Анатомия уравнения

Волновое уравнение Шрёдингера — это дифференциальное уравнение в частных производных:

где ? — функция времени и трех пространственных координат (х, у, z), i = sqrt(-1) и h = h/2n. Чтобы понять это выражение, необходимы математические знания, выходящие за рамки этой книги. Поэтому мы ограничимся упрощенной версией уравнения — в одном измерении и опустив зависимость от времени:

Этого упрощения вполне достаточно, чтобы проиллюстрировать широкий спектр квантовых состояний. Но прежде чем его интерпретировать, представим каждый его компонент.

Когда говорят об уравнении, первое, что приходит на ум, — это алгебраическое выражение с одним или несколькими неизвестными:

x?+x=7

x?-y?+3=0

Уравнение обычно подвергает одну или несколько переменных величин — неизвестных чисел — серии действий, выраженных математическими операциями (сложение, вычитание, умножение, деление, возведение в степень и извлечение корня), которым удовлетворяют только решения.

До введения в XVI веке французом Франсуа Виетом современной символической записи с буквами, египетские и арабские математики выражали условия уравнения в словесной форме. Так, уравнение вида х?+х=3 формулировалось в виде вопроса: «Что за вещь, умноженная сама на себя и добавленная к себе, дает три в результате?» При словесном описании естественно желание придать «вещи» более широкое значение, увеличивая набор операций и множество математических объектов, к которым они применяются.

Следуя стремлению к абстрагированию, появившемуся в течение XIX века, в условия уравнений были добавлены не только числа, но и более сложные математические объекты, такие как функции или матрицы (последние, как мы увидим, сыграли первостепенную роль в истории квантовой механики). Сейчас нам нужно добавить в наш набор только функции и новую операцию — дифференцирование.

Простейшие функции зависят от одной переменной, у (х), и представлены кривыми (рисунок 3, на следующей странице).

Каждому значению х уравнения соответствует значение у, таким образом появляется множество точек с координатами (х, у), образующих кривую.

Функции с двумя переменными представлены в виде поверхности, размещенной в трехмерном пространстве; с тремя переменными и более — бросают вызов способности человеческого мозга их представить. Как и числа, функции могут подчиняться целому ряду математических условий, и те, которые этим условиям удовлетворяют, становятся решениями уравнения.

Дифференциальные уравнения практически ничем не отличаются от алгебраических, однако их решения разнообразнее (решениями могут быть функции), как и возможные действия (операции включают производные). Например:

РИС. 3

где k — константа.

Древние так сформулировали бы это уравнение: какая функция, будучи дифференцированной, равна константе k, помноженной на ту же функцию? Ответ: у(х) = у0еkx, где у0 = у(0) — дополнительное требование к уравнению.

Само обозначение у(х) подчеркивает зависимость у от х. Производная функции отражает динамику — то, как первая переменная величина меняется с помощью второй. На кривой рисунка 4 (стр. 79) у изменяется прогрессивно при условии, что значение х увеличивается. Чтобы выявить эту динамику изменения, можно использовать касательную, то есть прямую, которая касается кривой функции в одной точке. Наблюдая за углом, который образует касательная к оси абсцисс, мы получаем наглядное представление о значении производной функции. Горизонтальная касательная недвусмысленно говорит о нулевой производной (у не изменяется при изменении х), тогда как касательная, приближающаяся к оси ординат, соответствует производной, движущейся к бесконечности (и очень увеличивающейся с малейшим изменением х). В настоящем случае наклон всех касательных является малым, то есть они постепенно удаляются от абсцисс (рисунок 5).

РИС. 4

РИС. 5

РИС. 6

РИС. 7

РИС. 8

Если бы кривая представляла план участка, мы едва ли заметили бы неровности, шагая по нему Однако переменная величина у некоторых функций изменяется прерывисто (рисунок 6).

Рисуя производные (касательные), мы замечаем, что среди них есть некоторое число вертикальных. По такой поверхности идти довольно сложно (рисунок 7).

Касательные новой функции больше тяготеют к вертикальной оси и не приближаются к горизонтальной, динамика их изменений замедляется в вершинах и впадинах кривой (рисунок 8).

В дифференциальные уравнения также могут быть введены вторичные производные, то есть производные производных. Информация, предоставленная этим повторным действием, говорит о динамике изменений касательной.

