Неопределенность

Осознавая последствия своей интерпретации волновой функции, Макс Борн принял рискованное решение: «Я готов отказаться от детерминизма ради атомного плана».

В 1927 году Гейзенберг предоставляет для такого отказа весомые аргументы и четко определяет границы детерминизма относительно квантовой физики. Своими мыслями он делится с Паули, написав тому письмо на десять с лишним страниц, которое впоследствии послужит основой для статьи «О наглядном содержании квантовотеоретической кинематики и механики». В работе была освещена статистическая интерпретация функции |?|?, а ее публикация в марте этого же года ознаменовала конец эпохи классической механики. Кроме того, работа вводила в физику новое уравнение, которое станет таким же известным, как уравнение Шрёдингера.

Динамика Ньютона основывалась на следующих постулатах: расположение и скорость тела в любой момент могут быть определены с произвольной точностью. Теоретически траектория определяется решением дифференциального уравнения, а на практике достаточно определить время и положение объекта. Но для этого необходимо проследить за его движением. Это условие не создает трудностей, когда речь идет о мяче или космическом корабле. Но как увидеть электрон? Для начала его необходимо осветить. Однако осветить частицу — не то же самое, что осветить мяч. В случае с мячом существует значительное отличие в масштабах между размером структуры, которую рассматривают (мяч), и тем, что его освещает (фотон). А элементарная частица и фотон — это два квантовых объекта, которые вступают между собой во взаимодействие.

Мы можем проследить за траекторией мяча на теннисном корте. При этом свет воздействует на электроны, в изобилии встречающиеся в пространстве (затем эти электроны возвращаются на уровни с более низкой энергией и излучают фотоны, которые улавливаются клетками нашей сетчатки), но не смещает мяч с его траектории. Как мы видели в главе 1, Эйнштейн пришел к выводу, что фотоны должны себя вести как частицы. Затем Комптон доказал в лаборатории, что светящиеся кванты заставляют электроны изменить траекторию, словно при столкновении бильярдных шаров. Таким образом, простая попытка осветить частицу вызывает ее смещение относительно положения, которое мы хотели зафиксировать. Можно ли узнать, где находилась частица до того, как ее траектория была изменена? Нет. Единственный способ узнать положение частицы — это зафиксировать его, при этом сам факт наблюдения влечет изменение этого положения. Представим, что теннисный мяч, получив импульс от ракетки, меняет свою траекторию при каждом столкновении с фотоном. В этом случае было бы практически невозможно воспроизвести подобную хаотичную траекторию. Именно это и происходит на уровне атомов.

Можно попробовать уменьшить энергию света, чтобы сократить воздействие на электрон и избежать значительного изменения его траектории. Согласно формуле Планка (Е = h х v), уменьшение энергии света происходит путем снижения частоты или удлинения электромагнитных волн, что одно и то же. Но эта стратегия не срабатывает. Четкость изображения (оно формируется с помощью электромагнитных волн) зависит от длины волны, которая с ним взаимодействует. Чем сильнее волны удлиняются, тем более размытой становится картинка, которую они дают. Это какой-то заговор! Мы способны или определить траекторию электрона, но при этом сам факт наблюдения эту траекторию нарушает, или сделать так, чтобы энергия не влияла на траекторию частицы, но при этом мы не сможем частицу рассмотреть.

Вернемся к примеру с теннисным кортом. Предположим, что у нас есть очень простой прибор, позволяющий менять длину волны света, с которой мы хотели бы смотреть соревнования. В принципе, на короткий период мы можем обеспечить достаточную четкость изображения, но фотоны толкают мяч с такой силой, что световые частицы, проходящие перед нашими глазами, не могут зафиксировать его положение. Будем увеличивать длину световой волны, снижая таким образом их влияние на мяч. Изображение корта станет более размытым. В тот момент, когда начинает вырисовываться траектория мяча, мы превысим допустимое разрешение и снова окажемся погруженными в квантовый туман. Как видите, существует степень неопределенности, присущая наблюдению, которую нельзя уменьшить. А все потому, что свет (измеряющий субъект) и электрон (измеряемый объект) являются квантовыми сущностями, которые воздействуют друг на друга.

Неопределенность в цифрах

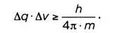
Возьмем отношение ?q · ?? => h/4?, которое можно переформулировать, используя ??, при этом р=m • у:

Неравенство показывает, что граница неопределенности для q и v зависит от отношения между постоянной Планка и массой т. Более того, для макроскопических объектов h будет незначительной, следовательно, ?q и ?? тоже могут иметь малые значения. Таким образом, создается впечатление, что мы можем определить результат с желаемой точностью. Но с того момента как масса и размер приближаются к постоянной Планка, неопределенности начинают выходить на первый план. Чтобы доказать это, применим отношения неопределенности к трем различным объектам.

1. Автомобиль. Примем его массу примерно равной одной тонне:

Предположим, что автомобиль перемещается со скоростью 100 км/час (около 30 м/сек):

Разница между размером машины, который измеряется в метрах, и неопределенностью положения равна единице с 39 нулями перед ней. Невообразимо мало.

2. Пчела массой ОД грамма:

Это насекомое может перемещаться с максимальной скоростью 7 м/с:

Для пчелы длиной несколько сантиметров масштаб разницы между неопределенностью ее положения и размером — 10~30. Это очень мало.

