Глава 14. В ПРОШЛОЕ ПУТЬ ЗАКРЫТ
Пират совершает побег
Как ни печально, но я должен сообщить вам пренеприятное известие. Пока мы чертили графики, межзвездный пират Клио бежал из-под ареста. Это случилось ночью. Часовой увлекся детективным романом и не заметил, как заключенный робот (на следствии было установлено, что Клио — действительно робот, причем очень поверхностно обученный) расплавил своим огненным дыханием стальную решетку и вылез из окна милиции.
Было тихо. Звезды стояли в вышине. В траве стрекотали кузнечики. Клио на цыпочках выбрался на улицу. Последним трамваем приехал на окраину городка. Добрался лесными тропами до своего звездолета «Медуза», спрятанного в кустах.
В голове Клио бродили туманные мысли. Роботу было досадно, что так нелепо сложилась его жизнь. Хотелось изменить темное прошлое, начать жизнь сначала. «Бежать, немедленно бежать... Но куда? Куда? О, если бы мне удалось вернуться хоть на год назад! — мечтал космический бандит.— Тогда я не стал бы снова на преступный путь... Я начал бы заниматься спортом, пошел бы учиться в вечернюю школу взрослых, из разрушителя я превратился бы в созидателя...»

Тут Клио сверкнул глазами и хлопнул себя по лбу. «Ба! — воскликнул он.— А ведь я еще в силах исправить свое печальное положение...» Отрывочные сведения по теории относительности забродили в его отчаянной кристаллической голове и наконец вылились в логическую цепочку, которая показалась пирату безошибочной.
«Моя задача, — торопливо соображал робот-разбойник, — заключается в том, чтобы вернуться в прошлое, года на два назад. Тогда я, само собой разумеется, начну новую жизнь, мирную и честную. Из теории Эйнштейна вытекает, что для путешествия в прошлое нужно совсем немного — просто полетать некоторое время со скоростью большей, чем скорость света. Недаром эта идея увековечена в стихах:
Сегодня в полдень пущена ракета.
Она летит куда быстрее света
И долетит до цели в шесть утра
...Вчера».
Клио с пафосом продекламировал это четверостишие и стал размышлять дальше.

«Правда, — вспомнил он, — Эйнштейн наложил запрет на сверхсветовые скорости, ибо иначе пришлось бы допустить нарушение принципа причинности и разрешать следствиям совершаться до причин. Но мне-то как раз и не нужно никакой причинности! Я готов дать разрешение следствию произойти раньше причины! В этом мое спасение! Значит, дело за малым — полетать быстрее света. И моя верная «Медуза» поможет мне в этом!»
Клио ласково погладил черный бок ракеты, подбросил охапку хвороста в топливный отсек. Кряхтя, влез в кабину, захлопнул люк и решительно нажал на стартер.
«Медуза» заворчала, закашляла дюзами, рванула вверх и, сбив несколько шишек с окружающих сосен, взмыла в высокое черное небо.
Бдительность детектива
У Клио был план. Беглый пират считал этот план гениальным. И — о, удача! — судьба распорядилась так, что всю техническую часть плана разбойнику удалось исполнить блестяще.
Сидя за штурвалом «Медузы» и всматриваясь в звездное небо, дерзкий беглец заметил невдалеке то, что искал — разгоняющийся космический лайнер высшего класса. Это была наша старая знакомая, красавица «Заря». Теперь она совершала экскурсионный рейс по маршруту Земля — Бетельгейзе. И вот, пока «Заря» двигалась сравнительно медленно, Клио сумел нагнать ее и тайком посадил свою черную «Медузу» на ее широкую обтекаемую крышу. Посадил и крепко привязал танталовым канатом. А «Заря» все разгонялась. Подсматривая в рубку звездолета, Клио видел на спидометре цифры: 100 тысяч километров в секунду, 200, 250 тысяч. Потом — 290; 299; 299,9... Никем не замеченный, пират разгуливал по крыше в своих изящных магнитных полуботинках. Он потирал руки: еще бы, его «Медуза» быстрее, чем 150 тысяч километров в секунду, лететь не могла.
Ничего злодейского в замысле Клио на этот раз не было. С «Зари» он задумал улететь в прошлое — всего-навсего. Как только спидометр межзвездного лайнера показал скорость лишь на стотысячную долю процента меньше скорости света, пират решил, что пора действовать. Влез в «Медузу», нацелил ее вперед, точно по пути «Зари», и включил свой ракетный двигатель на полную мощность.