Мы видим, что если взять какую-либо функцию, как на рисунке 9, затем ее вытянуть (рисунок 10) и, наконец, сжать (рисунок 11), переменная у принимает одинаковые значения в обоих случаях. Тем не менее на рисунке 10 она это делает таким образом, что касательная изменяется постепенно, при условии, что х растет (ее вторичная производная мала); в обратном случае, на рисунке 11, касательная сильно колеблется (ее вторая производная увеличена).

Когда неизвестная функция зависит от одной переменной, как в случае с у(х), дифференциальное уравнение называется обычным. Когда она зависит от нескольких переменных, как f(x, у) или g(x, у, z), речь идет о дифференциальном уравнении с частичными производными, именно таким является уравнение Шрёдингера, которое зависит, главным образом, от трех пространственных и временной координат.

РИС. 9

РИС. 10

РИС. 11

Производные оказываются идеальным инструментом для описания законов природы. Расположение молекул воздуха изменяется совсем как температура какого-либо металла, атмосферное давление, количество радиоактивных ядер при распаде, плотность пластика, натяжение кожи барабана... Эти изменения могут быть внезапными или постепенными, прогрессирующими постоянно или происходящими мгновенно, циклическими или хаотичными. Цель ученого — определить правила этих изменений, локализовать их агентов и посредников, понять роль, которую они играют, и установить их скорость. Дифференциальные уравнения решают эту задачу математически четко и последовательно. Они часто описывают феномены, существование которых до сих пор было вне подозрений, начиная с физической наглядности или анализа ситуации. Иногда прибегают к помощи уравнений, чтобы составить новый сценарий и потом доказать, что еще не изученное явление, следуя собственным законам, развивается, исходя из изначально сформулированных предпосылок. Именно в этой роли производные используются как профессиональный инструмент химиков, инженеров, биологов и экономистов.

Язык производных

Смысл производных помогает расшифровать потаенный язык дифференциальных уравнений. Возьмем уже привычный пример:

с его решением: у(х) =у0еkx.

Возьмем самый простой случай:

Теперь, как можно увидеть из уравнения, касательная пропорциональна значению функции в каждой точке. Решение у(х) = ех представлено на рисунке.

Несколько значений функции:

у(0) = е0 = 1

у(1) = е1 = 2,72

у(2) = е2 = 7,39

у(3) = е3 = 20,09

На самом деле мы констатируем, что у быстро возрастает при увеличении значения х и что у заставляет свою касательную принять такую же динамику (рисунок напротив).

Начиная с XVII века математический механизм, изучавший свойства функций и их производных, стали использовать в физике для прогнозирования, и этот способ предсказания до сих пор был неизвестен в истории науки. Физические соображения выражались в уравнениях, и математика давала ответ на вопрос, где будет располагаться планета Марс через пять столетий или пуля через долю секунды.

При попытке решить физические задачи использовались все грани анализа. Математики шли все дальше в джунгли дифференциальных уравнений, ведь там их ждали открытия.

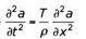
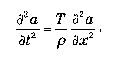
Одним из первых их любопытство пробудило волновое уравнение. С реальностью его сближала музыкальная теория, поскольку уравнение описывало колебания струны, натянутой между подставкой и колками. Уравнение описывало поведение струны после прикосновения. Применение законов Ньютона вело к следующему выражению с частичными производными:

где р и Т— две постоянные (линейная плотность струны и сила, на нее воздействующая) и где а — пространственная и временная функция, соответствующая вертикальному расстоянию, отделяющему каждую точку струны от горизонтальной плоскости (рисунок 12).

Это уравнение допускает бесконечное множество решений. Некоторые из них приемлемы для математиков, но теряют физический смысл и потому отбрасываются; другие не удовлетворяют некоторым дополнительным условиям, к примеру тому, что концы струны никогда не колеблются, что струна остается неподвижной до того момента, пока ее не коснутся или пока она не приобретет определенную форму Эти требования сокращают диапазон приемлемых решений, но также они квантифицируют значение частоты (v), с которой колеблется струна. При прикосновении к концам струны решениями являются волны, которые свободно распространяются по струне слева направо. Они могут это делать с любой частотой: тогда v является постоянной величиной. Однако при фиксации струны волны останавливаются между двумя краями, v прерывается и становится дискретной переменной. Диапазон ее значений кратен фундаментальной частоте, v1 звучание струны при этом может приближаться (через р и Т) к чистой музыкальной ноте (рисунок 13).

