§ 4. Случайные блуждания
Попробуем понять, насколько меняется положение танцующей частицы за время, во много раз большее, чем промежуток между двумя ударами. Посмотрим на маленькую частицу, которая вовлеклась в броуновское движение и пляшет под непрерывно и беспорядочно сыплющимися на нее ударами молекул воды. Вопрос: Далеко ли отойдет частица от первоначального положения, когда истечет заданное время? Эту задачу решили Эйнштейн и Смолуховский. Представим себе, что мы разделили выделенное нам время на малые промежутки, скажем, по одной сотой доле секунды, так что после первой сотой доли секунды частица оказалась в одном месте, в течение второй сотой секунды она продвинулась еще, в конце следующей сотой секунды — еще и т. д. При той скорости бомбардировки, которой подвергается частица, одна сотая секунды — огромное время.
Читатель легко может проверить, что число столкновений, которые испытывает одна плавающая в воде молекула, порядка 1014 в секунду, так что на одну сотую долю секунды приходится примерно 1012 столкновений, а это очень много! Естественно, что по прошествии одной сотой доли секунды частица не «помнит», что с ней было до этого. Иначе говоря, все столкновения случайны, так что каждый последующий «шаг» частицы совершенно не зависит от предыдущего. Это напоминает знаменитую задачу о пьяном моряке, который выходит из бара и делает несколько шагов, но плохо держится на ногах, и каждый шаг делает куда-то в сторону, случайно (фиг. 41.6).

Фиг. 41.6. Зигзагообразный путь из 36 случайных шагов длиной L. Как далеко расположена точка S36 от В? В среднем на 6L.
Так где же окажется наш матрос спустя некоторое время? Конечно, мы этого не знаем! И предсказать это невозможно. Все, что можно сказать, — это то, что он где-то наверняка находится, но это совершенно неопределенно. Ну хорошо, а далеко ли он все-таки уйдет? Каково будет то среднее расстояние от бара, на котором окажется матрос? На этот вопрос мы уже ответили, потому что мы однажды уже обсуждали суперпозицию света от огромного числа различных источников с различными фазами, а это значит, что мы складывали огромное число стрелок, направленных по произвольным направлениям (см. гл. 32) Тогда мы обнаружили, что средний квадрат расстояния от одного конца цепи беспорядочных шагов до другого (т. е. интенсивность света) равен сумме интенсивностей отдельных источников. Совершенно аналогично, используя ту же математику, можно немедленно показать, что если RN— векторное расстояние от начала через N шагов, то средний квадрат расстояния от начала пропорционален числу шагов N.
Это значит, что <RN2>=NL2, где L — длина каждого шага. Поскольку число шагов пропорционально выделенному нам условиями задачи времени, то средний квадрат расстояния пропорционален времени:
(41.17)
Это не означает, что среднее расстояние пропорционально времени. Если бы среднее расстояние было пропорционально времени, то частица двигалась бы с вполне определенной постоянной скоростью. Матрос, несомненно, идет вперед, но движение его таково, что квадрат среднего расстояния пропорционален времени. Это и есть характерная особенность случайных блужданий.
Мы легко докажем, что каждый шаг увеличивает квадрат расстояния в среднем на L2. Если записать RN=RN-1+L, то окажется, что RN2 равно

