обставленный", по словам самого Эйлера, на Васильевском острове, недалеко от Академии наук. Через год у них родился первенец, Иоганн Альбрехт. Его крестным отцом стал фон Корф, бывший в то время президентом Академии. Этот факт свидетельствует о большом уважении, с которым относились к Эйлеру, что неудивительно, учитывая его огромный вклад в науку. Но это было еще не все. Буквально год спустя, в 1735-м, Эйлер поразил математическое сообщество гениальным озарением: он нашел решение Базельской задачи.

В англосаксонских странах очень любят составлять рейтинги из десяти пунктов. Существует множество книг и телевизионных программ, посвященных десяти лучшим представителям в какой-либо области. В рамках этой традиции были созданы списки научных работ, классифицированные по изяществу, влиянию на повседневную жизнь или по интеллектуальной сложности. В числе прочих был сделан список лучших достижений Эйлера. В случае с другими учеными это часто невозможно, поскольку на такой список попросту не хватит материала, но с Эйлером такой опасности нет: его открытий будет достаточно и на более длинный список. Итак, что же стоит на первом месте? Это формула

?2/6 = 1 + 1/22 + 1/32 + 1/42 + ...

в которой содержится решение Базельской задачи. Ее происхождение неизвестно, но она вполне закономерна. Зная, что такое гармонический ряд, то есть ряд, соответствующий сумме членов, обратных числам

1 + 1/2 + 1/3 + 1/4 + ...

и зная, что он расходится, логично задаться вопросом о сумме обратных квадратов, которые кажутся сходящимися, однако к какому конкретному числу — неизвестно:

1 + 1/22 + 1/32 + 1/42 + ... = 1,644934.

Не существовало ни малейшей догадки по этому вопросу. Если попробовать сложить тысячи чисел из этого ряда, будет ясно: сумма приближается к определенному числу, но в то же время настолько медленно, что практически невозможно не округлить его до сотых. Считается, что впервые о Базельской задаче упомянул итальянский священник и математик Пьетро Менголи (1626-1686), а Эйлеру о ней рассказал Иоганн Бернулли. Уже в 1729 году ученый говорил о задаче в письме Гольдбаху. В 1730 году эта задача занимала мысли всех математиков и привлекала их так же, как впоследствии — Великая теорема Ферма. Эйлер приступил к ней с таким энтузиазмом, что нашел несколько вариантов решения. Все они необыкновенно изобретательны, а некоторые являются идеалом для специалистов по анализу, особенно решение, опубликованное в 1741 году, в котором используется техника интегрального исчисления. Классическое же решение эксперты называют "третьим": оно наиболее изящное с точки зрения неподготовленного читателя. Мы немного поговорим о нем в приложении 2.

Недавно я нашел, и совсем неожиданно, изящное выражение для суммы ряда, зависящего от квадратуры круга... А именно, шестикратную сумму этого ряда равной квадрату периметра круга, диаметр которого 1.

Эйлер

Решение Базельской задачи стало неожиданностью для научного сообщества, и новость об этом разлетелась по свету. Мир в то время был довольно небольшим, мир образованных людей — еще меньше, а способы сообщения, кроме почты, труднодоступны.

Эйлер подготовил почву для решения, проведя предварительные вычисления и прочие операции. Например, сначала он использовал промежуточные суммы, как в методе Эйлера — Маклорена, чтобы получить более точное число, чем 1,64. Благодаря своему уму Эйлер нашел шесть точных цифр, и его отправной точкой стало число:

1 + 1/22 + 1/32 + 1/42 + ... = 1,644934.

С другой стороны, от Эйлера, для которого возводить в различные степени число л было обычным делом и обладавшего необыкновенной памятью, не могло ускользнуть, что 1,644934 очень похоже на ?2/6. Следовательно, мы можем предположить, что, вступая на этот тернистый путь, Эйлер уже знал, к чему он придет. Ни один его современник не обладал таким преимуществом. Гениальность Эйлера позволила ему обойтись без сложения около 3000 членов исходного ряда.

БАЗЕЛЬСКАЯ ЗАДАЧА: КОНЕЦ

Решив Базельскую задачу, Эйлер не остановился на достигнутом. Вернемся к дзета-функции из предыдущей главы:

?(x) = 1 + 1/2x + 1/3x + 1/4x + ... + 1/nx + ...

