6. Давление внутри пушечного снаряда
Нам придется пользоваться лишь двумя формулами равноускоренного движения, именно:
1. Скорость ? в конце t-й секунды равна at, где а – ускорение:
? = at.
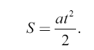
2. Пространство S, пройденное в течение t секунд, определяется формулой:

По этим двум формулам легко определить (разумеется, только приблизительно) ускорение снаряда, когда он скользил в канале исполинской Жюль-Верновой пушки.
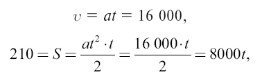
Нам известна из романа длина пушки – 210 м: это есть пройденный путь 5. Романист указывает и скорость снаряда у выхода из орудия – 16 000 м/с. Данные эти позволяют нам определить прежде всего величину t — продолжительность движения снаряда в канале орудия (рассматривая это движение как равномерно ускоренное). В самом деле:

откуда

Итак, оказывается, что снаряд скользил внутри пушки всего 1/40 долю секунды.
Подставив
в формулу ? = at, имеем

Значит, ускорение снаряда при движении в канале равно 640 000 м/с за секунду, то есть в 64 000 раз больше ускорения силы земной тяжести.
Какой же длины должна быть пушка, чтобы ускорение это было всего в 20 раз больше ускорения тяжести (то есть равнялось 200 м/с2)?
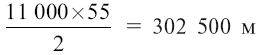
Это – задача, обратная той, которую мы только что решили. Данные: а = 200 м/с2; у = 11 000 м/с (при отсутствии сопротивления атмосферы такая скорость достаточна).
Из формулы ? = at имеем: 11 000 = 200t, откуда t = 55 с.
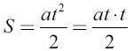
Из формулы
получаем, что длина пушки должна равняться
, то есть круглым счетом около 300 км.
Более 800 000 книг и аудиокниг! 📚
Получи 2 месяца Литрес Подписки в подарок и наслаждайся неограниченным чтением
ПОЛУЧИТЬ ПОДАРОК