Квантовый язык

Матрицы — это особые математические объекты, которые могут быть представлены в виде таблицы, состоящей из строк и столбцов, с произвольным числом в каждой клетке.

5 -1 52 7/3 8 -21 0 -19/7 1

Обычно их пишут в скобках и без клеток:

5 -1 52

7/3 8 -21

0 -19/7 1

С матрицами можно производить различные операции (сложение, вычитание, умножение или деление), которые дают новые матрицы в соответствии с особыми математическими правилами.

Одним из их основных свойств является некоммутативность матричного произведения: А • В =/= В • А. Это означает, что хорошо известный принцип, согласно которому «порядок множителей не влияет на произведение», не выполняется. Чтобы привести более наглядный пример некоммутативности какой-либо операции, рассмотрим вращения в пространстве. Повороты математически могут быть представлены как произведение матриц. Пусть М и S — это две точки на сфере; если мы осуществляем два последовательных оборота вокруг осей, которые проходят через них, результат будет зависеть от направления (см. рисунок).

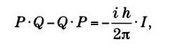
Объясняя таинственные правила Гейзенберга при помощи старых алгебраических методов, Борн и Йордан сформулировали одно из самых важных уравнений всей квантовой механики:

где Р и Q являются матрицами, представляющими количество движений (Р) и расположение (Q, i — корень от -1, a h — постоянная Планка. I — это единичная матрица, которая играет такую же роль в алгебре матриц, что и число 1 в арифметике.

В первом случае конечное расположение М и S — это М1 и S1. Во втором — это М2 и S2. Как можно увидеть, они не совпадают. Второй случай переносит точку М2 на другую сторону сферы.

Уравнение (1) означает, что произведение Р х Q дает матрицу, отличную от Q • Р. Из этого можно сделать вывод: каждое измерение материального объекта (например, электрона) меняет его. Таким образом, если вначале определяют положение, а затем импульс, результат отличается от того, который мы получим при измерении сначала импульса, а затем положения. Это удивительное наблюдение говорит о принципе неопределенности, как мы это увидим дальше. На тех уровнях, где h появляется исчезающе малой величиной, мы имеем дело с феноменами, которые можем наблюдать с помощью наших органов чувств, и можно предположить, что постоянная равна нулю, как в хитрости Больцмана, которую Планк использовал, чтобы сократить спектр излучения внутри печи.

Таким образом, если h ? 0, тогда: Р • Q— Q • Р = 0, откуда: P • Q = Q • P.

Произведение вновь становится коммутативным, и мы оказываемся в обычной ситуации. Аналогично, расстояние между дискретными значениями стремится к нулю и доходит до него, что позволяет вернуться к классическому подходу. Уравнение (1) играет такую же роль углового камня матричной механики, как и уравнение Шрёдингера для волновой механики. На самом деле значительные трудности, возникающие с некоммутативностью матриц, означают, что мы работаем с квантовым состоянием.

В титанической работе на более чем 30 страницах Вольфганг Паули рассчитал уровни энергии Еn стационарных состояний атома водорода (знаменитая формула Бора), применяя идеи Гейзенберга и Борна до того, как Шрёдингер сделал то же самое со своим волновым уравнением. Несмотря на успех, это нововведение было не очень принято в физических кругах.

В марте 1926 года Эйнштейн осторожно заявил: «Концепции Борна и Гейзенберга заставляют нас потерять дар речи, они переворачивают видение любого человека, склонного к теории. Мы, наблюдавшие за этим, ощущаем не столько смирение, сколько некоторое напряжение». Наедине он давал волю сарказму: «Гейзенберг снес огромное квантовое яйцо. Гёттингенцы верят ему, я — нет».

Шрёдингер был согласен с Эйнштейном. Его волновая механика была ответом на захватывающий поворот событий, который принимали квантовые теории, звучавшие в Гёттингене:

«Для меня крайне сложно подойти к проблемам, вроде уже упомянутых, если мы вынуждены по эпистемологическим причинам вычеркнуть видение атомной динамики и работать лишь с абстрактными концепциями, такими как вероятности перехода, уровни энергии и так далее».

Борн считал, что Шрёдингер ищет путь, который позволил бы вернуться к классической физике, дающей ясное понимание событий.