а усредняя по многим попыткам, получим <RN2>=<RN-12>+L2, потому что <RN-1·L>=0. Таким образом, по индукции
(41.18)
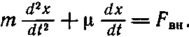
Теперь хорошо бы вычислить коэффициент a в уравнении (41.17); для этого нужно еще кое-что добавить. Предположим, что если к частице приложена сила (она не имеет никакого отношения к броуновскому движению, просто мы подыскиваем выражение для импульса), то частица будет противодействовать силе следующим образом. Прежде всего должна проявиться инерция. Пусть m — коэффициент инерции, эффективная масса частицы (не обязательно настоящая масса настоящей частицы, потому что если протаскивать частицу сквозь воду, то движется и вода). Поэтому если мы рассматриваем движение в одном направлении, то нужно обзавестись с одной стороны слагаемым m(d2x/dt2). Далее подчеркнем, что, если мы толкаем частицу равномерно, она должна тормозиться жидкостью с силой, пропорциональной скорости. Кроме инерции жидкости, существует еще сопротивление течению, вызванное вязкостью и сложным строением жидкости. Для возникновения флуктуации абсолютно необходимо существование необратимых потерь, нечто вроде сопротивления. Пока таких потерь нет, нет способа получить kT. Причина флуктуации тесно связана с такими потерями. Мы еще обсудим, каков механизм такого трения, мы поговорим о силах, пропорциональных скорости, и выясним, откуда они берутся. А пока давайте просто предположим, что такое сопротивление существует. Тогда формула для движения под действием внешней силы, если она толкает частицу самым обычным способом, выглядит так:
(41.19)
Величину ? можно определить экспериментально. Например, мы можем изучить падение капли под действием силы тяжести. Тогда известно, что сила равна mg, а ? — это mg, деленное на окончательно установившуюся скорость падения капли. Или можно поместить каплю в центрифугу и следить за скоростью осаждения. А если она заряжена, то можно приложить электрическое поле. Таким образом, ? — это измеряемая величина, а не какая-нибудь искусственная вещь, и ее значение известно для коллоидных частиц многих типов.
Применим эту формулу также в том случае, когда сила не внешняя, а равна беспорядочным силам броуновского движения. Попробуем определить средний квадрат пройденного телом пути. Будем рассматривать расстояния не в трех, а в одном измерении и определим среднее значение х2, чтобы подготовить себя к решению задачи. (Разумеется, среднее значение х2 равно среднему y2 и среднему z2, поэтому средний квадрат расстояния будет втрое больше того, что мы получим.)
Конечно, x-составляющая беспорядочной силы так же беспорядочна, как и остальные компоненты. Чему же равна скорость изменения x2? Она равна (d/dt)(x2)=2x(dx/dt), поэтому скорость изменения среднего x2 можно найти, усреднив произведение скорости на координату. Покажем, что это постоянная величина, т. е. средний квадрат радиуса возрастает пропорционально времени, и найдем скорость возрастания. Если умножить уравнение (41.19) на х, то получим mx(d2x/dt2)+?x(dx/dt)=xFx. Нас интересует среднее по времени x(dx/dt), поэтому усредним по времени все уравнение целиком и изучим все три слагаемых. Что можно сказать о произведении х на силу? Хоть частица и добралась до точки х, последующие толчки могут быть направлены в любом направлении по отношению к х, ведь случайная сила полностью случайна и ей нет дела, откуда частица начала двигаться. Если кордината х положительна, у средней силы нет никаких оснований направиться в этом же направлении. Для нее оно столь же вероятно, как и любое другое. Случайные силы не могут отправить частицу в определенном направлении. Поэтому среднее произведения х на Fx равно нулю. С другой стороны, слагаемому mx(d2x/dt2) можно, немного повозившись, придать вид

Мы разбили первоначальное слагаемое на два и должны усреднить их оба. Посмотрим, чему же равно произведение х на скорость. Это произведение не изменяется со временем, потому что, когда частица попадает в заданную точку, она уже не помнит, где она была раньше, и характеризующие такие ситуации величины не должны зависеть от времени. Поэтому среднее значение этой величины равно нулю. У нас осталось лишь mv2, а об этой величине нам кое-что известно: среднее значение mv2/2 равно 1/2 kT. Следовательно, мы установили, что

влечет за собой

или
(41.20)
Это значит, что средний квадрат радиус-вектора частицы <R2> к моменту t равен
(41.21)
Таким образом, мы и в самом деле можем выяснить, как далеко уйдут частицы! Сначала нужно изучить реакцию частицы на постоянную силу, выяснить скорость дрейфа частицы под действием известной силы (чтобы определить ?), а тогда мы сможем узнать, далеко ли расползутся беспорядочно движущиеся частицы. Полученное нами уравнение имеет большую историческую ценность, потому что на нем основан один из первых способов определения постоянной k. Ведь в конце концов можно измерить величину ?, и время, определить расстояние, на которое удалится частица, и получить средние значения. Почему так важно определить точное значение k? Потому что по закону PV=RT для моля можно измерить R, которое равно произведению числа атомов в моле на k. Моль когда-то определялся как столько-то граммов кислорода 16 (теперь для этой цели используют углерод), поэтому числа атомов в моле сначала не знали. Это, конечно, интересный и важный вопрос. Каковы размеры атомов? Много ли их? Таким образом, одно из самых ранних определений числа атомов свелось к определению того, далеко ли уйдут мельчайшие соринки, пока мы будем терпеливо разглядывать их в микроскоп в течение строго определенного времени. После этого можно было найти и постоянную Больцмана k, и число Авогадро N0, потому что R к этому времени было уже измерено.
Более 800 000 книг и аудиокниг! 📚
Получи 2 месяца Литрес Подписки в подарок и наслаждайся неограниченным чтением
ПОЛУЧИТЬ ПОДАРОК