При х - 1 мы получаем гармонический ряд, а при х - 2 — ряд из Базельской задачи. Эйлер углубил этот вопрос и на основе своих размышлений над Базельской задачей получил следующие выражения для ряда степеней:

?(4) = 1 + 1/24 + 1/34 + 1/44 + ... + 1/n4 + ... = ?4/90

?(6) = 1 + 1/26 + 1/36 + 1/46 + ... + 1/n6 + ... = ?6/945

?(8) = 1 + 1/28 + 1/38 + 1/48 + ... + 1/n8 + ... = ?8/9450

?(10) = 1 + 1/210 + 1/310 + 1/410 + ... + 1/n10 + ... = ?10/93555

до ?(26) со все более сложными формулами, где n всегда стояло в степени л, соответствующей ?(n). В 1739 году Эйлер пришел к общему выражению:

?(2n) = (-1)n+1 (2?)2nB2n/2·(2n)!,

в котором содержались числа Вк, числа Бернулли (о них мы поговорим в главе 4). Постепенно они становятся все больше и ими все труднее оперировать; для примера достаточно записать пятидесятый член:

?(50) = 39 604 576 419 286 371866 998 202?60/285 258 771457 546 764 463 363 635 252 374 414183 254 363 234 375

ПЕРВАЯ КОМПЬЮТЕРНАЯ ПРОГРАММА В ИСТОРИИ

Ада Байрон (1815-1852), впоследствии вышедшая замуж за Уильяма Кинга и ставшая известной как Ада Кинг, графиня Лавлейс, была дочерью лорда Байрона. Однако она никогда не знала отца, поскольку родители развелись меньше чем через месяц после ее рождения. Аде ничто не мешало развивать математические способности, так как ее мать считала математику мощным противоядием от возможных склонностей к литературе: глубокая ненависть к бывшему мужу и его работе сопровождала ее всю жизнь. Главную роль в научной деятельности Ады сыграл знаменитый математик Чарльз Бэббидж (1791-1871), создатель первого компьютера в истории. Ада же сделала для этой машины рекурсивный алгоритм, который позволял вычислять числа Бернулли. С точки зрения информатики процедура, придуманная Адой, является самой настоящей компьютерной программой, первой в истории. В 1980-х годах министерство обороны США в честь женщины-ученого дало имя АДА универсальному языку программирования по стандарту MIL-STD-1815 (номер соответствует году рождения Ады).

Вычислительная машина Чарльза Бэбиджа, для которой Ада Кинг создала программу для вычислений чисел Бернулли.

Действительно, первое программное обеспечение в истории (то есть первая программа для автоматических вычислений компьютером) находило числа Бернулли рекурсивным методом. Его создала Августа Ада Кинг, графиня Лавлейс, в 1843 году для механического компьютера Чарльза Бэббиджа, и оно действительно оказалось безупречным с точки зрения информатики. Нечетные значения ?(n) очень трудно вычислить, и даже сегодня над ними продолжают работать. Очевидно, что первое из них совпадает с гармоническим рядом

?(1) = 1 + 1/2 + 1/3 + ... = ?.

Третье число, иррациональное, было названо постоянной Апери:

?(3) = 1 + 1/23 + 1/33 + 1/43 + ... + 1/n3 + ... = 1,2020569...

Эйлер сделал еще один шаг вперед, фактически в будущее. Он еще больше углубился в изучение дзета-функций и, следовательно, в область простых чисел, преобразовывая бесконечную сумму своей функции ?(n) в результат, включающий простые числа. Желающие могут проследить за рассуждениями Эйлера более подробно в приложении 3.

МОСТЫ КЕНИГСБЕРГА

В начале 1735 года Эйлер серьезно заболел. Из источников, которыми мы располагаем, невозможно установить природу этой болезни, мы знаем только, что у него поднялась такая высокая температура, что он находился между жизнью и смертью. После выздоровления Эйлера поздравил от себя и от имени математиков всего мира Даниил Бернулли, признавшись: "Никто уже не надеялся, что он поправится". После этого случая у Эйлера ухудшилось зрение на правом глазу, а три года спустя он полностью на него ослеп. Тем не менее ученый продолжил работать в таком же ритме и год спустя занялся задачей, совершенно отличной от тех, что он решал до этого, — проблемой мостов Кенигсберга. Некоторые математики считают ее решение вершиной научных открытий Эйлера. Дело в том, что эта геометрическая задача не кажется геометрической, поскольку не содержит ни одной известной фигуры или каких-либо величин; в ней даны только определенные линии и точки, и рассуждать можно только о том, как дойти от одной до другой. Это необычная задача о необычном предмете.

Гравюра, Кенигсберг во времена Эйлера, на которой выделены семь мостов.

