§ 5. Ускорение
Следующий шаг на пути к уравнениям движения — это введение величины, которая связана с изменением скорости движения. Естественно спросить: а как изменяется скорость движения? В предыдущих главах мы рассматривали случай, когда действующая сила приводила к изменению скорости. Бывают легковые машины, которые набирают с места за 10 сек скорость 90 км/час. Зная это, мы можем определить, как изменяется скорость, но только в среднем. Займемся следующим более сложным вопросом: как узнать быстроту изменения скорости. Другими словами, на сколько метров в секунду изменяется скорость за 1 сек. Мы уже установили, что скорость падающего тела изменяется со временем по формуле v=9,8t (см. табл. 8.4), а теперь хотим выяснить, насколько она изменяется за 1 сек. Эта величина называется ускорением.
Таким образом, ускорение определяется как быстрота изменения скорости. Всем сказанным ранее мы уже достаточно подготовлены к тому, чтобы сразу записать ускорение в виде производной от скорости, точно так же как скорость записывается в виде производной от расстояния. Если теперь продифференцировать формулу v=9,8 t, то получим ускорение падающего тела
(8.9)
(При дифференцировании этого выражения использовался результат, полученный нами раньше. Мы видели, что производная от Bt равна просто В (постоянной). Если же выбрать эту постоянную равной 9,8, то сразу находим, что производная от 9,8 t равна 9,8.) Это означает, что скорость падающего тела постоянно возрастает на 9,8 м/сек за каждую секунду. Этот же результат можно получить и из табл. 8.4. Как видите, в случае падающего тела все получается довольно просто, но ускорение, вообще говоря, непостоянно. Оно получилось постоянным только потому, что постоянна сила, действующая на падающее тело, а по закону Ньютона ускорение должно быть пропорционально силе.
В качестве следующего примера найдем ускорение в той задаче, с которой мы уже имели дело при изучении скорости:

Для скорости v — ds/dt мы получили формулу

Так как ускорение — это производная скорости по времени, то для того, чтобы найти его значение, нужно продифференцировать эту формулу. Вспомним теперь одно из правил табл. 8.3, а именно что производная суммы равна сумме производных. Чтобы продифференцировать первый из этих членов, мы не будем проделывать всю длинную процедуру, которую делали раньше, а просто напомним, что такой квадратичный член встречался нам при дифференцировании функции 5t2, причем в результате коэффициент удваивался, а t2 превращалось в t. Вы можете сами убедиться в том, что то же самое произойдет и сейчас. Таким образом, производная от ЗAt2 будет равна 6Аt. Перейдем теперь к дифференцированию второго слагаемого. По одному из правил табл. 8.3 производная от постоянной будет нулем, следовательно, этот член не даст в ускорение никакого вклада. Окончательный результат: a=dv/dt=6At.
Выведем еще две полезные формулы, которые получаются интегрированием. Если тело из состояния покоя движется с постоянным ускорением g, то его скорость v в любой момент времени t будет равна

а расстояние, пройденное им к этому моменту времени,

Заметим еще, что поскольку скорость — это ds/dt, а ускорение — производная скорости по времени, то можно написать
(8.10)
Так что теперь мы знаем, как записывается вторая производная.
Существует, конечно, и обратная связь между ускорением и расстоянием, которая просто следует из того, что a=dv/dt. Поскольку расстояние является интегралом от скорости, то оно может быть найдено двойным интегрированием ускорения.
Все предыдущее рассмотрение было посвящено движению в одном измерении, а теперь мы коротко остановимся на движении в пространстве трех измерений. Рассмотрим движение частицы Р в трехмерном пространстве. Эта глава началась с обсуждения одномерного движения легковой машины, а именно с вопроса, на каком расстоянии от начала движения находится машина в различные моменты времени. Затем мы обсуждали связь между скоростью и изменением расстояния со временем и связь между ускорением и изменением скорости. Давайте в той же последовательности разберем движение в трех измерениях. Проще, однако, начать с более наглядного двумерного случая, а уж потом обобщить его на случай трех измерений. Нарисуем две пересекающиеся под прямым углом линии (оси координат) и будем задавать положение частицы в любой момент времени расстояниями от нее до каждой из осей. Таким образом, положение частицы задается двумя числами (координатами) х и у, каждое из которых является соответственно расстоянием до оси у и до оси х (фиг. 8.3). Теперь мы можем описать движение, составляя, например, таблицу, в которой эти две координаты заданы как функции времени. (Обобщение на трехмерный случай требует введения еще одной оси, перпендикулярной двум первым, и измерения еще одной координаты z. Однако теперь расстояния берутся не до осей, а до координатных плоскостей.) Как определить скорость частицы? Для этого мы сначала найдем составляющие скорости по каждому направлению, или ее компоненты. Горизонтальная составляющая скорости, или x-компонента, будет равна производной по времени от координаты x, т. е.
(8.11)
а вертикальная составляющая, или y-компонента, равна
(8.12)
В случае трех измерений необходимо еще добавить
(8.13)
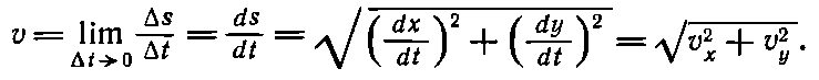
Как, зная компоненты скорости, определить полную скорость в направлении движения? Рассмотрим в двумерном случае два последовательных положения частицы, разделенных коротким интервалом времени ?t=t2-t1 и расстоянием ?s. Из фиг. 8.3 видно, что
(8.14)
(Значок ? соответствует выражению «приблизительно равно».)

Фиг. 8.3. Описание движения тела на плоскости и вычисление его скорости.
Средняя скорость в течение интервала ?t получается простым делением: ?s/?t. Чтобы найти точную скорость в момент t, нужно, как это уже делалось в начале главы, устремить ?t к нулю. В результате оказывается, что
(8.15)
В трехмерном случае точно таким же способом можно получить
(8.16)
Ускорения мы определяем таким же образом, как и скорости: x-компонента ускорения ах определяется как производная от x-компоненты скорости vx (т. е. ax=d2x/dt2 — вторая производная по времени) и т. д.
Давайте рассмотрим еще один интересный пример смешанного движения на плоскости. Пусть шарик движется в горизонтальном направлении с постоянной скоростью u и в то же время падает вертикально вниз с постоянным ускорением g. Что это за движение? Так как vx=dx/dt=u и, следовательно, скорость vx постоянна, то
(8.17)
а поскольку ускорение движения вниз постоянно и равно -g, то координата у падающего шара дается формулой
(8.19)
Какую же кривую описывает наш шарик, т. е. какая связь между координатами x и y? Из уравнения (8.18), согласно (8.17), можно исключить время, поскольку t=x/u, после чего находим
(8.19)
Эту связь между координатами х и у можно рассматривать как уравнение траектории движения шарика. Если изобразить ее графически, то получим кривую, которая называется параболой (фиг. 8.4).

Фиг. 8.4. Парабола, которую описывает падающее тело, брошенное с горизонтальной начальной скоростью.
Так что любое свободно падающее тело, будучи брошенным в некотором направлении, движется по параболе.
Более 800 000 книг и аудиокниг! 📚
Получи 2 месяца Литрес Подписки в подарок и наслаждайся неограниченным чтением
ПОЛУЧИТЬ ПОДАРОК