Музыка атомов

В твердых телах и жидкостях свобода атомов ограничена, поскольку их движения сдерживаются электромагнитным взаимодействием, создающим между ними прочную связь. Это взаимное влияние, соединяющее миллиарды ядер и электронов, вводит определенную сложность, отсутствующую в газе, молекулы которого часто можно рассматривать как практически независимые. Вещество твердых тел и жидкостей не только взаимодействует с окружающим миром, но и поддерживает тесные связи внутри самого себя. Изучение газов помогает понять диалог, который свет ведет с каждым атомом.

Чтобы сделать этот диалог видимым, газ может быть нагрет или подвергнут воздействию электрического поля, — опыт, распространенный в лабораториях XIX века. Одним из наиболее популярных приборов в то время была газоразрядная лампа: стеклянная колба с двумя электродами, между которыми создается разность потенциалов. Внутри лампы находится газ — водород, гелий, криптон или пары ртути и натрия.

Разница между непрерывным спектром твердого тела и дискретным спектром газа.

В первом случае перед нами непрерывный диапазон цветов от красного до фиолетового. Во втором мы видим полосы изолированных цветов.

К: красный О: оранжевый Ж: желтый 3: зеленый Г: голубой Ф: фиолетовый

При превышении порогового напряжения лампа испускает интенсивное свечение. Если пропустить ее свет через призму, можно наблюдать последовательность тонких линий различных цветов, разделенных полосами черного цвета. Спектр газов, таким образом, гораздо проще спектра излучения твердых тел или жидкостей (непрерывного вдоль широкого диапазона частот). Если воспользоваться аналогией из предыдущей главы, это соответстует такому распределению, когда вес концентрируется вокруг нескольких дискретных значений (см. рисунок выше).

Спектроскописты поняли, что разность потенциалов влечет испускание из катода (отрицательного электрода) потока электронов, которые пересекают лампу в направлении анода (положительного электрода). Если на своем пути эти электроны сталкиваются с молекулами газа, это порождает световое излучение, которое ученые проанализировали с помощью призмы. Каким образом работает прибор, было неизвестно. Единственное, чем располагали физики, — это набор светящихся линий, наблюдаемых в спектре каждого газа. Как показано на рисунке, для водорода при очень низком давлении видимы четыре линии, соответствующие цветам с длинами волн 410 нм (фиолетовый), 434 нм (голубой), 486 нм (зеленый) и 656 нм (красный). Почему именно эти длины волн? Почему для каждого элемента эти волны разные? Все это было тайной.

Экспериментальная установка для определения видимого спектра водорода. Г азоразрядная трубка содержит водород в газообразном состоянии и начинает светиться, как только разность потенциалов превышает заданный порог. Линза и прорезь собирают и направляют часть света, передаваемого на призму, которая раскладывает луч на цвета.

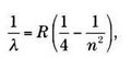
В 1885 году Иоганн Якоб Бальмер, швейцарский математик, зарабатывавший на жизнь преподаванием в женском институте Базеля, проанализировал эту проблему. Он не искал решение в лаборатории, а довольствовался изучением данных, опубликованных физиками-экспериментаторами. Внимание ученого привлекла головоломка с водородом. В 60 лет он оказался способен найти модель, которая бросала вызов воображению физиков. Она выглядела так:

где n является целым числом (3, 21, 102 и так далее) при n> 2 и где R — постоянная Ридберга со значением R = 1,097 х 107 м-1. При введении в это уравнение п = 3, 4, 5 и 6 ? водорода, кажется, появляется из ниоткуда: 656 нм, 486 нм, 434 нм и 410 нм.

Бальмер расшифровал математическую структуру, скрытую за вальсом спектральных линий, но ему не хватало понимания того, как энергия превращается в свет. Этот вопрос занимал всех спектроскопистов того времени, в том числе Ганса Мариуса Хансена, работавшего в Копенгагене. Он постарался получить как можно более узкие линии всех известных элементов, а объяснение их появления, считал Хансен, нужно было возложить на физиков-теоретиков. Именно поэтому ученый обратился к своему однокашнику, молодому датчанину Нильсу Бору со словами: «Почему бы вам не попытаться объяснить формулу Бальмера?» Бор задумался.