«Медуза» вздрогнула и понеслась. Тотчас «Заря» оказалась где-то далеко-далеко позади. Скорость «Медузы» относительно «Зари» составила все доступные ей 150 тысяч километров в секунду. Значит, относительно Земли всего вышло примерно 450 тысяч километров в секунду, а это в полтора раза быстрее света. «Полетаю немного, а потом, не сбавляя скорости, поверну домой. Ура! Да здравствует светлое, безгрешное прошлое, в которое я вернусь!» — ликовал Клио.
Радужные картины рисовались в мечтах бандита. Он блаженно закрыл глаза и начал дремать. Но тут из радиотелефона прозвучали чеканные слова:
Гражданин Клио, руки вверх!
Пират вздрогнул. Оглянулся по сторонам. Рядом с «Медузой» летела легкая спецракета с надписью: «УРСС». Бандиту был превосходно известен зловещий смысл этого сокращения: «Уголовный розыск Солнечной Системы». В иллюминаторе виднелись серые, со спокойной смешинкой глаза того самого детектива, который задержал Клио в кафе. Майор Прошкин! На беглеца было угрожающе нацелено дуло пистолета.
Вас не может быть! — завопил ошарашенный пират.
Почему же? — иронически спросил майор.
Потому что вы можете быть только в будущем, а я уже лечу в прошлое...— Разбойник от волнения заикался.— Я ведь несусь бы-бы-быстрее света!..
Ничего подобного, — устало возразил Прошкин.— Ваша скорость относительно Земли на четыре миллионных доли процента меньше световой. Так что в прошлое вы не летите. Так же, как и я. Даже мы, работники уголовного розыска, не можем превысить световую скорость. Вы опять доказали свою невежественность— не знаете, как складываются скорости в теории относительности. Стыдно, гражданин! Давайте-ка поворачивайте!..
Упражнения на эскалаторе
На Земле Клио был водворен в камеру и наказан за побег принудительным уроком физики. Тема урока — релятивистские законы сложения скоростей.
И вот учебный каземат. Властным взглядом майор Прошкин усадил заключенного Клио за парту. Написал на доске:
«Задача. Эскалатор в метро ползет вниз со скоростью три километра в час. Пассажиру некогда, и он сбегает по эскалатору со скоростью три километра в час относительно ступенек. Какова скорость пассажира относительно стен шахты?»
Прошу решить, — сухо приказал майор.
Клио вспомнил, как давно-давно, еще маленьким шалопаем, школяром-третьеклассником, он получил похожую задачу. Тогда он написал 3+3=6 и заработал пять с плюсом. И сейчас взрослый Клио решил задачу так. Робко написал на доске результат сложения скоростей пассажира и эскалатора: 6 километров в час.
Майор сказал, что ответ правильный, но строго добавил:
Однако, когда вы, задумав убежать в прошлое, захотели так же просто сложить скорости, близкие к световой, задача не решилась.
Почему же? — спросил недоумевающий Клио.
Потому, что при малых относительных скоростях ничтожны поправки, вносимые теорией Эйнштейна. А при скоростях, близких к световой, они огромны. Их необходимо учитывать, чего вы не сделали.
Клио сокрушенно молчал.
Скажите, что такое скорость? — терпеливо спросил майор.
Путь, пройденный за какое-то время, — с готовностью ответил Клио.
Прошкин согласился:
Да. Но вот что надо помнить. Когда вы беззаботно складывали скорости по правилам школьной арифметики, то молчаливо допускали, что масштабы пути и времени для шахты, для пассажира и для эскалатора одинаковы. Может это быть, если скорость эскалатора и пассажира близки к скорости света? Может? Я вас спрашиваю!..
Наверное, нет, — неуверенно промямлил заключенный.
Не «наверное», а наверняка нет! — воскликнул Прошкин.— Как только эскалатор помчался относительно шахты почти со скоростью света и пассажир побежал с подобной скоростью относительно эскалатора (допустим такое ради сохранения прежнего примера), у каждого участника этого сложного движения появляются релятивистские оценки событий в других системах отсчета. Для шахты метры эскалатора будут укоротившимися, секунды — удлинившимися, для эскалатора метры пассажира сократятся и секунды пассажира станут дольше. Поэтому для шахты скорость пассажира будет хоть и больше скорости эскалатора, но меньше световой. Так что и этим воровским способом обогнать свет и, значит, удрать во вчерашний день не удастся. Вот она, ваша ошибка, гражданин Клио! Поражаюсь вашему невежеству!
Клио опустил голову. Он был посрамлен. Ему было мучительно стыдно. А майор продолжал:
Далее допустите совсем уж невероятное происшествие— в метро погас свет. Бегущий пассажир вынимает из кармана фонарик и освещает себе дорогу. Свет из фонарика мчится со скоростью света. Это — относительно фонарика. А относительно шахты?
