Глава 13 Механика полета ракеты
Мы подошли к другой стороне механики ракеты: к вопросу о том, от каких обстоятельств зависит окончательная скорость ракеты и – что не менее важно уяснить себе – от каких обстоятельств она не зависит. Теоретический вывод этих соотношений дан в конце книги. Здесь приводим лишь окончательный результат.
Математический анализ устанавливает, что вереде без тяжести (для простоты пока отвлекаемся от тяжести) окончательная скорость, приобретаемая ракетой после горения, зависит только от двух обстоятельств:
1) от той скорости, с какой вытекают из ее сопла газообразные продукты горения;
2) от отношения первоначальной массы ракеты к ее окончательной массе, то есть отношения массы ракеты до горения к массе ее после горения.
Если первоначальную массу ракеты вместе с запасом горючего обозначим через Мt, а конечную массу, когда заряд выгорит, – через Мk, то скорость, приобретаемая ракетой к концу горения, зависит от величины дроби:

Ни от каких других причин окончательная скорость ракеты в среде без тяжести не зависит. Это – замечательный результат. Оказывается, что продолжительность и порядок горения нисколько не влияют на величину приобретаемой ракетой скорости: «Происходит ли горение равномерно или нет, длится ли оно секунды или тысячелетия – это все равно; даже перерывы ничего не значат» (Циолковский). Второй поучительный вывод тот, что скорость ракеты не обусловливается вовсе, как можно было бы ожидать, абсолютным количеством сожженных веществ; она зависит лишь от отношения массы этих веществ к массе незаряженной (вернее, разряженной) ракеты. Маленькая ракета, заряженная несколькими граммами горючего, может приобрести такую же окончательную скорость, как и исполинская ракета с зарядом в сотни или тысячи тонн, если только окончательная масса ракеты в обоих случаях составляет одинаковую долю первоначальной.
Читатель должен также отрешиться от распространенного представления о ракете как об аппарате, отталкивающемся от воздуха. Это странное ходячее мнение потому так живуче, что для поверхностного суждения кажется естественным и бесспорным. Хотя правильный взгляд на механизм полета ракеты установился уже в эпоху Ньютона, заблуждение это владеет большинством умов еще и в наши дни, мешая правильно разбираться в вопросах ракетного летания.
Уместно остановиться здесь и на другом заблуждении более тонкого характера. Против возможности межпланетных перелетов выдвигается нередко следующий довод. На земном шаре не существует такого горючего, энергия которого, превращенная в механическую работу, была бы достаточна для переноса его самого хотя бы на Луну. Килограмм наиболее энергоемкого горючего – смеси водорода с кислородом – развивает не более 2900 ? 427, то есть 1 240 000 кгм. Между тем, чтобы удалить 1 кг вещества с земной поверхности на расстояние до Луны, требуется совершить работу свыше 6 000 000 кгм. Отсюда делают поспешный вывод, что горючее, которое не может даже самого себя унести на Луну, тем более бессильно доставить туда еще какой-нибудь груз. Значит, межпланетные путешествия – несбыточная мечта; все стремления ее осуществить обречены на полную неудачу.
Рассуждения подобного рода, хотя и высказываются зачастую сведущими в других отношениях авторами, свидетельствуют о полном незнакомстве с условиями работы ракеты. Забывают, что ракета вовсе не несет с собой запаса горючего на протяжении всего пути. Она сжигает и отбрасывает свое горючее еще вблизи Земли, в первые несколько минут полета; весь же остальной путь ракета летит за счет энергии, запасенной в течение этих немногих минут горения. Кроме того, надо помнить, что межпланетная ракета расходует массу горючего, значительно превосходящую массу полезного груза ракеты.
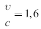
Обратимся теперь к языку математических формул, чтобы отчетливее охватить условия движения ракеты. Обозначим, как прежде, начальную массу ракеты, то есть массу ее вместе с зарядом, через Mt; массу ракеты после израсходования заряда, то есть ее конечную массу, буквою Мk. Скорость, с какою продукты сгорания удаляются от летящей ракеты, обозначим буквою с. Наконец, скорость, приобретаемую самой ракетой по израсходованию запаса горючего (в количестве Мt – Мk), обозначим через ?
Между этими четырьмя величинами Mt, Мk, с и ? существует зависимость, впервые установленная К.Э. Циолковским; мы вправе называть ее «формула Циолковского». А именно: для всякой ракеты, летящей в пустоте и в среде без тяжести, справедливо следующее равенство (уравнение ракеты):

