§ 3. Вращения
Разобрав вопрос о перенесении начала координат, мы рассмотрели первую задачу из серии более сложных теорем о симметрии физических законов. Следующая теорема утверждает, что и направления координатных осей можно выбрать произвольно. Другими словами, если мы сооружаем где-то какое-то устройство и наблюдаем, как оно работает, а затем по соседству соорудим аналогичное устройство, но расположим его под любым углом относительно первого, то будет ли второе устройство работать так же, как и первое? Вообще говоря, нет, если это, например, старые часы-ходики, известные еще нашим дедам. Если маятник ходиков расположен отвесно, они будут великолепно идти, но если их повернуть так, чтобы маятник уперся в стенку, верного времени они уже не покажут. Значит, нашу теорему нельзя применить к маятнику, если забыть о силе, которая заставляет его качаться. Если мы все-таки верим в симметрию физических законов относительно вращений, то мы должны сделать какие-то вполне определенные предположения о работе ходиков, например что для их работы важен не только часовой механизм, но и что-то, лежащее за его пределами, что-то, что следует обнаружить. Можно также предсказать, что ходики будут идти по-разному, если они попадут куда-то в другое место по отношению к загадочному пока источнику асимметрии (может быть, это Земля). Так и есть на самом деле. Мы знаем, что ходики на искусственном спутнике, например, вообще остановятся, ибо там отсутствует эффективная сила, а на Марсе скорость их хода будет совсем иной. Маятниковые часы содержат, помимо механизма, еще нечто вне их. Осознав этот факт, мы увидим, что вместе с ходиками нам придется повернуть и Землю. Но нам, конечно, незачем беспокоиться — сделать это очень легко. Мы просто подождем минуту или две, и Земля сама повернется, а ходики затикают уже в новом положении так же весело, как и раньше. Пока мы поворачиваемся в пространстве, измеряемые нами углы изменяются тоже; эти изменения не причиняют особых беспокойств, поскольку в новых условиях мы чувствуем себя точно так же, как и в старых. Здесь может скрываться источник ошибки; верно, что в новом, повернутом относительно старого положении законы остаются прежними, но неверно то, что во вращающейся системе координат справедливы те же законы, что и в покоящейся. Если проделать достаточно тонкие опыты, то можно установить, что Земля вращается, но ни один из этих опытов не скажет нам, что Земля повернулась. Другими словами, мы не можем при помощи этих опытов установить ориентацию Земли, но можем сказать, что ориентация изменяется.
Обсудим теперь влияние ориентации системы координат на физические законы. Давайте посмотрим, не будут ли нам снова полезны Мик и Джо. Чтобы избежать ненужных сложностей, предположим, что эти молодые люди находятся в одной точке пространства (мы уже показали, что их системы координат можно перемещать). Пусть оси системы координат Мика повернуты относительно системы координат Джо на угол ?. Обе системы координат изображены на фиг. 11.2, где мы ограничились двумя измерениями.

Фиг. 11.2. Две координатные системы, ориентированные по-разному.
Произвольная точка Р снабжается координатами (x, y) в системе Джо и (х', у') в системе Мика. Как и в предыдущем случае, начнем с того, что выразим координаты х' и у' через x, y и ?. Для этого опустим из Р перпендикуляры на все четыре координатные оси и проведем АВ перпендикулярно PQ. Из чертежа ясно, что х' можно представить как сумму двух отрезков вдоль оси х', а у' — как разность двух отрезков вдоль АВ. Длины этих отрезков выражаются через x, y и 6; мы добавляем еще уравнение для третьей координаты:
(11.5)
Теперь (мы поступали так и раньше) установим соотношения между силами, измеряемыми двумя наблюдателями. Предположим, что сила F, имеющая (с точки зрения Джо) составляющие Fx и Fy , действует на расположенную в точке Р на фиг. 11.2 частицу массы m. Для простоты сдвинем обе системы координат так, что начала их переместятся в точку Р, как показано на фиг. 11.3. Мик скажет нам, что сила, по его мнению, имеет составляющие Fx' и Fy' вдоль его осей.

Фиг. 11.3. Составляющие сил в двух системах.
Составляющая Fx, как и Fy, имеет составляющие вдоль обеих осей х' и у'. Чтобы выразить Fx' через Fx и Fy , сложим составляющие этих сил вдоль оси х'; точно таким же образом можно выразить и Fy' через Fx и Fy . В результате получим
(11.6)
Интересно отметить случайность, которая в дальнейшем окажется очень важной: формулы (11.5) и (11.6) для координат Р и составляющих F соответственно тождественны по форме.
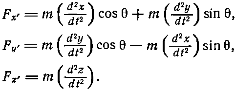
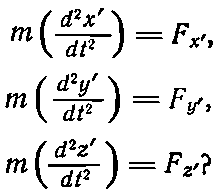
Как и раньше, предположим, что законы Ньютона справедливы в системе координат Джо и выражаются уравнениями (11.1). Снова возникает вопрос: может ли Мик пользоваться законами Ньютона, будут ли их предписания выполняться в повернутой системе координат? Другими словами, если предположить, что уравнения (11.5) и (11.6) дают связь между измеряемыми величинами, то верно ли, что
(11.7)
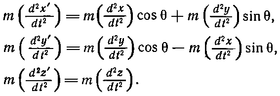
Чтобы проверить эти уравнения, вычислим левые и правые части независимо, а затем сравним результаты. Чтобы вычислить левые части, умножим уравнения (11.5) на m и продифференцируем их дважды по времени, считая угол ? постоянным. Это дает
(11.8)
Вычислим правые части уравнений (11.7), подставив (11.1) в уравнения (11.6). Получаем
(11.9)
Глядите! Правые части уравнений (11.8) и (11.9) тождественны; значит, если законы Ньютона верны в одной системе координат, то ими можно пользоваться и в другой системе. Эти рассуждения заставляют нас сделать некоторые важные выводы: во-первых, никто не может утверждать, что избранная им система координат единственна, она может быть, конечно, более удобной при решении частных задач. Например, удобно, но не обязательно взять направление силы тяжести за одну из осей координат. Во-вторых, это означает, что любой механизм, если только он является самостоятельным устройством и обладает всем необходимым для создания силы, будет работать одинаково, как бы его ни повернули.
Более 800 000 книг и аудиокниг! 📚
Получи 2 месяца Литрес Подписки в подарок и наслаждайся неограниченным чтением
ПОЛУЧИТЬ ПОДАРОК