РИС. 12

РИС. 13

Эти колебания называются стоячими волнами: в каждой их точке колебания происходят с той же частотой, что и у встречных волн. Волны свободно распространяются вдоль струны влево или вправо, затем они сталкиваются с закрепленными концами и возвращаются обратно. Две волны встречаются и расходятся в разные стороны, при этом их наложение друг на друга образует стоячую волну. Струна оказывается разделенной на равные сегменты точками соприкосновения — узлами стоячей волны, при этом оставшаяся часть струны колеблется. Узлы первой, или фундаментальной частоты (ее также называют гармоникой) находятся на концах струны, для второй гармоники добавляется один узел, в середине струны, для третьей — два, делящие струну на трети, и так далее (см. рисунок).

Изображение струны

Чтобы лучше понять волновое уравнение, можно проиллюстрировать колебания струны с помощью серии фотографий. На каждой из них время останавливается, позволяя уловить профиль волны, наподобие изображенного на рисунке 1.

РИС. 1

Расположение струны в момент tr

Затем мы засекаем промежуток времени (ось абсцисс) и вновь отпускаем струну, концентрируя внимание на ее точке и наблюдая изменение ее положения. Изобразим это изменение, учитывая, что струна колеблется сверху вниз. Если мы расположим эти фотографии рядом, то заметим, что последовательность точек образует вторую волну (рисунок 2). Также изменение расположения точки в зависимости от времени может быть представлено таким образом, как на рисунке 3.

РИС. 2

Последовательность рисунков отображает изменение высоты точки струны (зафиксированное положение в момент времени x1).

РИС. 3

Изменение положения струны, колеблющейся снизу вверх, в точке х1

Уравнение

говорит нам, что скорость, с которой изменяется касательная к струне, изображенная на графике ее пространственного изменения

пропорциональна скорости, с которой меняется касательная на графике временного изменения

Если, например, коэффициент Т/р больше 1, волна будет более сжатой на временной оси, чем на пространственной (рисунок 4).

РИС. 4

Если Т/р меньше 1, отношение обратное; если Т = р, касательная изменяется одинаково в пространстве и во времени.

Иными словами, мы видим перед собой классическое описание работы струнного музыкального инструмента, сделанное с помощью постоянной функции, но со своими переменными, частотой, квантами. Между квантованием энергии уравнения Бора (1) для атомов и уравнением частоты гармоник нет существенного различия. Подчеркнем, что эта мощная аналогия до сих пор не привлекала внимания физиков, однако Шрёдингер не прошел мимо. Его уравнение предполагает бесконечность чисто математических решений, но если ввести дополнительные условия, то один из его параметров — энергия — становится квантованным.

фундаментальная или первая гармоника

вторая гармоника

третья гармоника

Первая статья Шрёдингера, посвященная структуре атома, называлась «Квантование как задача о собственных значениях» (1926). Под термином «собственное значение» имеется в виду параметр, который является квантованным после наложения на дифференциальное уравнение определенных условий. В этой статье Шрёдингер определенно ссылается на колебания струны. Целые числа, возникающие при рассмотрении атома водорода, получаются «естественным образом, сами по себе, подобно тому как сама по себе получается целочисленность числа узлов при рассмотрении колеблющейся струны. Это новое представление может быть обобщено, и я думаю, что оно тесно связано с истинной природой квантования».

Пришло время вернуться к выражению:

где m — масса электрона и Е — энергия системы. Функция ? связана с информацией относительно расположения электрона таким способом, который пока еще нельзя объяснить. Функция V(x) представляет любое воздействие Вселенной на электрон. Когда она равна нулю, предполагают, что электрон является свободным, но как только электрон приближается к ядру и оказывается связанным с атомом, функция V(x) перестает быть равной нулю и подчиняется электрическому присутствию протонов:

где Z — число протонов, идентифицирующее атом. Мы располагаем ядро в начале координат (х = 0) таким образом, что переменная х также означает расстояние, отделяющее нас от ядра. Введем это выражение в уравнение Шрёдингера:

Мы можем рассматривать V(x) как произведение постоянной (соединяющей Кc, Z и е?) и функции расположения 1/х:

где функция 1/х принимает вид как на рисунке 14 (стр. 89), на котором мы видим, что функция 1/х стремится к бесконечности при х = 0 и убывает до исчезновения, когда х становится очень большим числом.