Значение букв, входящих в уравнение ракеты, нам известно. Что же касается числа 2,72, то знакомые с математикой, конечно, узнают в нем основание натуральных логарифмов (е = 2,71828…).
Рассмотрим несколько следствий из этого уравнения[29].
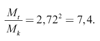
Прежде всего мы видим, что ракета может двигаться во много раз быстрее продуктов сгорания – в противоположность пушечному снаряду, который не может мчаться быстрее, чем толкающие его пороховые газы. Действительно, если мы желаем, чтобы ракета двигалась в 10 раз быстрее вытекающих из нее газов, то есть чтобы отношение
равнялось 10, мы должны положить в формуле ракеты
тогда
, то есть заряженная ракета должна быть в 2200 раз тяжелее незаряженной; или, иными словами, заряд должен по весу составлять
долю веса ракеты. Теоретически это возможно, практически же, конечно, неосуществимо. При меньших значениях
получаются для
более благоприятные соотношения. Так, если скорость ракеты должна только вдвое превышать скорость вытекающих газов, то отношение

Это значит, что вес заряда должен составлять
, то есть 87 % веса ракеты.
Вот несколько частных случаев.

Практически идти далеко в смысле увеличения скорости ракеты, как видим, в реальных условиях не удастся: числа второй строки растут чересчур стремительно.
Если бы мы пожелали, например, добиться скорости ракеты в 20 раз большей скорости вытекания газов, нам пришлось бы зарядить ее количеством горючего, которое в 50 миллионов раз больше веса незаряженной ракеты! Напомним, что в цистерне с керосином содержимое только в 13 раз тяжелее тары; даже в пчелиной ячейке мед весит всего в 60 раз больше, чем восковая оболочка. Технике никогда, вероятно, не удастся соорудить ракету, которая в заряженном состоянии превышала бы вес незаряженной ракеты хотя бы только в 100 или даже в 50 раз. Едва ли поэтому придется на практике иметь дело со скоростями ракеты, превышающими скорость продуктов горения более чем в 4 раза. Отсюда понятно, как важно для развития ракетного дела добиться большей скорости вытекания газов. Каждая лишняя сотня метров скорости отброса создает заметную экономию в грузе горючего, который берет с собой ракета.
Еще раз подтверждается необходимость перехода от пороха к горючим жидкостям для достижения значительных скоростей полета. Если для ракет земного назначения порох оказывается еще достаточно энергоемким зарядом, то для перелетов космических он уже совсем непригоден. В виде примера сделаем два расчета.
1. Какой заряд пороха необходим ракете, предназначаемой для переброски бомбы в 50 кг весом с максимальной скоростью 500 м/с?
Пусть скорость вытекания пороховых газов из дюзы равна 1000 м/с. Если искомый заряд х, то по формуле Циолковского:

Легко вычислить, что x = 30 кг. При скорости вытекания пороховых газов 2000 м/с достаточен для этого еще меньший заряд – 14 кг.
2. Какой заряд необходим для переброски 1 т полезного груза с Земли на Луну?
Чтобы долететь до Луны с наименьшим расходом горючего, ракета должна быть снабжена запасом энергии, отвечающим скорости 12 240 м/с (см. Приложение 4). Возьмем наибольшую скорость вытекания пороховых газов 2400 м/с и составим уравнение:

Отсюда x = 159. Заряд должен составлять
веса ракеты; на всю долю полезного груза остается 0,6 % общего веса. Излишне говорить, что это конструктивно неосуществимо.
Пользуясь же жидким горючим, со скоростью вытекания газов 4000 м/с, мы получаем гораздо более благоприятные соотношения:

