§ 3. Равномерное распределение и квантовый осциллятор
Только что отмеченная трудность — это еще одна сторона проблемы непрерывности в классической физике, она началась с непорядка в теплоемкостях газов, а потом эта проблема сконцентрировалась на распределении света в черном теле. Конечно, пока теоретики обсуждали эти вещи, производились еще и измерения настоящих кривых. И было установлено, что правильная кривая выглядит так, как пунктирные кривые на фиг. 41.4. Никаких рентгеновских лучей там нет. Если понижать температуру, то кривые приближаются к оси абсцисс примерно так, как того требует классическая теория, но и при низкой температуре опытные кривые тоже в конце обрываются.
Таким образом, начало кривой распределения правильно описывает опыт, а ее высокочастотный конец сбивается с верного пути. Почему же так? Когда Джеймс Джинс размышлял о теплоемкостях газов, он заметил, что движение, совершаемое с большой частотой, «замерзает» при понижении температуры. Значит осциллятор не может обладать средней энергией kT, если температура слишком мала или если частота колебаний слишком велика. А теперь вспомним, как мы выводили (41.13). Все зависело от энергии осциллятора при тепловом равновесии. Когда мы подставляли kT в (41.5), это было то же kT, что и в (41.13), т. е. средняя энергия гармонического осциллятора частоты ? при температуре Т. Классическая физика говорит, что она равна kT, а эксперимент отвечает: Нет! При очень низких температурах или при очень высоких частотах это не так. Таким образом, кривая падает по той же причине, что и теплоемкости газов. Кривую черного тела изучать легче, чем теплоемкости газов, где много сложностей, и мы сконцентрируем внимание на определении правильной кривой излучения черного тела, потому что эта кривая будет той кривой, которая расскажет нам, как средняя энергия гармонического осциллятора при любой его частоте зависит от температуры.
За изучение этой кривой взялся Планк. Сначала он нашел чисто эмпирический ответ, сравнивая опытную кривую с известными функциями, которые лучше всего эту кривую подгоняли. Таким образом, он получил эмпирическую формулу для средней энергии гармонического осциллятора как функцию температуры. Иначе говоря, он заменил kT правильной формулой, а потом нашел простой вывод этой формулы, правда, при очень странном предположении. Это предположение состоит в том, что гармонический осциллятор может поглотить за один прием только энергию ??. После этого нельзя и подумать, что осциллятор может обладать любой энергией. Конечно, это было началом конца классической физики.
Сейчас мы выведем первую правильную формулу квантовой механики. Предположим, что дозволенные уровни энергии гармонического осциллятора лежат на равном расстоянии ??0 друг от друга, поэтому осциллятор может обладать только одной из этих энергий (фиг. 41.5).

Фиг. 41.5. Уровни энергии гармонического осциллятора. Отстоят друг от друга но равных расстояниям En=n??.
Аргументы Планка выглядят немного сложнее наших, ведь это было самым началом квантовой механики, и ему приходилось кое-что доказывать. Ну, а мы просто примем как факт (который Планк и установил), что вероятность того, что занят уровень энергии Е, равна Р(Е)=?ехр(-E/kT). Исходя из этого, мы получим правильный результат.
Предположим, что у нас есть много осцилляторов и каждый колеблется с частотой ?0. Некоторые из них находятся в низшем квантовом состоянии, другие забрались на уровень выше и т. д. Нам нужно знать среднюю энергию этих осцилляторов. Чтобы найти ее, давайте вычислим полную энергию всех осцилляторов и поделим результат на их число. Тогда мы получим среднюю энергию на осциллятор при тепловом равновесии, а это то же самое, что и энергия при равновесии с излучением черного тела, и ее надо подставить в уравнение (41.13) вместо kT.
Пусть N0 — число осцилляторов в основном состоянии (состоянии с наименьшей энергией), N1— число осцилляторов в состоянии Е1, N2— число осцилляторов в состоянии E2 и т. д. Согласно гипотезе (которую мы не доказали), классические выражения для вероятности ехр(-п. э./kT) или ехр(-к. э./kT) заменяются в квантовой механике на ехр(-?E/kT), где ?E — разность энергий. Можно утверждать, что число осцилляторов в первом состоянии N1 равно произведению числа молекул в основном состоянии N0 на ехр(-??/kT). Аналогично, N2(число молекул во втором состоянии) равно N2=N0 exp(-2??/kT). Чтобы упростить алгебру, введем х=ехр(-??/kT). Тогда все выглядит очень просто:

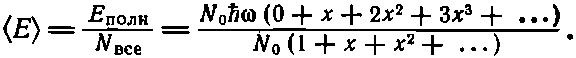
Сначала найдем полную энергию всех осцилляторов. Если осциллятор находится в основном состоянии, его энергия нуль. Если он находится в первом состоянии, то его энергия равна ??0, а таких осцилляторов N1. Значит, в этом состоянии запасена энергия N1??, или ??N0x. Энергия осциллятора во втором состоянии 2??0, а осцилляторов N2, поэтому мы получаем такую энергию: N22??=2??0N0x2 и т. д. Сложив все это, найдем полную энергию Eполн=N0?? (0+х+2х2+Зx3+...).