Э... Вдвое больше, гражданин майор...
Неверно! Ничего вы не поняли! Относительно шахты скорость света — та же. Она не увеличивается ни на йоту! Ведь мы с вами вернулись в своих рассуждениях туда, откуда отправлялись, — ко второму постулату Эйнштейна: скорость света не зависит от движения источника.
Под конец урока майор подошел к доске.
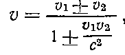
Если бы вы, гражданин Клио, проштудировали графики Минковского (в этой книжке — «необязательные» главы двенадцатая и тринадцатая), то вряд ли затеяли бы эту свою нелепую попытку убежать в прошлое. Мировая линия вашей пиратской «Медузы» ни при каких условиях не может пересечь световую линию. В той мировой точке, где «Медуза», сорвавшись с крыши мчащегося звездолета, полетела вперед, ее мировая линия лишь чуточку круче наклонилась к световой линии, попав в область скоростей, где для Земли еще дольше секунды и короче километры. Вот график (калибровочных линий времени и расстояний я не рисую):


Мировая линия «Медузы» лишь чуть нагнулась, и скорости сложились совсем не арифметически. Вот формула: суммарная скорость

где v1 — скорость первой движущейся системы отсчета, в которой движется со скоростью вторая система отсчета; знак плюс — для совпадающих по направлению движений, минус — для противоположных. Когда скорости v1 и v2 малы по сравнению со световой, выходит обычное классическое v = v1±v2. Ясно?
— Ясно, — не очень уверенно сказал Клио.
Ну, а читателям, я надеюсь, вполне ясно.
Холодный душ
Криминальные, торговые и транспортные эпизоды, приведенные в последних главах, изобретены для пущей наглядности эйнштейновских эффектов. Но, надо покаяться, сделано это с полной безответственностью. Никогда и нигде не сбудется ничего подобного. Причин много. Самые веские щедро выдает в своих формулах сама теория относительности. Вникнув в них, видишь, что придуманные нами театральные эпизоды бесстыдно утрированы.
Если проделать вычисления, то станет особенно ясно, как далеки релятивистские скорости от привычных нам скоростей — поездов, самолетов, даже спутников и лунников. Так, в реактивном самолете время замедляется для земного наблюдателя на 0,000 000 000 000 5; на такую же ничтожную долю уменьшается длина. Для космического корабля в орбитальном полете соответствующая цифра составляет 0,000 000 000 5 — пять десятимиллиардных. Попробуй заметь! Правда, эта величина доступна измерению средствами современной экспериментальной техники. Запустив спутник, через несколько лет можно надеяться уловить отставание летящих на нем часов примерно на тысячную долю секунды по сравнению с земными. Но практически — никакого изменения. Вплоть до скоростей в тысячи километров в секунду действует старая, проверенная и перепроверенная механика Ньютона.
Даже при скорости 30 000 километров в секунду релятивистские эффекты ничтожны: относительное замедление часов и укорочение продольных размеров составляет пять тысячных. Половина световой скорости дает 15 сотых. Чтобы зримо ощутить своеобразие эйнштейновской физики, нужны еще более высокие скорости — совсем близкие к заветному пределу. 225 тысяч километров в секунду — время замедляется и длина уменьшается на 25 процентов от собственных; 260 тысяч — на 50 процентов, 294 тысячи — на 80 процентов, 299 тысяч— на 90 процентов. Разумеется, ни о какой «торговле», ни о каких «подглядываниях в зеркала» или «посадках на ракету» при таких гигантских относительных скоростях не может быть и речи.
Далее эффекты Эйнштейна нарастают стремительно. Скорость, меньшая световой на сотую долю процента, дает семидесятикратное замедление времени.
Судя по злоключениям с космической диверсией (около двадцати световых минут релятивистского пути ракеты против двух световых месяцев расстояния, измеренного с Земли), скорость звездолета «Заря» не достигла световой меньше, чем на стотысячную долю процента. В эпизоде с бегством Клио суммарная скорость была меньше световой на четыре миллионных доли процента (так, кажется, и было сказано сыщиком-релятивистом, поймавшим пирата).
Но, увы, с подобными скоростями никакие ракеты летать не могут. Тут наука особенно решительно одергивает бесшабашную фантастику. И охлаждающий душ на возбужденные головы мечтателей льет опять-таки сама теория Эйнштейна. Вето накладывает относительность массы — еще не упомянутый важнейший эффект, о котором пойдет речь в следующей главе.
Более 800 000 книг и аудиокниг! 📚
Получи 2 месяца Литрес Подписки в подарок и наслаждайся неограниченным чтением
ПОЛУЧИТЬ ПОДАРОК