§ 5. Скорость звука

При выводе волнового уравнения для звука мы получили формулу, которая связывает при нормальном давлении скорость движения волны и относительное изменение давления с плотностью:

(47.21)

Чтобы оценить скорость изменения давления, очень важно знать, как при этом меняется температура. Можно ожидать, что в местах сгущения звуковой волны температура повысится, а в местах разрежения — понизится. Ньютон первым вычислил скорость изменения давления с плотностью, предположив, что температура при этом не меняется. Он считал, что тепло передается из одной области звуковой волны в другую так быстро, что температура измениться не успеет. Способ Ньютона дает изотермическую скорость звука, что неправильно. Правильное вычисление было сделано позже Лапласом, считавшим вопреки Ньютону, что давление и температура в звуковой волне меняются адиабатически. Поток тепла из области сгущения в область разрежения пренебрежимо мал, если только длина волны велика по сравнению с длиной свободного пробега. При этих условиях ничтожная утечка тепла в звуковой волне не влияет на скорость звука, хотя и приводит к небольшому поглощению звуковой энергии. Мы можем, естественно, ожидать, что поглощение тепла усилится, когда длина волны приблизится к длине свободного пробега, но такие длины волн примерно в миллион раз меньше длины волны слышимого звука.

Итак, для звука истинная скорость изменения давления с плотностью должна вычисляться без учета отвода тепла. Это соответствует адиабатическому изменению давления, для которого мы нашли, что PV?=const, где V — объем. Поскольку плотность ? обратно пропорциональна объему, связь P и ? для адиабатических процессов дается соотношением

(47.22)

откуда мы получаем dP/d?=?P/?. Тогда для скорости звука возникает соотношение

(47.23)

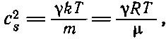
Можно еще написать сs2=?PV/?V и использовать соотношение PV=NkT. Мы видим, кроме того, что ?V есть масса газа, которую можно записать как Nm или ?, где m — масса молекулы, а ? — молекулярный вес. Таким образом, находим

(47.24)

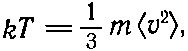
откуда видно, что скорость звука зависит только от температуры газа и не зависит от давления или плотности. Мы уже отмечали, что

(47.25)

где <v2> — средняя квадратичная скорость молекул. Отсюда следует, что сs2=?/3 <v2>, или

(47.26)

Это равенство означает, что скорость звука есть средняя скорость молекул воздуха (точнее, корень квадратный из средней квадратичной скорости), умноженная на некоторое число, грубо говоря, на 1/(3)1/2. Другими словами, она того же порядка величины, что и скорость молекул, но на самом деле несколько меньше средней скорости молекул.

В общем-то мы могли этого ожидать, потому что такое возмущение, как изменение плотности, передается в конечном счете движением молекул. Однако подобного рода соображения не подсказывают нам точного значения скорости; могло ведь оказаться, что звук переносится самыми быстрыми или самыми медленными молекулами. Разумно и весьма утешительно, что скорость звука оказалась равной приблизительно половине средней молекулярной скорости.

Более 800 000 книг и аудиокниг! 📚

Получи 2 месяца Литрес Подписки в подарок и наслаждайся неограниченным чтением

ПОЛУЧИТЬ ПОДАРОК