откуда x = 19. Заряд составляет
общего веса, и на долю полезного груза приходится уже 5 %.
Читателю должна быть понятна теперь та задача, которую поставили перед собой работники звездоплавания на нынешнем этапе его развития: во что бы то ни стало изобрести ракету с жидким зарядом. Будущее имеют только такие ракеты; без них заманчивые цели звездоплавания никогда не будут претворены в действительность. В дальнейших главах мы побеседуем о результатах этих изобретательских стремлений.
Перейдем теперь к следующему пункту механики реактивного движения. Как вычислить силу, с какой продукты горения давят на ракету? Для этого достаточно знать количество ежесекундно потребляемого горючего и скорость вытекания газов. Расчет основан на элементарных положениях динамики. По закону противодействия количество движения (mc), присущее вытекающим газам, в каждый момент равно количеству движения (M?) самой ракеты. Последнее же равно импульсу силы, увлекающей ракету (Ft = M?). Значит (считая t = 1 с), имеем, что искомая сила напора на ракету равна
F = mc,
где m — масса ежесекундно потребляемого горючего, а c — секундная скорость газовой струи. Если, например, ракета сжигает 160 г бензина в секунду, а продукты сгорания вытекают со скоростью 2000 м/с = 200 000 см/с, то сила напора на ракету (или сила тяги) составляет
160 ? 200 000 = 32 000 000 дин = около 32 кг.
Нам предстоит еще рассмотреть вопрос о влиянии силы тяжести на полет ракеты. До сих пор мы вели расчеты в предположении, что земная тяжесть на ракету не действует. Вспомним, однако, что под влиянием земной тяжести все тела близ поверхности Земли падают с секундным ускорением около 10 м/с. Отсюда прямо следует, что если ракета должна в среде без тяжести получить движение отвесно вверх с секундным ускорением 40 м/с, то, взлетая от Земли, она получит ускорение всего в 30 м/с2. Далее, если собственное ускорение ракеты меньше ускорения земной тяжести, то такая ракета вовсе не будет подниматься на Земле, как бы долго ни продолжалось горение и сколько бы горючего ни было израсходовано. Наконец в случае равенства обоих ускорений ракета представляет картину совершенно необычайную: она неподвижно висит над Землей все время, пока происходит горение, а по окончании его падает на Землю.
Как видим, быстрота сгорания, обусловливающая нарастание скорости ракеты, определяет в среде тяжести судьбу ракеты; если горение идет слишком медленным темпом, отлет ракеты вовсе не состоится. Математическое рассмотрение вопроса (см. Приложение 3) показывает, что в условиях тяжести скорость отвесного поднятия ракеты всегда несколько меньше той, какую получила бы ракета, израсходовав равный запас горючего в среде без тяжести. Чем больше собственное ускорение ракеты по сравнению с ускорением тяжести, тем меньше различие между скоростью ракеты в среде без тяжести и в условиях тяжести. Но так как человеческий организм может безопасно переносить не более чем трехкратное увеличение земной тяжести, то при отлете с Земли придется практически весьма считаться с этим различием.
Кроме силы тяжести, отлету ракеты с поверхности Земли должна препятствовать и атмосфера. Мы не можем рассматривать в этой книге влияние сопротивления воздуха на движение ракеты – вопрос этот чересчур сложен. Ограничимся указанием на то, что работа преодоления ракетой атмосферного сопротивления гораздо меньше, чем работа преодоления тяжести. При весе ракеты Ют, площади поперечного сечения 4 м2 и ускорении ее движения – 30 м/с2 давление взрывных газов на нее будет равно 30 т; сопротивление же атмосферы, по расчетам К.Э. Циолковского, при хорошо обтекаемой форме ракеты не будет превышать 100 кг. Профессор Оберт, германский теоретик звездоплавания, считает, что скорость ракеты, отсылаемой с Земли в бесконечность, уменьшается сопротивлением атмосферы всего на 200 м/с. Для ракет земного назначения, пролетающих в атмосфере значительную часть пути, величина сопротивления больше, чем для космических. В случае отсылки, например, ракеты на Луну (при выборе наиболее экономного проекта) максимальная скорость достигается на высоте 1700 км – далеко за пределами атмосферы. Плотный же слой атмосферы, толщиной 50 км, прорезается этой ракетой с довольно умеренной скоростью, которая лишь на уровне 50 км достигает 1,7 км/с – величины порядка скорости снаряда сверхдальнобойной артиллерии. Следовательно, нет места тем опасениям, которые нередко высказываются противниками звездоплавания, – что ракета не в силах пробить воздушный панцирь нашей планеты.
Точно так же и при возвращении из космического перелета снова на Землю ракета вступит в плотную часть нашей атмосферы вовсе не со скоростью близкой к скорости метеоров.
Присутствие атмосферы – отметим кстати – не только не является препятствием к осуществлению межпланетных перелетов, но, напротив, должно быть рассматриваемо как фактор, без которого они едва ли могли бы быть когда-нибудь реализованы. В самом деле, если атмосфера несколько увеличивает расход горючего при отлете с Земли, то зато она же создает огромную экономию горючего при возвращении ракеты из межпланетного рейса, давая возможность затормозить ракету почти без расхода горючего (подробнее об этом будет сказано в главе 15).
Часто задают вопрос: может ли ракета в мировом пространстве изменить направление своего полета? Безусловно, может. Для этого нужно лишь изменить направление газовой струи. Тогда с ракетой произойдет то же, что происходит со свободным телом, получившим удар вне центра его массы: ракета получит вращательное движение. Пользуясь этим, пилот будет иметь возможность менять по желанию курс своего ракетного корабля и даже повертывать его в безвоздушном пространстве на 180°.
Более 800 000 книг и аудиокниг! 📚
Получи 2 месяца Литрес Подписки в подарок и наслаждайся неограниченным чтением
ПОЛУЧИТЬ ПОДАРОК