§ 3. Переходные колебания в электрических цепях
Посмотрим, как выглядят переходные колебания. Для этого соберем цепь, изображенную на фиг. 24.2.

Фиг. 24,2. Электрическая цепь для демонстраций переходных колебаний.
В этой цепи разность потенциалов между концами индуктивности L поступает в осциллоскоп. Неожиданное включение рубильника S включает дополнительное напряжение и вызывает в осцилляторной цепи переходные колебания. Эти колебания аналогичны колебаниям механического осциллятора, вызванными неожиданным ударом. Сама цепь представляет собой электрический аналог механического осциллятора с затуханием, и мы можем наблюдать колебания при помощи осциллоскопа. Он покажет нам кривые, анализом которых мы и займемся. На фиг. 24.3—24.6 представлены кривые затухающих колебаний, полученные на экране осциллоскопа. На фиг. 24.3 показаны затухающие колебания в цепи с большой Q, т. е. с малым значением ?.

Фиг. 24.3. Затухающие колебания.
В такой цепи колебания затухают не очень быстро; мы видим довольно длинную синусоиду с медленно убывающим размахом.
Теперь давайте посмотрим, что произойдет, если мы будем уменьшать Q, так что колебания должны затухать быстрее. Чтобы уменьшить Q, увеличим сопротивление цепи R. При повороте ручки сопротивления колебания действительно затухают скорее (фиг. 24.4).

Фиг. 24.4. Колебания затухают быстрее.
Если еще увеличить сопротивление, то колебания затухнут еще быстрее (фиг. 24.5).

Фиг, 24.5. Колебания почти исчезли.
Но если сопротивление увеличить сверх некоторого предела, колебаний мы вообще не увидим. А может быть, нам просто отказывают глаза? Увеличим еще сопротивление и получим тогда кривую, представленную на фиг. 24.6; по ней можно лишь с натяжкой сказать, что в цепи произошли колебания, ну разве что одно.

Фиг. 24.6. Колебаний нет.
Можем ли мы математически объяснить это явление?
Сопротивление механического осциллятора, конечно, пропорционально ?. В нашем случае ? — это R/L. Теперь, если увеличивать ?, то в столь приятных нам решениях (24.14) и (24.15) наступает беспорядок; когда ?/2 становится больше ?0, решения приходится записывать по-другому:

Это снова два решения, которые приводят нас к решениям exp(i?1t) и exp(i?2t). Подставив теперь ?1, получим

Никаких колебаний. Чисто экспоненциальное убывание. То же самое дает и второе решение

Заметим, что квадратный корень не может превысить ?/2; даже если ?0=0, оба члена равны. Если же ?20 отличается от ?2/4, то квадратный корень меньше ?/2 и выражение в круглых скобках всегда положительно. Это очень хорошо! Почему? Да потому что если бы это выражение было отрицательным, то е пришлось бы возводить в положительную степень и мы получили бы возрастающее со временем решение. Но при увеличении в цепи сопротивления колебания не могут возрастать, значит, мы избегли противоречия. Итак, мы получили два решения; оба решения экспоненциально затухают, но одно из них стремится «умереть» гораздо скорее. Общее решение, конечно, представляет собой комбинацию обоих решений, а значения коэффициентов А и В зависят от того, как начинаются колебания, каковы начальные условия. В нашей цепи случилось так, что А — отрицательное число, а В — положительное, поэтому на экране осциллоскопа мы увидели разность двух экспонент.
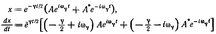
Давайте обсудим, как найти коэффициенты А и В (или А и A*), если известны начальные условия. Предположим, что в момент t=0 нам известны смещение х=х0 и скорость dx/dt=v0. Если в соотношения

подставить значения t=0, х=х0, dx/dt=v0 и воспользоваться тем, что е0=еi0=1, то мы получим


где A=AR+iAI, A*=AR — iAI. Значит,
(24.21)
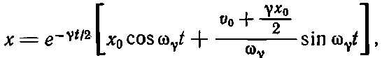
Таким образом, зная начальные условия, мы полностью определили А и А*, а значит, и кривую переходного решения. Можно записать решение и по-другому. Вспомним, что

тогда
(24.22)
где ??=+?(?20-(?2/4). Мы получили формулу затухающих колебаний. Такая формула нам не понадобится, однако отметим ее особенности, справедливые и в более общих случаях.
Прежде всего поведение системы, на которую не действует внешняя сила, описывается суммой (суперпозицией) временных экспонент [мы записали их в виде exp(i?t)]. Такое решение хорошо передает истинное положение вещей. В общем случае ? — это комплексное число, и его мнимая часть соответствует затуханию колебаний. Наконец, тесная математическая связь синусоидальных и экспоненциальных функций, о которой говорилось в гл. 22, физически часто проявляется в переходе от колебаний к чисто экспоненциальному затуханию при критических значениях некоторых параметров системы (в нашем случае это было сопротивление ?).
Более 800 000 книг и аудиокниг! 📚
Получи 2 месяца Литрес Подписки в подарок и наслаждайся неограниченным чтением
ПОЛУЧИТЬ ПОДАРОК