Свободный электрон

Когда функция У исчезает, электрон становится свободным, и уравнение Шрёдингера сокращается до своей самой простой формы:

Это очень похоже на уже рассмотренное первое дифференциальное уравнение:

Из этого мы делаем вывод, что касательная у пропорциональна значению функции в каждой точке. Именно сейчас проявляется динамика изменения касательной функции ?. Отметим, что при повышенном значении для Е (электрон с высокой энергией) вторая производная будет больше постоянной ?. Мы окажемся в ситуации сжатой волны с малой длиной (см. рисунок 11, стр. 80). Если мы возьмем выражение де Бройля ? = h/p, то малая ? соответствует большой р (то есть повышенной скорости р = mv). И наоборот, малая Е приводит нас к случаю вытянутой волны, с большой длиной и, таким образом, низкой скоростью: электрон с низкой энергией. В уравнении (1) электрон, не испытывая никакого влияния окружающей среды, находится в состоянии, похожем на состояние свободной струны, и его частота постоянна. К тому же форма ? очень похожа на волну, распространяющуюся в свободном пространстве. Энергия частицы также не является квантованной и предполагает бесконечный спектр значений.

График кривой показывает, что V оказывается принципиальным в уравнении, когда значение х мало (когда электрон блуждает около ядра). Если мы разделим число на другое, намного меньшее, чем единица, то получим в качестве результата большое число. Чем сильнее уменьшается знаменатель, тем больше становится коэффициент. Например:

И наоборот, если х увеличивается, коэффициент

уменьшается, пока не станет незначительным. Эти две тенденции показывают, что электрон подвержен воздействию притяжения, когда он находится поблизости от ядра (где V сильно увеличивается). И его присутствие едва заметно, когда он очень далеко (V уменьшается, пока не исчезнет). В последнем случае, когда V стремится к нулю, уравнение сокращается до того вида, который соответствует свободному электрону (рисунок 15).

Мы предполагаем, что в любой момент ядро находится в состоянии покоя (или что можно не обращать внимания на его скорость, как и на скорость электронов).

РИС. 14

РИС. 15

Действие V, связывающее электроны с ядром, равносильно тому, чтобы зафиксировать струну на подставке скрипки.

Так как функция а(х,t) должна быть равна нулю на концах или соответствовать форме струны до касания, существуют дополнительные условия к ?. Она должна быть постоянной и ее значение должно стремиться к нулю при нахождении далеко от ядра. Настоящее значение этих условий будет раскрыто в следующей главе. В тот момент, когда условия будут выполнены, энергия системы будет квантована согласно формуле Бора. Функции решения ? ведут себя так же, как стоячие волны, создавая в атоме стабильную ситуацию.

Главная загадка уравнения Шрёдингера (которая будет решена в следующей главе) — какая физическая величина представляет знаменитую функцию ?? Этот вопрос вызвал бурные споры с того самого момента, когда он был поставлен.

Наглядность функции ?

Чтобы описать реальный атом водорода, необходимо ввести три координаты:

В трех измерениях анализ уравнения усложняется. Очевидно, чтобы визуализировать решения, необходимы четыре оси: одна — для ? и три другие — для х, у и z. И если мы введем время t, то нам понадобится пятая ось. Но несмотря на эти сложности, можно сделать несколько замечаний относительно вида искомого решения. Например, проясняя (1), мы замечаем, что сумма динамики изменения касательных ?

которую мы назовем Rизменения, равна:

Переобозначим постоянные для большей ясности:

Когда мы удаляемся от начала координат (х, у и z, большие), SQRT(x? + у? + z?) приобретает намного большее значение, чем b, и коэффициент уменьшается до тех пор, пока не исчезнет. Таким образом, из уравнения следует:

Rизменения =3?.

Принимая во внимание, что одно из условий, поставленных функции ?, было таким, чтобы она стремилась к нулю при удалении от ядра, произведение постоянной а через ? в равной степени будет тяготеть к нулю. Тогда последнее уравнение показывает, что сумма динамики изменения трех касательных стремится к нулю с ростом расстояния: Rизменения -> О· Кажется разумным предположить, что они изменятся по отдельности. Если бы это было так, у них была бы возможность соединиться, чтобы исчезнуть при сложении. Вдалеке от протонов ? исчезает, и касательные принимают горизонтальное положение. И наоборот, когда электрон находится рядом с ядром, где значения переменных х, у и z, малы, сумма динамики изменения касательных будет выше. Это поведение обязано тому факту, что при Rизменения выражение

стремительно растет и превышает постоянную а. На кривой функции ? мы увидим взлеты и падения около начала координат. Затем функция успокаивается при условии, что она удаляется (см. рисунок).