А сколько всего осцилляторов? В основном состоянии, конечно, N0, в первом состоянии N1 и т. д.; снова все сложим и получим Nвcе=N0(1+x+x2+x3+...). Поэтому средняя энергия равна
(41.14)
Читателям представляется возможность позабавиться этими суммами и получить от этого удовольствие. Когда вы покончите с суммированием и подставите в окончательный результат значение х, то получите, если не ошиблись
(41.15)
Эта формула была не только самой первой формулой, но и самой первой мыслью квантовой механики, и она явилась великолепным ответом на все недоумения предшествующих десятилетий. Максвелл уже понимал, что что-то неверно, но вопрос был в том, что же правильно? Здесь содержится количественный ответ — что же надо взять вместо kT. Выражение для энергии, конечно, стремится к kT при ??0 или при Т??. Попробуйте это доказать — здесь надо поступить так, как этому учит математика.
Выражение для средней энергии содержит знаменитый обрезающий множитель, который предвидел Джинс, и если использовать его вместо kT в (41.13), то мы получим распределение света в черном ящике:
(41.16)
Итак, мы видим, что при больших ? кривая резко идет вниз; хотя в числителе стоит ?3, знаменатель содержит е в чрезвычайно высокой степени; на кривой нет никакого намека на подъем, и там, где мы того не ждем, не появляется ни ультрафиолетовых, ни рентгеновских лучей!
Может возникнуть недовольство в связи с тем, что при выводе (41.16) мы пользовались квантовой теорией для уровней энергии гармонического осциллятора, а при определении эффективного сечения ?s мы оставались верны классической теории. Но квантовая теория взаимодействия света с гармоническим осциллятором приводит точно к тем же результатам, что и классическая. Это обстоятельство оправдывает то время, которое мы затратили на изучение показателя преломления и рассеяние света, основанное на представлении об атоме как о маленьком осцилляторе, — квантовые формулы получаются точно такими же.
Теперь вернемся к шумам Джонсона в сопротивлении. Мы уже отмечали, что теория мощности шума, по существу, — та же самая, классическая теория излучения черного тела. На самом деле, как мы уже говорили, сопротивление в цепи — это не настоящее сопротивление, а похоже скорее на антенну (антенна ведь тоже похожа на сопротивление, она излучает энергию). Это радиационное сопротивление, и легко подсчитать излучаемую им мощность. Эта мощность равна той мощности, которую антенна получает от окружающего ее света, и мы должны прийти к тому же самому распределению с точностью до одного, двух множителей. Мы можем предположить, что сопротивление — это генератор с неизвестным спектром мощности Р(?). Найти распределение поможет то обстоятельство, что этот генератор, включенный в резонансную цепь произвольной частоты (как на фиг. 41.2, б), порождает на индуктивности падение напряжения, определяемое равенством (41.2). Это приведет нас к тому же интегралу, что и (41.10), а продолжая работать тем же методом, мы получим уравнение (41.3). Для низких температур kT в (41.3), конечно, надо заменить выражением (41.15). Две теории (излучения черного тела и шумов Джонсона) физически тесно связаны, так как мы можем связать резонансную цепь с антенной, тогда сопротивление R будет радиационным сопротивлением в чистом виде. Поскольку (41.2) не зависит от физических свойств сопротивления, генератор G для настоящего сопротивления и для радиационного сопротивления будет одинаковым. А что же будет источником генерируемой мощности Р(?), если сопротивление R — теперь просто-напросто идеальная антенна, находящаяся в равновесии с ее окружением при температуре Т? Это излучение в пространстве при температуре Т, которое обрушивается на антенну в качестве «принятого сигнала» и служит эффективным генератором. Следовательно, двигаясь от (41.13) к (41.3), можно найти прямое соответствие между P(?) и I(?).
Объяснение явлений, о которых мы сейчас говорим (так называемый шум Джонсона, распределение Планка и теория броуновского движения, о которой мы собираемся говорить),— это достижения первого десятилетия нашего века. Узнав об этом и заглянув в историю, вернемся к броуновскому движению.
Более 800 000 книг и аудиокниг! 📚
Получи 2 месяца Литрес Подписки в подарок и наслаждайся неограниченным чтением
ПОЛУЧИТЬ ПОДАРОК