4. Начальная скорость и продолжительность перелетов
Начальная скорость
Читатели пожелают, вероятно, узнать, как вычисляется скорость, с которой тело должно покинуть планету, чтобы преодолеть силу ее притяжения. Вычисление основано на законе сохранения энергии. Тело должно получить при взлете запас кинетической энергии, равный той работе, которую ему предстоит совершить. Если масса тела т, а искомая скорость у, то кинетическая энергия («живая сила») тела в момент взлета

Работа же, совершаемая силой при перемещении с поверхности планеты в бесконечность (при отсутствии других центров притяжения), равна, как устанавливает небесная механика,

где М – масса планеты; R – ее радиус; а k – так называемая постоянная тяготения (см. Приложение 1). Абсолютную величину этой работы приравниваем к кинетической энергии:

откуда

Далее, мы знаем, что вес тела на поверхности планеты, то есть сила, с какою планета его притягивает, равен, по закону тяготения:

если масса тела m. Механика дает нам также и другое выражение для веса – произведение массы на ускорение, ma.
Значит,

откуда

и, следовательно, формула

принимает вид:
?2 =2aR,
откуда

Подставляя вместо а ускорение тяжести на планете, а вместо R – радиус, получаем величину скорости, с какою тело навсегда покидает планету. Например, для Луны а = 1,62 м/с2, R = 1 740 000 м. Поэтому искомая скорость

На том же можно основать вычисление начальной скорости снаряда или ракеты, которые, покинув Землю, должны долететь до точки равного притяжения между Землей и Луной. Масса Земли в 81 раз больше массы Луны, а так как сила притяжения уменьшается пропорционально квадрату удаления, то притяжения Земли и Луны уравниваются на расстоянии от Земли в 9 раз большем, чем от Луны (тогда притяжение Земли ослабеет в 9 ? 9, то есть в 81 раз больше, чем притяжение Луны). Значит, точка равного притяжения лежит в 0,9 расстояния между Землей и Луной; последнее равно 60,3 радиуса R земного шара, так что ядро должно пролететь расстояние D = 0,9 ? 60,3R = 54,3R. Обозначив искомую скорость, с какой тело должно покинуть Землю, через ?, имеем для кинетической энергии тела в момент вылета
, где m – масса тела. Произведенная же этим телом работа, по законам небесной механики, равна потерянной потенциальной энергии, то есть разности потенциальной энергии Е1 и Е в конечной и начальной точках пути. Поэтому

Здесь Е1 есть потенциальная энергия тела в конечной точке пути по отношению к Земле и к Луне. Первая часть потенциальной энергии равна:

где k — постоянная тяготения; М — масса Земли; m – масса брошенного тела; D — расстояние тела от центра Земли в конечной точке пути.
Вторая доля равна потенциальной энергии (по отношению к Луне):

где k и m имеют прежние значения; Мt – масса Луны; d – расстояние тела от центра Луны в конечной точке пути.
Величина Е есть потенциальная энергия тела (в точке земной поверхности) по отношению к Земле и Луне. Она равна

где R – радиус Земли; L – расстояние от поверхности Земли до центра Луны; а k, m, М и М1 имеют прежние значения. Итак,

или

Подставим:
M1 = 0,012M, D = 54,3R,
L = 59,3R, d = 6R.
Имеем:

или

откуда

Известно, что
g = 9,8 м/с2;
R = 6370 км.
Выполнив вычисления, получаем искомую скорость
? = 1 107 000 см/с = 11,07 км/с.
Указанным способом можно вычислить скорость и в других подобных случаях. Например, для определения скорости ракеты, взлетающей с Луны по направлению к Земле, имеем уравнение:

Здесь предполагается, конечно, что ракета должна достичь лишь точки равного притяжения, откуда начнется падение на Землю. Зная, что масса М1 Луны равна
, где М — масса Земли, имеем (после сокращения на m):