Для изучения вида функции ? она может быть разделена на три зоны. B A Rизменения увеличивается, и ? представляет несколько касательных. В С Rизменения стремится к нулю как касательная ?.

Научные дискуссии казались бесконечными, и Макс Борн, который предложил наиболее удовлетворительный ответ, должен был ждать около 30 лет, чтобы получить за него Нобелевскую премию. Шрёдингер сам не мог принять свою интерпретацию. Он всегда думал о том, что ? представляла распределение заряда электрона, как если бы частица рассыпалась в пространстве. Словно разлитая вода, накапливающаяся в углублениях и избегающая возвышенностей, электрический заряд концентрируется больше в одних местах, чем в других. Волновая функция рисует карту распределения плотностей. Шрёдингер стремился к классической физике, но научная честность заставляла его заметить, что его традиционное видение теряет силу во владениях атома. Выход нашелся в отказе от примитивного значения частицы: «Материя представляет собой волны и только волны». Вселенная состояла из колебаний, которые часто сосредотачивались в определенных зонах пространства, создавая иллюзию частиц с макроскопической точки зрения. Математики могут играть с волновыми конструктивными и деструктивными интерференциями, суммируя их и заставляя принимать почти все формы, какие только возможно, особенно форму сгустка или, говоря техническим языком, форму волнового пакета (см. рисунок).

Проблема состоит в том, что практически невозможно поддерживать связность структуры по мере ее перемещения, и все заканчивается тем, что она распадается, словно айсберг, подходя к экватору. Волны стремятся к тому, чтобы рассеяться при малейшем столкновении, а пакет раскрывается, и поведение частиц, когда они сцепляются с окружающей средой, сразу же меняется. К концу четвертого дня творения электрон, заключенный внутри атома, мог бы рассеяться по четырем концам Солнечной системы. Перед наукой встала та же проблема, что и перед де Бройлем: необходимо было заново гармонизировать два противоположных объекта — волну и частицу.

Волновые помехи распространяются в некоторых пределах подобно тому, как это сделала бы частица.

Одним из важных последствий уравнения Шрёдингера является то, что оно объясняет квантовые феномены, такие как скачки, с помощью определенных функций определенных переменных, а также дифференциальных уравнений, открытых Ньютоном. Шрёдингер представлял электрон как электрически заряженное облако, обволакивающее атом, при этом сам электрон преобразовывался в пространственно-распределенную электромагнитную волну, движущуюся непрерывно, согласно приказам ?, и без всякого квантового скачка: 

«Не требует особых разъяснений то обстоятельство, что представление, по которому при квантовом переходе энергия преобразуется из одной колебательной формы в другую, значительно более удовлетворительно, чем представление о перескакивающем электроне». 

Когда атом поглощал или излучал свет, ? изменялась совсем как струна, тронутая гитаристом. Серия различных энергетических состояний напоминала о непрерывном ряде музыкальных нот. Шрёдингер поддерживал эту точку зрения до конца жизни. Он сформулировал первое основное дифференциальное уравнение квантовой механики; первое, определяющее самодостаточное условие, не будучи классической подпоркой; первое, которое не было пародией на прошлую и современную физику. Его уравнение — то же, что ньютоновское F=mx а для классической механики. Оно предопределило развитие квантовых систем и само содержало зачатки этого развития. Функция ?, введенная Шрёдингером, стала для физиков необходимой опорой, которой они пользовались в то время, когда квантовая наука подрывала основы, но пока еще не представляла собой целостной концепции. Шрёдингер нарисовал карту территории и создал путеводитель, позволяющий ее изучать без риска потеряться. Все это наполнило энтузиазмом многих молодых исследователей. Один из них, физик Ганс Бете, очень высоко оценил значение уравнения Шрёдингера, сказав о нем: 

«...любая проблема, к которой подходят с новыми инструментами квантовой механики, могла быть успешно решена, и сотни проблем, накопленные в течение десятков лет экспериментов, лежали на расстоянии вытянутой руки в ожидании, что кто-то за них возьмется». 

