§ 2. Вынужденные колебания с торможением
Итак, мы можем решить задачу о колебательном движении, пользуясь изящной математикой. Однако изящество немногого стоит, когда задача и так решается просто; математику надо использовать тогда, когда решаются более сложные задачи. Перейдем поэтому к одной из таких задач, которая, кроме того, ближе к действительности, чем предыдущая. Из уравнения (23.5) следует, что, если ? в точности равна ?0, амплитуда колебания становится бесконечной. Этого, конечно, не может быть, потому что многие вещи, например трение, ограничивают амплитуду, а мы их не учитывали. Изменим теперь (23.2) так, чтобы учесть трение.
Сделать это обычно довольно трудно, потому что силы трения очень сложны. Однако во многих случаях можно считать, что сила трения пропорциональна скорости движения объекта. Именно такое трение препятствует медленному движению тела в масле или другой вязкой жидкости. Когда предмет стоит на месте, на него не действуют никакие силы, но чем скорее он движется и чем быстрее масло должно обтекать этот предмет, тем больше сопротивление. Таким образом, мы предположим, что в (23.2), кроме уже написанных членов, существует еще один — сила сопротивления, пропорциональная скорости: Ff=-c(dx/dt). Удобно записать с как произведение m на другую постоянную ?; это немного упростит уравнение.
Мы уже проделывали такой фокус, когда заменяли k на m?20, чтобы упростить вычисления. Итак, наше уравнение имеет вид
(23.6)
или, если положить с=m? и k=m?20 и поделить обе части на m,
(23.6а)
Это самая удобная форма уравнения. Если ? очень мало, то мало и трение, и, наоборот, большие значения ? соответствуют громадному трению. Как решать это новое линейное уравнение? Предположим, что внешняя сила равна F0cos(?t+?); можно было бы подставить это выражение в (23.6а) и попытаться решить полученное уравнение, но мы применим наш новый метод. Представим F как действительную часть ^Fexp(i?t), а x — как действительную часть ^xexp(i?t) и подставим эти комплексные числа в (23.6а). Собственно говоря, и подставлять-то нечего; внимательно посмотрев на (23.6а), вы тут же скажете, что оно превратится в
(23.7)
[Если бы мы попытались решить (23.6а) старым прямолинейным способом, то оценили бы по достоинству магический «комплексный» метод.] Поделив обе части уравнения на exp(i?t), найдем отклик осциллятора ^x на силу ^F
(23.8)
Итак, отклик ^x равен силе ^F, умноженной на некоторый множитель. Этот множитель не имеет ни названия, ни какой-то своей собственной буквы, и мы будем обозначать его буквой R:

тогда
(23.9)
Этот множитель можно записать либо как p+iq, либо как рexp(i?). Запишем его в виде рexp(i?) и посмотрим, к чему это приведет. Внешняя сила — это действительная часть числа F0exp(i?)еexp(i?t), она равна F0cos(?t+?). Уравнение (23.9) говорит нам, что отклик ^x равен ^FR; мы условились писать R в виде R=?exp(i?); следовательно,

Вспомним (об этом уже говорилось), что физическое значение х, равное действительной части комплексного числа ^хexp(i?t), равно действительной части ?F0exp[i(?+?)]exp(i?t). Но ? и F0 — действительны, а действительная часть exp[i(?+?+?t)] — это просто cos(?t+?+?). Таким образом,
(23.10)
Это значит, что амплитуда отклика равна амплитуде силы F, умноженной на коэффициент усиления ?; мы нашли «размах» колебаний. Но это еще не все: видно, что х колеблется не в такт с силой; фаза силы равна ?, а у x; она сдвинута на дополнительную величину ?. Следовательно, ? и ? — это величина и фазовый сдвиг отклика.
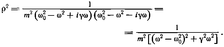
Найдем теперь значение ?. Квадрат модуля любого комплексного числа равен произведению этого числа на комплексно сопряженное, т. е.
(23.11)
Можно найти и фазовый угол ?

значит,
(23.12)
Знак минус возник оттого, что tg(-?)=-tg?. Угол ? отрицателен при всех значениях ?, т. е. смещение х отстает по фазе от силы F.
На фиг. 23.2 показано, как изменяется ?2 при изменении частоты (?2 для физика интереснее, чем ?, потому что ?2 пропорционально квадрату амплитуды, а значит, и той энергии, которую передает осциллятору внешняя сила).

Фиг. 23.2. График зависимости ?2 от ?.
Очевидно, что если ? мало, то основной член в (23.11) — это 1/(?20-?2)2, и отклик стремится к бесконечности, если ? приближается к ?0. Но эта «бесконечность» — не настоящая бесконечность, потому что даже если ?=?0, то все еще остается слагаемое 1/?2?2. Зависимость сдвига фазы от частоты изображена на фиг. 23.3.

Фиг. 23.3. График зависимости ? от ?.
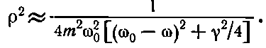
Иногда приходится иметь дело с формулой, немного отличающейся от (23.8); она тоже называется «резонансной» и, несмотря на некоторое отличие от (23.8), описывает те же самые явления. Дело в том, что если значение ? очень мало, то наиболее интересная область резонансной кривой лежит около частоты ?=?0, а здесь при малых ? формулу (23.8) с большой степенью точности можно заменить приближенной формулой. Поскольку ?20-?2=(?0-?)(?0+?), то для ?, очень близких к ?0, разность квадратов почти равна 2?0(?0-?), а ?? можно заменить на ??0. Значит, ?20-?2+???2?0(?0-?+i?/2) и

Легко найти и ?2:

А теперь решите сами такую задачу: с увеличением частоты значение ?2 сначала растет, достигает при ?0 максимума, а потом снова убывает. На каком расстоянии от ?0 расположены частоты, которым соответствуют значения ?2, вдвое меньшие максимального? Покажите, что при очень малом ? эти точки отстоят друг от друга на расстояние ??=?. Это значит, что резонанс делается более острым по мере того, как влияние трения становится все слабее и слабее.
Другой мерой ширины резонанса может служить «добротность» q=?0/? (чем уже резонанс, тем больше Q); если Q=1000, то по шкале частот ширина резонансной кривой равна всего 0,001. Резонансной кривой на фиг. 23.2 соответствует Q=5.
Явление резонанса важно потому, что оно проявляется довольно часто; описанию некоторых видов этих проявлений мы посвятим остаток главы.
Более 800 000 книг и аудиокниг! 📚
Получи 2 месяца Литрес Подписки в подарок и наслаждайся неограниченным чтением
ПОЛУЧИТЬ ПОДАРОК