Кенигсберг, стоящий на берегу Балтийского моря, во времена Эйлера был частью Восточной Пруссии. Сегодня этот город называется Калининградом, он увеличился в размерах и находится на территории России, в географическом анклаве между Польшей и Литвой, образованном в результате войн.

Через город протекала река Преголя, притоки которой образовывали остров и делили город на три части, соединенные семью мостами, по которым жители могли переходить реку, как видно на рисунке на предыдущей странице. В таком идиллическом городском пейзаже можно было проложить множество разных маршрутов, но некоторые жители задались вопросом, можно ли создать замкнутую траекторию, то есть такой маршрут, который начинался бы и заканчивался в одной и той же точке так, чтобы при этом нужно было проходить всего один раз по каждому мосту. Это был математический вызов. Мостов было всего семь, а возможных маршрутов — несколько тысяч. Но абсурд ситуации заключался в том, что, по какому бы пути вы ни пошли, из какой бы точки ни стартовали, проходя всего один раз по каждому мосту, вы оказываетесь каждый раз не там, откуда начали. Многие стали сомневаться (и довольно справедливо) в том, что искомый маршрут существует, как замок в книге Кафки. Во времена Эйлера ученые нередко задавали себе подобные загадки. Если, не без помощи удачи, решение находилось, это могло привести к появлению новых математических теорий. Гораздо реже такие задачи открывали дорогу новой, благодатной и плодотворной области науки, и именно это случилось с задачей о мостах Кенигсберга. Исходя из схематичного плана города (рисунок 1 на следующей странице), Эйлер решил абстрагироваться от формы всех его составляющих и заменить их графом так, чтобы точки на суше стали вершинами, а мосты — путями (см. рисунок 2). Работая с получившимся графом, Эйлер пришел к своим выводам.

ГРАФЫ

Граф — это рисунок в виде сети, состоящий из двух элементов: точек, называемых узлами или вершинами, и связей между ними — дуг или ребер. Степень узла — это количество исходящих из него дуг. Путь, по которому идет пешеход, будет называться эйлеровым, если он проходит по одному разу по каждой дуге. Если же маршрут начинается и заканчивается в одном и том же узле, то мы имеем дело с эйлеровым циклом (рисунок 3). Из-за особенностей этого цикла его называют идеальным путем.

Рассуждения Эйлера можно записать таким образом.

Обозначим через п количество узлов четной степени.

а) Если n = 0, то в графе содержится хотя бы один эйлеров цикл.

б) Если n = 2, то в графе содержится хотя бы один эйлеров путь, но ни одного цикла.

в) Если n > 2, то в графе нет ни пути, ни цикла.

РИС. 1

РИС . 2

РИС. 3

В задаче о мостах Кенигсберга необходимо было найти эйлеров цикл. Он начинается и заканчивается водной и той же точке, проходя всего один раз по всем дугам или ребрам графа, который в данном случае имеет форму октаэдра.

Поскольку в данном случае 4, то жители Кенигсберга остались без идеального пути. Если бы они спросили совета у Эйлера, он ответил бы, что задачу можно решить, добавив или убрав один мост.

СВЯЗАННАЯ ЗАДАЧА: ХОД КОНЯ

Еще один вопрос, занимавший Эйлера и связанный с графами, — задача о ходе коня в шахматах. Ученый разобрал ее в 1759 году в работе Solution d’une question curieuse que ne soumise a aucune analyse ("Решение одного любопытного вопроса, который, кажется, не подчиняется никакому исследованию"). Задача состоит в поиске маршрута, при котором конь пройдет по всем клеткам, независимо от начальной позиции. Эйлер нашел решение и попутно заложил основу того, что впоследствии было названо гамильтоновыми графами — путями, проходящими по одному разу через все узлы и возвращающимися к исходной точке (рисунок 4).

РИС. 4

РОЖДЕНИЕ ТОПОЛОГИИ

Эйлер называл все задачи, связанные с задачей о мостах, geometriam situs, а термин "топология", использующийся до сих пор, ввел в 1847 году Иоганн Бенедикт Листинг (1808-1882). Сейчас топология — развитая область математики, объединяющая понятия, которые обычно считаются не совсем геометрическими: внутри и снаружи, близко и далеко, ориентируемое и нео- риентируемое, связанное и несвязанное, непрерывное и разрывное. Топология занимается вопросами, на первый взгляд далекими от традиционной математики. Таким образом, в рамках этой дисциплины были найдены решения самых разных задач, таких как поиск минимального количества цветов, необходимого для раскрашивания любой произвольной карты (их нужно четыре). Было также найдено строгое доказательство того, что на Земле всегда существуют диаметрально противоположные точки с одинаковым давлением и одинаковой температурой или что если уменьшить листок бумаги, а потом положить на него исходный лист, то всегда будет точка первого, которая коснется соответствующей точки второго. В этой же области была сформулирована задача о причесывании ежа, в которой понятие направления рассматривается с типично топологической точки зрения. Эйлер не просто попытался объяснить существующую Вселенную — он открыл двери в миры, до той поры неизвестные.

