3. Динамика ракеты
Для понимания дальнейшего необходимо отчетливо уяснить себе некоторые теоремы механики, относящиеся к количеству движения и к центру тяжести. Предпосылаем поэтому нашему изложению небольшую главу из «Курса физики» Гримзеля, где положения эти разъяснены весьма наглядно и с достаточной полнотой.
Импульс. Количество движения. Сохранение движения центра тяжести
«Сила Р сообщает свободной массе m ускорение а, которое определяется из уравнения Р = ma. Если сила Р постоянна, то и ускорение постоянно, т. е. движение равномерно-ускоренное. Если постоянная сила Р действует на массу m в течение времени t, то она сообщает ей скорость ? = at. Чтобы оценить действие силы Р за время t, мы умножим выражение силы Р = ma на t. Мы получим равенство Р ? t = m ? ?.
Произведение Р ? t называется импульсом силы Р за время t. Произведение т ? ? называется количеством движения массы m, движущейся со скоростью ?. Импульс силы равен количеству движения массы, приведенной в движение этой силой.
Если действует сила переменная, то, строго говоря, этот закон можно прилагать лишь к малым промежуткам времени t, в течение которых силу можно считать неизменяющейся. Тогда предыдущее равенство принимает вид:

Рис. 57. Баллистический маятник
Понятия импульса и количества движения постоянно применяются в случаях, когда проявляются действие и противодействие.
Примером практического применения этих понятий может служить баллистический маятник, употребляемый для измерения скорости снаряда. Он состоит из большой, но податливой массы М (например, ящика с песком), которая подвешена на стержне, могущем вращаться около некоторой оси (рис. 57). В маятник стреляют снарядом, имеющим массу т, снаряд входит в песок и сообщает общей массе М + m некоторую скорость. Маятник отклоняется, и высоту его подъема Н измеряют. По высоте подъема вычисляют начальную скорость маятника
. Количество движения, приобретенное маятником (вправо), есть M?1; количество движения, приобретенное снарядом влево (или потерянное им, при счете вправо), равно:
m? – m?1,
или
m (? – ?1).
Итак,
M?1 = т (? – ?1),
или
m? = (М+ m) ?1.
Отсюда можно вычислить ?.
В левой части последнего уравнения (m?) стоит количество движения всей системы (маятник и снаряд) до выстрела, в правой части – количество движения системы после выстрела. Таким образом, количество движения системы не изменяется, если только в эту систему включены все взаимодействующие тела. Такая система называется замкнутой. Итак, в замкнутой системе количество движения остается неизменным, какие бы процессы внутри ее ни происходили. Это закон сохранения количества движения.
Другой пример представляет изображенный на рис. 58 двусторонний пистолет. На штативе горизонтально лежит медная трубка, на один конец которой навинчен массивный металлический цилиндр. Другой такой же цилиндр имеет насадку, плотно входящую в трубочку[47]. В трубке сделано отверстие для поджигания с полочкой для пороха. Насыпав на полочку и в трубку немного пороха, вставляют снаряд и кладут пистолет на штатив. Затем при помощи раскаленной проволоки поджигают порох, насыпанный на полочку; порох в трубке взрывается – оба цилиндра с насадками получают ускорения в противоположные стороны и упадут на стол в одинаковых расстояниях от штатива. Действие взрыва одинаково в обе стороны и сообщает обоим цилиндрам одинаковые скорости.
Повторяют опыт с различными массами. Пусть цилиндр, скрепленный с трубочкой, весит 50 г, а вставляющийся в нее – 100 г. После взрыва первый отлетает вдвое дальше второго, хотя давление взрывных газов в обе стороны одинаково.
В каком бы отношении ни находились снаряды, всегда начальные скорости снарядов обратно пропорциональны их массам и, значит, произведения масс снарядов на начальные скорости одинаковы.

