§ 4. Еще о четырехвекторах
Вернемся опять к аналогии между преобразованием Лоренца и вращением пространственных осей. Мы уже убедились, что полезно собирать воедино отличные от координат величины, которые преобразуются так же, как и координаты; эти соединенные величины называют векторами, или направленными отрезками. При обычных вращениях немало величин преобразуется в точности так же, как х, y, z (например, скорость с тремя компонентами x, y, z); при переходе из одной системы координат в другую ни одна из компонент не остается прежней, все они приобретают новые значения. Но «сама» скорость, во всяком случае, более реальна, чем любая из ее компонент, и изображаем мы ее направленным отрезком.
Теперь мы спросим: существуют ли величины, которые преобразуются при переходе от неподвижной системы к движущейся так же, как и x, y, z, t? Наш опыт обращения с векторами подсказывает, что три из этих величин, подобно x, y, z, могли бы представлять собой три компоненты обычного пространственного вектора, а четвертая могла бы оказаться похожей на обычный скаляр относительно пространственных вращений: она бы не изменялась, пока мы не перейдем в движущуюся систему координат. Возможно ли, однако, связать с одним из известных «тривекторов» некоторый четвертый объект (который можно назвать «временной компонентой») таким образом, чтобы вся четверка «вращалась» точно так же, как изменяются пространство и время в пространстве-времени? Мы сейчас покажем, что действительно существует по крайней мере одна такая четверка (на самом деле далеко не одна): три компоненты импульса и энергия в качестве временной компоненты преобразуются вместе и образуют так называемый «четырехвектор». Доказывая это, мы избавимся от с тем же приемом, какой употреблялся в уравнении (17.4). Например, энергия и масса отличаются только множителем с2 и при надлежащем выборе единиц измерения энергия совпадет с массой. Вместо того чтобы писать Е=тс2, мы положим Е=т. Если понадобится, в окончательных уравнениях можно опять расставить с в нужных степенях.
Итак, уравнения для энергии и импульса имеют вид

(17.6)
Значит, при таком выборе единиц получится
(17.7)
Скажем, если энергия выражена в электронвольтах (эв), то чему равна масса в 1 эв? Она равна массе с энергией покоя 1 эв, т. е. m0c2=1 эв. У электрона, например, масса покоя равна 0,511·106 эв.
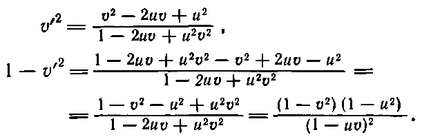
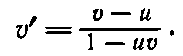
Как же будут выглядеть импульс и энергия в новой системе координат? Чтобы узнать это, надо преобразовать уравнения (17.6). Это преобразование легко получить, зная, как преобразуется скорость. Пусть некоторое тело имело скорость v, а мы наблюдаем за ним из космического корабля, который сам имеет скорость u, и обозначаем соответствующие величины штрихами. Для простоты сперва мы рассмотрим случай, когда скорость v направлена по скорости u. (Более общий случай мы рассмотрим позже.) Чему равна скорость тела v' по измерениям из космического корабля? Эта скорость равна «разности» между v и u. По прежде полученному нами закону
(17.8)
Теперь подсчитаем, какой окажется энергия Е' по измерениям космонавта. Он, конечно, воспользуется той же массой покоя, но зато скорость станет v'. Он возведет v' в квадрат, вычтет из единицы, извлечет квадратный корень и найдет обратную величину

Поэтому
(17.9)
Энергия Е' просто равна массе m0, умноженной на это выражение. Но нам хочется выразить энергию через нештрихованные энергию и импульс. Мы замечаем, что

или
(17.10)
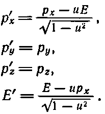
Мы узнаем в этом выражении знакомое нам преобразование

Теперь мы должны найти новый импульс р'x. Он равен энергии Е', умноженной на v', и так же просто выражается через Е и р:

Итак,
(17.11)
и мы опять распознаем в этой формуле знакомое нам

Итак, преобразование старых энергии и импульса в новые энергию и импульс в точности совпало с преобразованием t и х в t' и х и t в х': если мы в уравнениях (17.4) будем писать Е каждый раз, когда увидим t, а вместо x: всякий раз будем подставлять рx, то уравнения (17.4) превратятся в уравнения (17.10) и (17.11). Если все верно, то это правило предполагает добавочные равенства р'у=-рy и р'z=рz. Чтобы их доказать, надо посмотреть, как преобразуется движение вверх или вниз. Но как раз в предыдущей главе мы рассмотрели такое движение. Мы анализировали сложное столкновение и заметили, что поперечный импульс действительно не меняется при переходе в движущуюся систему координат. Стало быть, мы уже убедились, что р'у=ру и pz=pz. Итак, полное преобразование равно
(17.12)
Таким образом, эти преобразования выявили четыре величины, которые преобразуются подобно x, y, z, t. Назовем их четырехвектор импульса. Так как импульс — это четырехвектор, его можно изобразить на диаграмме пространства-времени движущейся частицы в виде «стрелки», касательной к пути (фиг. 17.4).

Фиг. 17.4. Четырехвектор импульса частицы.
У этой стрелки временная компонента дает энергию, а пространственные — тривектор импульса; сама стрелка «реальнее», чем один только импульс или одна лишь энергия: ведь и импульс, и энергия зависят от нашей точки зрения.
Более 800 000 книг и аудиокниг! 📚
Получи 2 месяца Литрес Подписки в подарок и наслаждайся неограниченным чтением
ПОЛУЧИТЬ ПОДАРОК