Уравнение Шрёдингера открывало многочисленные феномены, о существовании которых до сих пор никто не подозревал, такие как туннельный эффект, сверхпроводники или сверхтекучесть. Как отметил британский физик Поль Дирак, шесть статей, отправленные Шрёдингером в журнал Annalen der Physik («Анналы физики») в 1926 году, «содержат в себе большую часть физики и всю химию» и теряют силу с появлением релятивистских эффектов или магнетизма (который также является релятивистским эффектом).

Выслеживая ?

Принимая во внимание, что визуализировать ? из-за ее четырехмерности нельзя, мы предпримем небольшое предприятие, чтобы узнать, не существует ли какого-то наглядного представления решений. Чтобы указать положение какой-либо точки пространства Р, иногда лучше использовать единственное расстояние (луч r) и два угла (? и ?), чем длины трех перпендикулярных осей (см. рисунок).

Положение точки Р может быть обозначено тремя последовательными координатами (три расстояния вдоль трех перпендикулярных осей: х, у, z) или длиной ориентированного луча длины г и углами ? и ?.

Увеличивая или уменьшая г и изменяя его направление углами ? и ф, можно указать положение любой точки пространства с такой же точностью, как и с помощью обычных координат. Эти две системы эквивалентны друг другу, ? может быть выражена посредством как х, у и z, так и r, ? и ?:

?(x, у, z) = ?(r, ?, ?).

Зависимость от расстояния может быть отделена от угловой функции следующим образом:

?(r, ?,?) = R(r) • (?,?).

R (r) описывает, как ? изменяется по определенному направлению, заданному углами. На следующем рисунке представлена функция для нескольких значений энергии системы (Е1, Е2 и Е3 формулы Бора).

Как и с колеблющейся струной, число узлов увеличивается с ростом энергии. На основном уровне узлов нет, а затем их количество начинает расти. Эти решения говорят о сферической симметрии, применимой и к атому: при вращении вокруг себя углы не меняются, как если бы мы рассматривали сферу.

Шрёдингер искал уравнение, вписывающееся в рамки теории Эйнштейна, — и он нашел одно такое, однако его решения не соответствовали экспериментальным результатам. Ученый не учел одно из свойств электронов (они ведут себя как крошечные магниты), о существовании которого в то время было еще неизвестно. Релятивистскую версию уравнения в 1928 году сформулировал Поль Дирак.

Почти единогласно публикация уравнения была признана хорошей новостью. Планк поведал Шрёдингеру о том, что прочитал его статьи «с тем же напряжением, с каким любопытный ребенок выслушивает развязку загадки, над которой он долго мучился». Эйнштейн, как всегда, высказался афористично: «Замысел Вашей работы свидетельствует о подлинной гениальности». Но до нового понимания атома оставалось еще 14 месяцев, пока Вернер Гейзенберг не нашел выход из лабиринта, в котором плутали физики. В научных кругах Гёттингена и Копенгагена Гейзенберг имел репутацию настоящего enfant terrible. За четыре месяца до появления волнового уравнения он начал отвергать любой подход к квантовой области, основанный на концепциях, вытекающих из повседневного опыта: нельзя сравнить электроны с мячами или волнами на поверхности пруда, хоть такое сравнение и просится. Столкновение между Гейзенбергом — сторонником дискретности и корпускулярное™ — и Шрёдингером — знаменосцем непрерывности и волнообразности — было неизбежным и стимулировало развитие науки. Язык дифференциальных уравнений был для физиков привычнее, чем рациональный матричный анализ, которым умело пользовался Гейзенберг и радикальная абстрагированность которого вызывала у них головокружение. Но несмотря ни на что Гейзенберг оставил за Шрёдингером право ответить на вопрос, что же представляла собой функция ?. Студенты-физики в Цюрихе обычно сочиняли насмешливые стишки о своих профессорах. Одно из них звучало так:

Шрёдингер может с греческой пси

Считать день и ночь — Боже, спаси.

Но он и сам, как видно, не знает,

Что эта пси у него означает.

Греческая буква «пси» была началом греческого же корня psykho («душа»). Но что означала эта буква? И здесь в борьбе точек зрения Шрёдингера и Гейзенберга нас ждет неожиданный поворот.

Более 800 000 книг и аудиокниг! 📚

Получи 2 месяца Литрес Подписки в подарок и наслаждайся неограниченным чтением

ПОЛУЧИТЬ ПОДАРОК