откуда ? = 2,27 км/с – на 100 м меньше, чем скорость, вычисленная без принятия в расчет притяжения Земли. С такой же скоростью должно удариться о лунную почву тело, падающее на Луну из точки равного притяжения, имея Землю позади себя.
Так производится расчет наличной скорости для артиллерийского снаряда, скорости, имеющей максимальное значение на земной поверхности. В случае ракеты скорость на уровне земной поверхности равна нулю и постепенно растет по мере взлета ракеты, пока не прекратится горение заряда. Следовательно, максимальную свою скорость ракета приобретает на некоторой высоте над Землей, где напряжение тяжести, естественно, меньше, чем на уровне моря. Поэтому максимальная скорость, уносящая ракету в межпланетный полет, меньше, чем для пушечного снаряда. Вычислим ее, сделав предпосылку, что ракета летит с ускорением, равным утроенному ускорению земной тяжести.
Обозначим высоту, на которой ракета приобретает максимальную скорость ?, через х. Известно, что ? 2 = 2 ? 3g ? x = 6gx.
Потенциальная энергия единицы массы ракеты на уровне ? равна, согласно предыдущему:

Потенциальная энергия той же единицы массы на высоте 54,37R (в точке равного притяжения) выражается суммой

Потеря потенциальной энергии при перемещении ракеты с уровня x на уровень 54,37R составляет

и должна, мы знаем, равняться кинетической энергии единицы массы ракеты, то есть
, или 3gх. Имеем уравнение

откуда x = 0,2616; R = 0,2616 ? 6370 = 1666 км.
Теперь из уравнения ?2 = 6gх находим ? = 9750 м/с.
Итак, ракета, отвесно направляющаяся к Луне, достигает наибольшей своей скорости – 9? км/с – далеко за пределами земной атмосферы. Число секунд t, в течение которого накапливается эта скорость, определяется из уравнения 9750 = 3 ? 9,8t, откуда t = 321 с. Можно вычислить, что под действием земной тяжести ракета потеряет 321 ? 7,76 = 2490 м своей секундной скорости (7,76 – средняя величина ускорения тяжести на протяжении 1666 км от земной поверхности). В общем итоге запас энергии, каким надо снабдить ракету для отвесного полета на Луну, должен отвечать скорости 9750 + 2490 = 12 240 м/с.
Сходным образом можно установить, что при отвесном подъеме ракеты с Луны она приобретает максимальную скорость (2300 м/с) на высоте 90 км после 76 с подъема. И обратно: падая от точки равного притяжения на лунную поверхность, ракета должна начать замедление полета на высоте 90 км, чтобы при ускорении (отрицательном) свести свою 2300-метровую скорость к нулю.
Вычисляя скорость, с какой тело должно покинуть Землю для удаления в бесконечность, мы принимали, что Земля – единственный центр, притяжение которого тело должно при этом преодолеть. На самом же деле приходится считаться также и с притяжением Солнца. Чтобы учесть это обстоятельство, установим сначала зависимость между скоростью тела на орбите и другими величинами.

Рис. 59. К расчету скорости полета
По второму закону Кеплера площади, описываемые радиусом-вектором в равные времена, равны. Пусть тело (планета) движется вокруг Солнца по эллипсу с полуосями а и b; период обращения Т секунд, секундная скорость ?, радиус-вектор r; тогда для точек перигелия и афелия имеем равенство

где левая часть есть выражение (приближенное) для площади, описываемой радиусом-вектором за 1 с, a ?ab – площадь эллипса. Имеем:

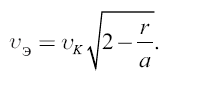
Пусть теперь тело (звездолет, планета), движущееся вокруг Солнца по круговой орбите радиуса r, должно перейти в точке А своего пути на эллиптическую орбиту с полуосями а и b. Определим, какое для этого необходимо изменение скорости.
Из третьего закона Кеплера следует, что отношение квадрата периода обращения планеты к кубу ее среднего расстояния от Солнца (или большой полуоси) есть величина постоянная; для планет Солнечной системы эта постоянная равна (в единицах системы см – г – с)

откуда

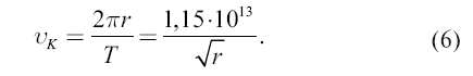
Отсюда имеем скорость у кругового движения около Солнца на расстоянии г.