Этот вызов по своей природе очень отличался от того, с которым столкнулись Планк и Эйнштейн. Датчанин оказался лицом к лицу со структурой, состоящей из отдельных атомов: в газе атомы ведут себя словно хор, который поет одну ноту в унисон. Изучая их спектральные линии, можно понять, о чем поет каждый из них. А непрерывный обмен квантами между световым лучом и осцилляторами, образующими стенки печи, напоминает какофонию толпы, комментирующей концерт, выходя из зала.

Отправной точкой для Бора служила модель атома Резерфорда: массивное ядро, в котором концентрируется положительный электрический заряд, скомпенсировано отрицательным зарядом электронов на орбите. Аналогия с Солнечной системой была неизбежна: ядро играет роль Солнца, а электроны напоминают планеты. Да и сила гравитационного притяжения подобна силе электрического — обе слабеют с квадратом расстояния. Так же как Луна, которая не падает на Землю благодаря своей скорости, сохраняющей ее подвешенной в состоянии постоянного падения, электроны не могут себе позволить ни секунды отдыха. При этом они ведут себя не совсем так, как Луна, поскольку обладают электрическим зарядом. Согласно теории Максвелла электрические заряды излучают свет, и, следовательно, движение уменьшает их энергию. Эта постоянная энергетическая «кровопотеря» превращает орбиту электрона в самоубийственную спираль, направленную к ядру. Предсказания Максвелла приговорили Вселенную к мелодраматическому затуханию: все электроны в конечном итоге столкнулись бы с ядрами, уничтожившись в ослепительной вспышке спустя 10~8 с. Картина ошеломляла, но секунды шли, а атомы Вселенной сохраняли стабильность. Вытащив модель Резерфорда из шкафа, Бор рассмотрел ее для частных случаев. Результаты противоречили модели. Более того, они противоречили аксиомам евклидовой геометрии, да и вообще здравому смыслу.

Вот к каким предположениям пришел Бор. 

— Электроны не имеют в своем распоряжении всего пространства вокруг. Они могут двигаться только по круговым орбитам, расположенным на определенном расстоянии от ядра. Это было предпосылкой для появления квантовой физики: фиксированный радиус орбиты не допускал непрерывного диапазона значений, однако электрон может перескакивать с одной орбиты на другую. 

— Находясь на орбите, электрон не излучает свет и не тратит энергию. Это называется стационарным состоянием.

— Каждая орбита соответствует разной величине энергии, так что квантование пространства сопровождается аналогичным квантованием энергии. Последняя увеличивается с удалением от ядра. 

— Электрон не приговорен вечно двигаться по своей орбите, а может перемещаться на другие. Например, он может перейти на орбиту с меньшим радиусом и, соответственно, меньшей энергией. При этом электрон сбрасывает избыточную энергию, испуская пакет излучения, или фотон. Также электрон может перейти на более длинную орбиту, но для этого ему необходим приток энергии извне. В этом случае он поглощает энергию фотона, испущенного другим электроном или при столкновении с другой частицей. В результате электрон переходит в возбужденное состояние, что крайне странно, поскольку, следуя едва ли не универсальному правилу природы, электрон стремится найти состояние с наименьшей энергией. 

— Прыжки электронов с одной орбиты на другую происходят за счет фотонов, так что энергетический баланс соблюдается. Разность энергий между состоянием конечной орбиты (?f) и начальной (?i) выражается отношением Планка:

?? = ?f- ?i = h · v.

Постоянная Планка, после применения к свету, была использована в атоме. Согласно Бору, кванты печи вызывали непрерывные прыжки электронов вверх и вниз на протяжении всей энергетической лестницы атомов, составляющих стенки печи.

Квазинезависимые молекулы газа образуют лестницы с хорошо определимыми широкими ступенями, особенно на низших уровнях. И наоборот, в твердых телах и жидкостях интенсивное взаимодействие астрономического количества частиц создает мельчайшие энергетические ступени, ничтожные по высоте. Электроны имеют доступ к почти бесконечному диапазону переходов — и большим, и почти незаметным скачкам, — генерируя фотоны бесконечного количества частот, что и дает непрерывный спектр.