Рис. 58. Двусторонний пистолет
Движение снарядов можно определить таким правилом: если до взрыва весь пистолет был в равновесии относительно некоторой оси вращения, то это равновесие сохраняется в каждый момент после взрыва, причем путь обоих снарядов рассматривается как соединяющая их невесомая проволока, а вся система – как рычаг.
В самом деле, горизонтальные расстояния обоих снарядов от оси вращения в каждый момент движения обратно пропорциональны соответствующим массам, а это отвечает условию равновесия рычага. Воображаемая ось всегда проходит поэтому через центр тяжести обеих частей пистолета, так что положение центра тяжести остается неизменным (закон сохранения центра тяжести). Закон этот справедлив и для того случая, когда пистолет перед взрывом не был в покое, а двигался с постоянной скоростью. В этом случае после взрыва его части движутся так, что их общий центр тяжести продолжает свое прежнее движение с той же скоростью (сохранение движения центра тяжести). То же самое будет, конечно, при распаде на несколько частей – например, при движении осколков разорвавшейся гранаты или обломков распавшихся космических тел».
Движение ракеты
Рассмотрим теперь движение ракеты – сначала в среде, свободной от тяжести, а затем в условиях тяжести.
а) Движение ракеты в среде без тяжести. Ввиду фундаментального значения уравнения ракеты для всей теории звездоплавания приводим далее два ее вывода: один – элементарный, для незнакомых с высшей математикой, и другой – более строгий, с применением интегрального исчисления.
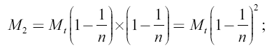
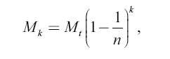
Пусть первоначальная масса покоящейся ракеты равна Мt. Заменим непрерывное вытекание газа из трубы рядом последовательных толчков; с каждым толчком вытекает
массы Mt ракеты со скоростью с. После первого толчка масса ракеты уменьшается до

после второго толчка остающаяся масса ракеты равна

после третьего толчка

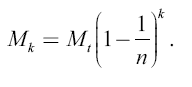
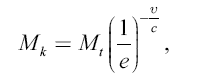
а после k-го —

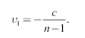
Скорость ?1, приобретаемую ракетой после первого толчка, легко вычислить, исходя из того, что общее количество движения всех частей ракеты до и после разъединения одинаково, то есть равно нулю:

откуда

Скорость ?2 после второго толчка можно считать равной 2?1, то есть
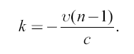
, а после k-го толчка
, откуда

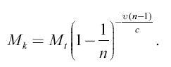
Подставив это выражение для k в формулу

получаем

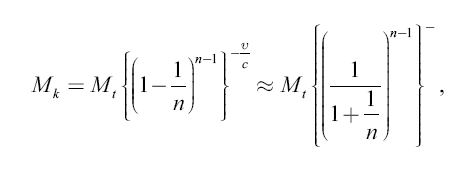
Преобразуем последнее выражение:

потому что

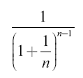
Выражение

при бесконечно большом n (то есть при переходе от толчков к непрерывному вытеканию газа) равно, как известно,
, где е = 2,718. Тогда преобразуемое выражение получает вид:

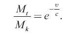
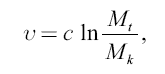
откуда получаем уравнение ракеты:

Укажем теперь более строгий вывод того же основного уравнения.
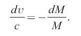
Обозначим массу ракеты в некоторый момент через М и предположим, что до горения ракета была неподвижна. Вследствие горения ракета отбрасывает бес конечно малую часть dM своей массы с постоянною скоростью с (по отношению к ракете). При этом остальная часть массы ракеты (M— dM) получает некоторую бесконечно малую прибавку скорости d?. Сумма количества движения обеих частей ракеты должна быть, по законам механики (см. выше), та же, что и до горения, то есть равняться нулю:
cdM + (M – dM) d? = 0,
или, по раскрытии скобок,
cdM + Md? – dMd? = 0.
Отбросив член dMd? как бесконечно малую второго порядка (произведение двух бесконечно малых величин), имеем уравнение:
cdM + Md? = 0,
которое представляем в виде

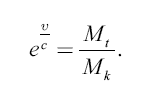
Интегрируя это дифференциальное уравнение, получаем:

или

Мы пришли к уравнению ракеты, или ко второй теореме Циолковского, которую он формулирует так: «В среде без тяжести окончательная скорость (?) ракеты не зависит от силы и порядка взрывания, а только от количества взрывчатого материала (по отношению к массе ракеты) и от устройства взрывной трубы».
При всех этих вычислениях не учитывалось земное притяжение, влияние которого мы сейчас вкратце рассмотрим.
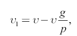
б) Движение ракеты в условиях тяжести. Ускорение а, приобретаемое ракетой при отвесном подъеме с Земли, равно, очевидно, разности между собственным ускорением ракеты р и ускорением земной тяжести g:
a = p – g.
Так как приобретаемая при этом ракетой окончательная скорость ?1 = at1, то продолжительность горения равна
, то есть

