132. Пероксодвусерная кислота.
При электролизе 50% раствора серной кислоты на катоде разряжаются ионы водорода, а на аноде HSO4-. Последние, теряя свои заряды, соединяются попарно и образуют пероксодвусерную, или надсерную, кислоту H2S2O8:

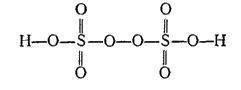
Пероксодвусерная кислота является производным пероксида водорода и промежуточным продуктом при получении последней электрохимическим путем (см. § 117). Строение ее можно выразить формулой:

Как и в пероксиде водорода, два атома кислорода связаны здесь ковалентной связью, образуя «цепочку», характерную для пероксидов. Такие кислоты получили общее название пероксокислот (надкислот) и, кроме серы, известны для ряда других элементов. Изучением пероксокислот много занимался Л. В. Писаржевский, которому химия обязана классическими исследованиями в этой области.
Все пероксокислоты обладают, подобно пероксидам, сильными окислительными свойствами.
Соли пероксодвусерной кислоты — пероксод и сульфаты — применяются для некоторых технических целей, как средство для отбелки и в качестве окислителей в лабораторной практике.
Более 800 000 книг и аудиокниг! 📚
Получи 2 месяца Литрес Подписки в подарок и наслаждайся неограниченным чтением
ПОЛУЧИТЬ ПОДАРОК