3. Электрон массой около 9,11 х 10-31 кг:

Присвоим электрону среднюю скорость 10 6 м/сек, или примерно 1% от скорости света:

Радиус орбиты электрона водорода в фундаментальном состоянии (модель Бора), как правило, является величиной, лежащей в основе модели атома. Как мы уже увидели, радиус соответствует волновой функции Шрёдингера для той же энергии. Его значение r = 5,29 х 10-11 метров. Таким образом, в случае с электроном, неопределенность его положения — одного порядка с размером места, в котором он находится: невозможно его отследить.

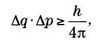
Мы рассмотрели конкретный случай, но подобная неопределенность может наблюдаться в любом экспериментальном контексте. Физики обозначают степень неопределенности измерения с помощью символа ?. Таким образом, ?x = 0 означает, что пространственная координатах частицы может иметь лишь одно значение, то есть положение частицы четко зафиксировано. Однако ?x = 5 означает, что частица может находиться где угодно в радиусе 5 метров. Гейзенберг не был удовлетворен изучением неопределенности и определил ее границы при помощи постоянной Планка:

где q означает положение частицы, а р — ее импульс. Речь идет о принципе неопределенности, в котором объединены две различные физики, и наше знание об одной обнаруживается через информированность о другой.

Заразительность неопределенности

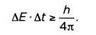
Помимо импульса и положения, Гейзенберг присвоил свое соотношение неопределенности другим парам сопряженных величин, произведение которых измеряется в тех же единицах, что и действие, то есть, подобно постоянной Планка, определяется как произведение энергии на время:

М, L и Т— фундаментальные физические величины (масса, длина и время). Считается, что произведение времени на энергию выражается в тех же единицах, что и произведение длины на импульс, а также постоянная Планка:

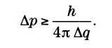
Гейзенберг сделал следующий вывод: «Чем точнее определено положение, тем меньше мы можем сказать в этот момент об импульсе, и наоборот». Предложенное им уравнение позволяет играть с этими нечеткостями. Как только какое-либо значение присваивается ?q, ?р вынуждено соответствовать условию:

Когда ?q стремится к нулю, знаменатель очень быстро уменьшается, что устремляет ?р в бесконечность. Знать точное положение — игнорировать все, что касается импульса. На макроскопическом уровне, где h невозможно обнаружить, уравнение вводит нас в привычную ситуацию, когда q и р определены одновременно с желаемой точностью:

h ? 0; ?q • ?p => 0; сравнимо с ?q - ?р - 0.

Принцип неопределенности Гейзенберга работает как качели, на которых то взмывают вверх, то опускаются «ниже уровня радара» волновые и корпускулярные свойства квантовых сущностей. Чем сильнее Aq уменьшается, тем лучше мы можем наблюдать частицы. Напротив, уменьшение р отправляет нас к волне, положение которой не может быть определено, но ее скорость v — четко определена (см. рисунок). Таким образом, каждый из элементов квантового мира меняется исходя из того, откуда на него устремлен взгляд наблюдателя.

Некоторые физики решили, что принцип неопределенности ставит под сомнение их квалификацию экспериментаторов, и принялись ставить опыты, определяющие положение и импульс, нарушая при этом установленные ограничения. Выдвинул свои аргументы против такого субъективного аспекта квантовой теории и Эйнштейн.

Однако все возражения потерпели неудачу.

Чтобы вычислить траекторию объекта, необходимо знать всего лишь две его характеристики: положение в определенный момент и импульс, указывающий направление, в котором объект перемещается. Отношения неопределенностей не связаны с траекториями и, таким образом, помогают воплотить давнюю мечту Гейзенберга, которая появилась у него еще на Гельголанде. Тогда физик предупреждал: «Я все силы отдам уничтожению понятия орбиты». Такая решимость пугала Эйнштейна, общая теория относительности которого основывалась на расчете траекторий в пространстве, в четырех измерениях. Но идеи Гейзенберга угрожали не только траекториям. В своей статье от 1927 года ученый пришел к выводу: «На самом деле, однако, в жесткой формулировке закона причинности, гласящей: «Если мы точно знаем настоящее, мы можем вычислить будущее», ложной является не вторая часть, а предпосылка. Мы принципиально не можем узнать настоящее во всех деталях». Это незнание подрывает нашу способность к предвидению. Разрыв связи между настоящим и ближайшим будущем, вычисленным благодаря знанию и положения, и импульса, повлек крах классической физики. Конечно, эта невозможность существовала в науке и ранее. Она ощущалась во всех теориях, касавшихся как атомов и молекул, так и определения положения и импульса мириада классических объектов. Однако этот провал закона причинности связан с человеческим несовершенством, а не с действием объективного природного механизма.

Отношения неопределенностей кроются в самых дальних уголках атомной физики и немного напоминают алеф Борхеса: они одновременно и отражение мира, и его центр, они облегчают интуитивное понимание самых разных ситуаций. Если электрон сталкивается с ядром, его положение известно, однако в связи с этим он приобретает огромное ускорение и, следовательно, тут же отдаляется от ядра. Ограничения на скорость накладывает только теория относительности. Если средняя скорость равна 1% скорости света, то отношения Гейзенберга предписывают электрону пространственную неопределенность, равную размеру детской игровой площадки. Именно таким образом неопределенность заботится о равновесии материи.

Более 800 000 книг и аудиокниг! 📚

Получи 2 месяца Литрес Подписки в подарок и наслаждайся неограниченным чтением

ПОЛУЧИТЬ ПОДАРОК