Из этого равенства и из соотношения ? = pt мы выводим, что при одинаковой продолжительности горения (t = t1):

откуда

Значит,

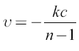
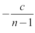
то есть окончательная скорость ракеты в среде тяжести меньше, чем в среде без тяжести, на такую же долю, какую ускорение (g) тяжести составляет от собственного ускорения (р) ракеты.
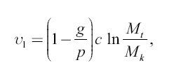
Далее, зная из предыдущего, что в среде без тяжести

получаем, что окончательная скорость ракеты в условиях тяжести

или

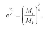
Формула (2) позволяет вычислить окончательную скорость, приобретаемую ракетой в поле тяготения, если известно отношение
масс заряженной и незаряженной ракеты и ее собственное ускорение р. Это последнее, мы знаем, не должно превышать четырехкратного ускорения земной тяжести, чтобы быть безвредным для человеческого организма. При р = 4g имеем

Формулы эти не принимают, конечно, в расчет сопротивление воздуха.
Полезное действие свободной ракеты и ракетного экипажа
Подсчитаем, какую долю энергии потребляемого горючего ракета переводит в полезную механическую работу.
Обозначим, как прежде, массу свободной ракеты до взрывания через Мt, после взрывания – через Мk; масса израсходованного горючего выразится тогда через Mt—Мk, скорость вытекания газа – с. Живая сила вытекающих газов, то есть кинетическая энергия, равна

Отношение второй величины к первой и есть коэффициент к полезного действия свободной ракеты:

или

Из формулы (2) имеем, что

Значит, в среде без тяжести полезное действие ракеты:

Оно достигает наибольшей величины при
и равно тогда 65 %.
Если
невелико, можно формулу (4) упростить, исходя из того, что

Тогда

В среде тяжести выражение для к сложнее; для случая вертикального подъема его нетрудно вывести, подставив в формулу (3) соответствующее значение
из формулы (2).
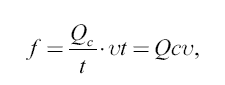
Иначе выразится коэффициент к полезного действия ракетного экипажа (вообще несвободной ракеты), где существенную роль играют такие помехи движению, как трение и сопротивление воздуха. Рассмотрим случай равномерного движения авторакеты, то есть случай, когда работа ракеты равна работе сопротивлений. Так как импульс силы равен количеству движения, то, обозначая через / силу, выбрасывающую продукты взрыва (она равна силе, увлекающей автомобиль), а через t — продолжительность движения, имеем
ft = (Mt—Mk) c,
где Мt — масса автомобиля до взрывания; Мк — его масса после взрывания; с — скорость вытекания газа. Для удобства обозначим Мt – Мк, то есть запас горючего, через Q, тогда

Полезная же работа автомобиля равна:

так как путь s = ?t, где ? – скорость автомобиля.
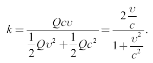
Энергия, затраченная при этом, составляется из двух частей: 1) из той, которая была израсходована на приведение горючего в равномерное движение со скоростью ?; эта часть равна
; 2) из той, которая расходуется на сообщение частицам отбрасываемых газов скорости с; часть эта равна
. Вся затраченная энергия равна

Отсюда искомое полезное действие

Оно достигает наибольшей величины при у = с, то есть когда автомобиль движется со скоростью вытекания продуктов взрыва.
По этой формуле легко вычислить полезное действие ракетного автомобиля; например, для с = 2000 м/с и у = 200 км/ч = 55 м/с:
k = 5,5 %.
Чтобы соперничать в экономичности с обыкновенным автомобилем, полезное действие которого около 20 %, авторакета должна обладать скоростью не ниже 760 км/ч. Но подобная скорость для колесного экипажа практически недопустима, так как сопряжена с опасностью разрыва бандажей колес центробежным эффектом.
Более 800 000 книг и аудиокниг! 📚
Получи 2 месяца Литрес Подписки в подарок и наслаждайся неограниченным чтением
ПОЛУЧИТЬ ПОДАРОК