Физика матриц

Чтобы определить каждый из элементов матриц, мы прибегаем к тому же методу, который используется в игре в морской бой. Только вместо применения буквы и цифры (A1, G5) мы вводим две цифры: первая обозначает строку, вторая — столбец. Таким образом, в примере, приведенном выше, число -21 находится на позиции 23 (вторая строка, третий столбец), а число 0 — на позиции 31 (третья строка, первый столбец). Когда речь идет о произвольной матрице, ее элементы представляют буквами:

Элементы с двумя одинаковыми индексами составляют диагональ матрицы.

Классическая непрерывность естественно выражается функциями. Квантовая дискретность отлично сочетается с матрицами. Если представить уровни энергии атома водорода (по формуле Бора) с помощью горизонтальных линий:

получим схему, похожую на изображенную на следующем рисунке.

Значения для каждого уровня выражены в электронвольтах — единицах измерения энергии в малых количествах, адаптированных для масштаба атома. Например, 3,75 • 1020 eV необходимо, чтобы заставить работать электрическую лампочку мощностью 60 W в течение одной секунды.

Затем мы записываем данные в клетки матрицы, указывая значения для каждого уровня энергии вдоль диагонали, а возможные переходы — вне диагонали. Таким образом, элемент Еmn матрицы соответствует скачку Еnm. Принимая во внимание, что n и m могут расти до бесконечности, матрица тоже увеличивается до бесконечности (смотри рисунок). Значения других наблюдаемых величин, таких как положение или импульс, также могут быть записаны в бесконечной матрице.

Подобного хотели также Планк и Эйнштейн, правда, они направлялись не назад, а вперед. Именно поэтому Шрёдингер на какое-то время отошел от гёттингенской группы, которая жонглировала матрицами и недоумевала, почему так много физиков хотят скорее завершить этот алгебраический кошмар. Шрёдингер даже не подозревал, что именно один из его научных оппонентов найдет ответ на вопрос, который так долго ему не давался: что такое ??

Паули — принципиально исключительный

Венский физик Вольфганг Паули (1900-1958) входил в число ученых, которые часто становятся героями анекдотов. Говорили, что в его присутствии чувствительное лабораторное оборудование переставало работать и даже ломалось (знаменитый эффект Паули). Невзирая на авторитет Эйнштейна или Бора, он резко критиковал их; доставалось и другим физикам. Гейзенберг, один из лучших друзей Паули, терпеливо сносил всю его язвительность, потому что Паули не только бранился, но и очень быстро умел определить, что в работе шло не так:

«Я не считаю, сколько раз он обозвал меня идиотом или как-нибудь еще.

Главное — что это мне очень помогло».

Коллеги иногда называли ученого «совестью физики», потому что, встретив откровенно слабую работу, он был безжалостен и не щадил ее автора. Стало знаменитым его высказывание об одном из таких опусов: «Это не только неправильно, это даже не дотягивает до ошибочного!» Разрушительная критика Паули помогала развитию науки, в которой, по мнению ученого, в отличие от религии, не место аргументам, которые нельзя оспорить. Физик любил работать по ночам. В студенческие годы Гейзенберг часто возмущался, видя Паули приходящим в университет после обеда.

Фундаментальная физика

Наследие Паули богато и разнообразно. Он способствовал формированию основ квантовой механики и ядерной физики. В1925 году Паули изложил свой знаменитый принцип запрета: в пределах одной квантовой системы два и более тождественных фермиона (протона, электрона, нейтрино и других частиц) не могут одновременно находиться в одном же квантовом состоянии. Принцип Паули заставляет частицы с одним квантовым состоянием сохранять расстояния между собой и объясняет наличие в структуре атома электронных оболочек, а соответственно, и многообразие химических элементов. Этот принцип объясняет, почему материя остается плотной, а не распадается на более мелкие части. В 1930 году физик предположил существование самой таинственной элементарной частицы — нейтрона (нейтрино). Через 26 лет экспериментальные физики наконец смогли открыть эту частицу, причем именно там, где предсказывал Паули.

Более 800 000 книг и аудиокниг! 📚

Получи 2 месяца Литрес Подписки в подарок и наслаждайся неограниченным чтением

ПОЛУЧИТЬ ПОДАРОК