Почему классическая физика должна соглашаться с правилами Бора, которые казались несколько произвольными? С помощью простых расчетов ученый получил выражение для энергии каждой орбиты в своей модели в соответствии с целым числом, п, которое будет названо главным квантовым числом:

где m — масса электрона, е — его электрический заряд, K соответствует коэффициенту пропорциональности закона Кулона, a h — постоянной Планка.

Значение п характеризует орбиты разных радиусов. Отрицательный знак говорит, что электрон обладает меньшей энергией, когда он связан с атомом, чем когда он на свободе: энергия необходима, чтобы отделить его от ядра (рисунок 1). Чем меньше n, тем больше нужно энергии. Основное состояние соответствует n = 1. Таким образом формируется последовательность концентрических кругов (рисунок 2).

Вычитая значения энергии для двух различных радиусов и использовав выражение Планка, Бор получил формулу Бальмера. Кроме того, он вывел постоянную Ридберга из более фундаментальных констант, таких как масса и заряд электрона или скорость света. Формула Бора была полнее, чем предложенная Бальмером: видимый спектр водорода, с которым работал преподаватель из Базеля, состоял только из четырех переходов, от орбит n = 3, n = 4, n = 5 и n = 6к более низкой орбите, с n = 2, а Бор мог вычислить длину волны для каждого перехода между любыми орбитами. Спектроскописты уже определили, что линии за пределами видимого диапазона находятся в инфракрасном и ультрафиолетовом спектрах, и вычислили их частоту. Уравнение [1] помогало это сделать точнее.

РИС. 1

Модель Бора также примерно объясняла, что происходит в газоразрядной лампе, в которой через водород проходит электрический разряд. Электрон тока, генерируемого между электродами, сталкиваясь с молекулой газа, передает энергию одному из электронов молекулы, заставляя его двигаться на более высокую орбиту, где он на короткое время остается в возбужденном состоянии. Частота излучаемого фотона зависит от энергетической ступени: чем ступень выше, тем больше энергия фотона и, таким образом, больше его частота. Линии спектра Бальмера создают своего рода рентгенографию ступеней атома водорода (рисунок 2).

РИС. 2

Итогом работы Бора стала статья в трех частях «О строении атомов и молекул», опубликованная в 1913 году. Он пронзил квантовые потемки, оставив, впрочем, в стороне ряд вопросов. Как подчеркнул английский математик Джеймс Джинс, «существует только одна причина — не считая менее значительных — принять эту гипотезу: ее успех». Однако после того как первоначальная эйфория поутихла, появились теоретические сомнения, основанные на том, что Бор проигнорировал. Шрёдингер справедливо заметил: 

«...? то время как так называемые стационарные состояния, в которых обычно находится атом (то есть периоды относительно неинтересные, когда ничего не происходит), были описаны с точностью часовщика, теория умолчала о переходных фазах, или «квантовых скачках», как их стали называть». 

Модель помещала атом под стробоскопический свет, где электроны двигались в темноте, но никогда не оказывались застигнуты в середине процесса. Бор первый признал эти ограничения: «Эта модель не претендует на то, чтобы быть истинным объяснением: я не говорю, почему излучение испускается».

Сформулированные постулаты объясняли только поведение атомов с одним электроном, то есть водорода и положительных ионов, таких как Не+ (атом гелия с потерянным электроном), Li++ (атом лития, потерявший два электрона) и так далее. По мере того как методика анализа была усовершенствована и на смену призмам пришли дифракционные решетки, оказалось, что известные спектральные линии в реальности состояли из более мелких групп линий. Этот набор новых частот был частью тонкой структуры, которую модель Бора никак не объясняла.

Существовали и другие подводные камни. Предполагалось, что электрон движется по орбите вокруг ядра со скоростью, близкой к 1% от скорости света, — достаточно, чтобы породить релятивистские эффекты, явно отсутствовавшие в модели. Кроме того, модель игнорировала и другой аспект: как для водителя дорога движется под колесами его автомобиля, так для электрона ядро — движущийся положительный заряд, производящий магнитное поле. В сущности, проблемы тонкой структуры и относительности были тесно связаны.