ТЕОРЕМА О ПРИЧЕСЫВАНИИ ЕЖА

Представим себе сферу, из каждой точки которой растет волос. Затем рассмотрим проекции на поле, касательном к шару в точке, из которой растет волос. Совокупность этих проекций похожа на поле векторов, касающееся шара, то, что называется касательным полем. Наша цель — "причесать" волосы, приглаживая их к шару, но так, чтобы движение было непрерывным, то есть без пробора. Ни один волос не может вдруг поменять направление по отношению к другим. По этой теореме, невозможно причесать волосы, не сделав хотя бы одного пробора на шаре. В любом случае получится или завихрение, или залысина. Достаточно обратиться к повседневной окружающей нас реальности, чтобы убедиться в правильности теоремы: если мы попробуем причесать ребенка, не делая пробор, где-то все равно образуется завихрение.

Затылок с типичным завихрением волос.

ПЕРВЫЕ КНИГИ ЭЙЛЕРА

В России Эйлер написал свои первые трактаты. Несмотря на большой объем, они легко читаются и в них уже прослеживаются стиль и превосходная структура, которые были отличительной чертой ученого: его книги славились ясностью изложения и доставляли немало удовольствия во время чтения. К этому времени относится работа Mechanica sive motus scientia analytice exposita ("Механика, или наука о движении, в аналитическом изложении"), в которой развиваются физикомеханические аспекты точечной массы. Инновация Эйлера состоит в том, что он делает это с помощью дифференциального и интегрального исчисления, тогда как механика обычно рассматривалась с синтетической и геометрической точки зрения. В этой работе уже появляются дифференциальные уравнения, точечные массы, движение упругих тел и жидкости, поэтому она может считаться первым современным трактатом по рациональной механике. Лагранж назвал ее "первой большой работой, в которой анализ применяется к наукам о движении". Эйлер также посвятил один из трактатов музыке — Tentamen novae theoriae musicae ("Опыт новой теории музыки"), написанный в 1731 году, но опубликованный только в 1739-м. В нем, как и в других сочинениях того же периода, принадлежащих Мерсенну, Декарту или Д’Аламберу, говорится о природе, происхождении и восприятии звука, об удовольствии, вызываемом музыкой, и о математической теории темпераментов. Scientia navalis ("Корабельная наука") стала первой большой работой Эйлера, посвященной кораблестроению, в которой рассказывается о принципах гидростатики, устойчивости кораблей и практических сведениях по кораблестроению и навигации. Он также написал эссе и статьи о кораблях и навигации, в которых рассматривал альтернативные способы движения: от вечного двигателя до использования энергии волн. Самым интересным из них было применение системы лопастей, предшественницы гребных колес. В 1773 году, как мы увидим, ученый вернулся к этой теме.

В последние годы своего пребывания в России Эйлер выполнял множество обязанностей в Академии. Он занимался вопросами садоводства, инженерным делом, работал над собственными книгами и руководил написанием других. Ученый входил в Комиссию мер и весов, сам вызвался аннотировать манускрипты о квадратуре круга, приходившие в академию, и закупать карандаши и бумагу. Самым трудоемким его занятием была ревизия русской картографии, которой, однако, Эйлер восхищался.

Разносторонняя и обширная профессиональная деятельность не мешала Эйлеру обращать внимание на деликатную политическую ситуацию в стране. В 1739 году закончилась русско-турецкая война, и местная знать была недовольна слишком большим количеством немцев на самых высоких государственных и административных постах. Когда в 1740 году на престол взошла Елизавета, дочь Петра I, Эйлер, испугавшись жестоких гонений на элиту немецкого происхождения и на всех иностранцев вообще, принял предложение о работе в Прусской академии наук и уехал в Берлин.

Более 800 000 книг и аудиокниг! 📚

Получи 2 месяца Литрес Подписки в подарок и наслаждайся неограниченным чтением

ПОЛУЧИТЬ ПОДАРОК