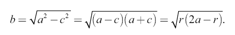
Обращаясь к эллиптической орбите, имеем прежде всего

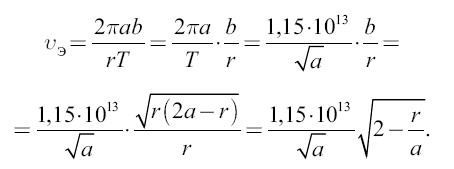
Из формулы (5) мы знаем, что скорость ?э движения по эллиптической орбите в точке А

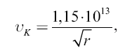
Так как скорость ?K движения по круговой орбите (см. (6)

то из сопоставления формул (6) и (7) имеем

По этой формуле и вычисляется скорость, какую необходимо сообщить звездолету, чтобы с круговой орбиты он перешел на эллиптическую или удалился в бесконечность. В последнем случае полагаем большую полуось а эллипса равной бесконечности. Имеем

то есть для удаления звездолета с круговой орбиты в бесконечность необходимо, чтобы круговая скорость его увеличилась в ?2 раз. Так, для удаления с земной орбиты (соответствующая скорость 29,6 км/с) в бесконечность нужна скорость
?? =29,6?2 = 41,8,
то есть приращение скорости 41,8 – 29,6 = 12,2 км/с.
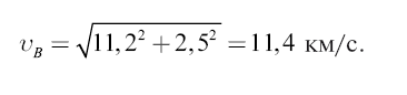
Теперь мы можем вычислить скорость, какая должна быть сообщена звездолету для преодоления притяжения Земли и Солнца и, следовательно, для свободного удаления с Земли в бесконечность. Чтобы преодолеть притяжение, нужна начальная скорость 11,2 км/с, то есть работа («живая сила») для каждого килограмма веса звездолета

Чтобы преодолеть солнечное притяжение, нужна работа (? = 12 200 м/с)

Общая работа для преодоления совокупного притяжения Земли и Солнца равна

Искомая скорость x получается из уравнения:

откуда

Вычислим теперь начальные скорости, необходимые для достижения планет Марса и Венеры. Для Марса

Поэтому из формулы (8) имеем

то есть нужна добавочная скорость 32,6 – 29,6 = 3 км/с.
Искомая скорость для преодоления совокупного притяжения Земли и Солнца вычисляется, как сейчас было показано:

Таким же образом определяем, что для достижения Венеры нужна начальная скорость, не меньшая

Продолжительность перелетов
Перелет на Венеру. Продолжительность этого перелета, при условии минимальной затраты горючего, определится, если будет известен период обращения воображаемой планеты по эллипсу TV (рис. 60). Если S – Солнце, то ST = 150 ? 106 км, SV = 108 ? 106 км; среднее расстояние воображаемой планеты от Солнца равно ? (150 + 108) ? 106 = 129 ? 106 км. По третьему закону Кеплера

где x – продолжительность обращения воображаемой планеты, а 225 суток – продолжительность обращения Венеры;
х = 225?1,7 = 293 сут.
Значит, полет в один конец займет 147 суток.
Перелет на Марс. Время перелета определяется из пропорции:

откуда
у = 519 сут.
Значит, перелет в один конец продлится 259 суток.

Рис. 60. Маршрут перелета с Земли (Т) на Венеру (V)
Более 800 000 книг и аудиокниг! 📚
Получи 2 месяца Литрес Подписки в подарок и наслаждайся неограниченным чтением
ПОЛУЧИТЬ ПОДАРОК