Прежде чем менять парадигму, стоило вначале усовершенствовать ее. Этому себя посвятил Арнольд Зоммерфельд. Сам облик этой легендарной личности свидетельствовал о студенческой вспыльчивости: лоб Зоммерфельда был отмечен шрамом, полученным в фехтовальной дуэли. Он был убежден в том, что модель атома нуждается в дополнениях, которые раскрыли бы богатство линий тонкой структуры. Исследователь начал с предположения о том, что орбиты имеют эллиптическую форму, что позволило ему играть с направлениями. К этим новым атрибутам он присовокупил новые параметры, целые числа, связанные друг с другом, которые примкнули к числам, введенным Бальмером.

Схема модели Зоммерфельда, показывающая, что траектории электронов могут быть круглыми или эллиптическими. Квантовое число ? означает размер орбиты;l — вид эллипса, m — его наклон.

Таким образом, n стало главным квантовым числом, дающим представление о размере орбиты. Небольшое n соответствовало электрону, расположенному близко к ядру, в то время как большое располагало его на периферии атома. Следующее квантовое число, l, определяло сплюснутость эллипса. Третье, m, соответствовало направлениям, в которых были сориентированы орбиты (см. рисунок).

Несмотря на эту новую концепцию орбит, атом Зоммерфельда излучал такое же количество энергии, что и атом Бора. Во время квантовых переходов он генерировал фотоны с теми же частотами, которые образовывали те же спектральные линии, проецировавшиеся на экран. Пришло время обратиться к специальной теории относительности. Согласно теории Эйнштейна, тела изменяют массу (а следовательно, и энергию: Е = mc?), когда их скорость увеличивается или уменьшается. Этот эффект незаметен при рассмотрении ускорения, производимого макроскопическими телами в окружающей нас действительности, но в бурной жизни электронов он не может быть проигнорирован. Еще Кеплеру и Ньютону было известно, что для прохождения по эллиптическим орбитам тела должны постоянно менять свою скорость. Этих небольших изменений хватало, чтобы вызвать тонкие смещения в энергетических уровнях, что и объясняет расщепление линий.

Модель Бора — Зоммерфельда с ее квантовыми скачками, генерирующими порции энергии, произвела эффект взрыва, отстоящего на световые годы от классической физики, но она породила почти столько же проблем, сколько решила. Можно ли вычислить, когда произойдет скачок электронов? В каком направлении будут излучаться фотоны? Да и в чем, собственно, состоит квантовый скачок? Электрон, словно иллюзионист, исчезает на одной орбите, чтобы мгновенно появиться на другой! Такое поведение настолько же сбивало с толку, как если бы Юпитер вдруг исчез и вновь появился на орбите Марса. Или электрон переходит на другую орбиту постепенно? У Шрёдингера подобный произвольный характер предположений вызывал настоящее отвращение, и он отказывался признать новую модель: «Говорят, что электрон, вращающийся вокруг атома, регулярно делает оборот на чем-то вроде орбиты, не испуская излучение. Никто не знает, почему он не излучает: согласно теории Максвелла — должен».

Простой водород оказался в затруднительном положении, когда его вынули из изолированной ячейки и поместили в электрическое и магнитное поле. Когда в лаборатории старая газоразрядная лампа была подвергнута воздействию электрического поля, которое накладывалось на созданное с помощью электродов, известные линии снова умножились (эффект Штарка). То же самое происходило при приближении магнита (эффект Зеемана). Новые линии оставались плотно соединенными, когда поля были слабыми, но расходились с ростом их интенсивности.

Для восстановления порядка в этих экспериментальных джунглях следовало вначале усугубить неясность. Следующий шаг был сделан французским аристократом, который посмотрел на электроны сквозь призму квантования. Если, несмотря то что свет — это волна, он может вести себя как частица (фотон) в атомной среде, ведут ли себя частицы, известные своими корпускулярными свойствами, как волны?

Более 800 000 книг и аудиокниг! 📚

Получи 2 месяца Литрес Подписки в подарок и наслаждайся неограниченным чтением

ПОЛУЧИТЬ ПОДАРОК